文章目录
110. 平衡二叉树
给定一个二叉树,判断它是否是 平衡二叉树
平衡二叉树 是指该树所有节点的左右子树的深度相差不超过 1。
示例 1:

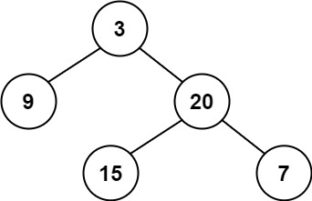
输入:root = [3,9,20,null,null,15,7]
输出:true
示例 2:

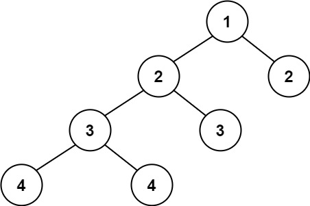
输入:root = [1,2,2,3,3,null,null,4,4]
输出:false
示例 3:
输入:root = []
输出:true
提示:
- 树中的节点数在范围 [0, 5000] 内
- -10^4 <= Node.val <= 10^4
解题思路
遍历每一个节点,看看他的左右子树高度是都相差不大于1,不符合就返回false,符合就一路往上返回true。
与 1367. 二叉树中的链表【二叉树】 这题的代码思路基本一致,但是是两种不同的写法,可以对比对比,对这种树自身有递归,以某个节点深入进去又有递归的模式就更有体会了
Go代码
/**
* Definition for a binary tree node.
* type TreeNode struct {
* Val int
* Left *TreeNode
* Right *TreeNode
* }
*/
func isBalanced(root *TreeNode) bool {
// 以每一个节点作为根节点,判断他的左右子树高度之差是否小于等于1
if root == nil {
return true
}
// 左右子树高度绝对值相差大于1可以直接返回false了
if int(math.Abs(float64(getDepth(root.Left) - getDepth(root.Right)))) > 1 {
return false
}
left := isBalanced(root.Left) // 左
right := isBalanced(root.Right) // 右
res := left && right // 根
return res
}
// 求二叉树最大深度的模板代码
func getDepth(root *TreeNode) int{
if root == nil {
return 0
}
return max(getDepth(root.Left),getDepth(root.Right)) + 1
}
func max(a,b int) int {
if a > b {
return a
}
return b
}

1131

被折叠的 条评论
为什么被折叠?



