24. 两两交换链表中的节点
给你一个链表,两两交换其中相邻的节点,并返回交换后链表的头节点。你必须在不修改节点内部的值的情况下完成本题(即,只能进行节点交换)。
示例 1:

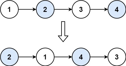
输入:head = [1,2,3,4]
输出:[2,1,4,3]
示例 2:
输入:head = []
输出:[]
示例 3:
输入:head = [1]
输出:[1]
提示:
- 链表中节点的数目在范围 [0, 100] 内
- 0 <= Node.val <= 100
解题思路
Go代码
/**
* Definition for singly-linked list.
* type ListNode struct {
* Val int
* Next *ListNode
* }
*/
func swapPairs(head *ListNode) *ListNode {
// 类似链表反转那道题,使用头插法,每次只要关心核心的三个节点
// 三个节点分别为pre,p,q,其中p和q是实际要交换的节点,pre则是用于辅助交换,类似虚拟头结点
if head == nil || head.Next == nil {
return head
}
dummy:= &ListNode{}
dummy.Next = head
pre,p,q := dummy,head,head.Next
// 还存在两个需要交换的节点时就一直循环,直到没有节点或者只剩下一个节点,即最后一个节点是不需要交换的
for p != nil && q != nil{
nxt := q.Next // 下一轮需要交换的第一个节点
q.Next = pre.Next
pre.Next = q
p.Next = nxt
// 交换完成,更新辅助指针的指向,继续后续节点的交换
pre = p
p = nxt
// 当链表总节点数量是偶数时,最后一轮的交换后,p是nil,所以这里拿p的Next时需要判nil,避免空指针
if p != nil {
q = p.Next
}
}
return dummy.Next
}

825

被折叠的 条评论
为什么被折叠?



