515. 在每个树行中找最大值
给定一棵二叉树的根节点 root ,请找出该二叉树中每一层的最大值。
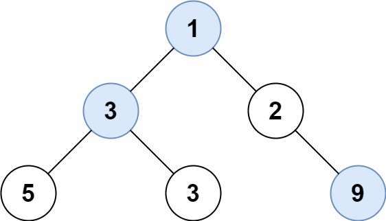
示例1:

输入: root = [1,3,2,5,3,null,9]
输出: [1,3,9]
示例2:
输入: root = [1,2,3]
输出: [1,3]
提示:
- 二叉树的节点个数的范围是 [ 0 , 1 0 4 ] [0,10^4] [0,104]
- − 2 31 < = N o d e . v a l < = 2 31 − 1 -2^{31} <= Node.val <= 2^{31} - 1 −231<=Node.val<=231−1
解题思路
层序遍历之后,返回每层的最大值即可
Go代码
/**
* Definition for a binary tree node.
* type TreeNode struct {
* Val int
* Left *TreeNode
* Right *TreeNode
* }
*/
func largestValues(root *TreeNode) []int {
// 层序遍历之后,返回每层的最大值即可
if root == nil {
return []int{}
}
res := make([]int,0)
queue := make([]*TreeNode,0)
queue = append(queue,root)
for len(queue) > 0 {
queueSize := len(queue)
curLevelRes := make([]int,0)
for i := 0;i < queueSize;i++{
curNode := queue[0]
queue = queue[1:]
curLevelRes = append(curLevelRes,curNode.Val)
if curNode.Left != nil {
queue = append(queue,curNode.Left)
}
if curNode.Right != nil {
queue = append(queue,curNode.Right)
}
}
// 只保留当前层最右边的元素,即当前层最后一个元素
res = append(res,getMaxOfArr(curLevelRes))
}
return res
}
func getMaxOfArr(arr []int) int {
maxVal := arr[0]
for _,num:= range arr {
if num > maxVal {
maxVal = num
}
}
return maxVal
}


被折叠的 条评论
为什么被折叠?



