一、概述
BP(back propagation)神经网络是1986年由Rumelhart和McClelland为首的科学家提出的概念,是一种按照误差逆向传播算法训练的多层前馈神经网络,是目前应用最广泛的神经网络。
二、训练过程
网络结构:前馈过程
1、设网络输入为x,则隐含层第j个结点的输入为:

网络输出层第k个结点的输入为:

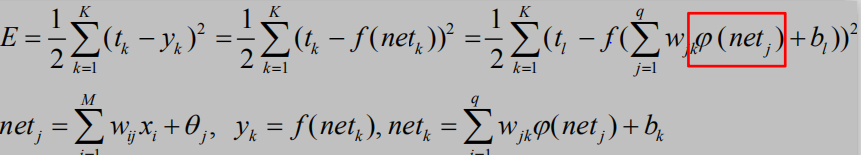
因此,网络输出层第k个结点的输出为:


2、训练过程
假设N个样本在网络中的总误差为:

其中 表示第n个样本对应标签的第k维, 表示第n个样本在网络输
出的第k维。在多类分类问题中,输出一般组织为“one-of-c”的形式。
如果考虑随机梯度下降,则单个样本的误差为:

网络学习的目的是根据训练数据的误差E对于各个参数的梯度,求解
参数调整量:

其中输出层权重调整量:

输出层阈值调整:


回顾E, netk, yk的定义

可得:

代入参数调整量,可得:

f 以Sigmoid激活函数为例

以权值调整更新为例:


网络学习的目的是根据训练数据的误差E对于各个参数的梯度,求解
参数调整量:

其中隐含层权重调整量:

隐含层阈值调整:


将上述公式代入隐含层参数调整量,可得:

φ 以Sigmoid激活函数为例

以权值调整更新为例
在多层网络中,为了方便误差反传推导,Rumelhart提出了误差信号(误差灵敏度)
的概念。其中输出层误差信号为:

隐含层误差信号为:

于是对于每一层的权重矩阵W和偏置向量B的参数更新量为:

其中xj是神经元j的输出,算法总体流程如下:
输入:网络结构参数(层数、结点数等);训练数据集
输出:网络权值与阈值
- 网络权值初始化;
- 对输入训练S={(x1, t1), (x2, t2), …, (xK, tK)},依次通过输
入层、隐含层、输出层,并分别计算误差E; - 通过误差E反传计算每个神经元的误差信号δ;
- 根据误差信号δ调整网络权值W和结点阈值θ;
- 对训练数据不断滚动(Epoch),直至最大滚动次数或误
差低于某一阈值为止。
PS:训练过程可采用随机梯度下降,或批量梯度下降方法。
三、代码实现与结果
% BP网络
% BP神经网络的构建
net=newff([-1 2;0 5],[3,1],{'tansig','purelin'},'traingd')
net.IW{1}
net.b{1}
p=[1;2];
a=sim(net,p)
net=init(net);
net.IW{1}
net.b{1}
a=sim(net,p)
%net.IW{1}*p+net.b{1}
p2=net.IW{1}*p+net.b{1}
a2=sign(p2)
a3=tansig(a2)
a4=purelin(a3)
net.b{2}
net.b{1}
net.IW{1}
net.IW{2}
0.7616+net.b{2}
a-net.b{2}
(a-net.b{2})/ 0.7616
help purelin
p1=[0;0];
a5=sim(net,p1)
net.b{2}
% BP网络
% BP神经网络的构建
net=newff([-1 2;0 5],[3,1],{'tansig','purelin'},'traingd')
net.IW{1}
net.b{1}
%p=[1;];
p=[1;2];
a=sim(net,p)
net=init(net);
net.IW{1}
net.b{1}
a=sim(net,p)
net.IW{1}*p+net.b{1}
p2=net.IW{1}*p+net.b{1}
a2=sign(p2)
a3=tansig(a2)
a4=purelin(a3)
net.b{2}
net.b{1}
P=[1.2;3;0.5;1.6]
W=[0.3 0.6 0.1 0.8]
net1=newp([0 2;0 2;0 2;0 2],1,'purelin');
net2=newp([0 2;0 2;0 2;0 2],1,'logsig');
net3=newp([0 2;0 2;0 2;0 2],1,'tansig');
net4=newp([0 2;0 2;0 2;0 2],1,'hardlim');
net1.IW{1}
net2.IW{1}
net3.IW{1}
net4.IW{1}
net1.b{1}
net2.b{1}
net3.b{1}
net4.b{1}
net1.IW{1}=W;
net2.IW{1}=W;
net3.IW{1}=W;
net4.IW{1}=W;
a1=sim(net1,P)
a2=sim(net2,P)
a3=sim(net3,P)
a4=sim(net4,P)
init(net1);
net1.b{1}
help tansig
% 训练
p=[-0.1 0.5]
t=[-0.3 0.4]
w_range=-2:0.4:2;
b_range=-2:0.4:2;
ES=errsurf(p,t,w_range,b_range,'logsig');%单输入神经元的误差曲面
plotes(w_range,b_range,ES)%绘制单输入神经元的误差曲面
pause(0.5);
hold off;
net=newp([-2,2],1,'logsig');
net.trainparam.epochs=100;
net.trainparam.goal=0.001;
figure(2);
[net,tr]=train(net,p,t);
title('动态逼近')
wight=net.iw{1}
bias=net.b
pause;
close;
% 练
p=[-0.2 0.2 0.3 0.4]
t=[-0.9 -0.2 1.2 2.0]
h1=figure(1);
net=newff([-2,2],[5,1],{'tansig','purelin'},'trainlm');
net.trainparam.epochs=100;
net.trainparam.goal=0.0001;
net=train(net,p,t);
a1=sim(net,p)
pause;
h2=figure(2);
plot(p,t,'*');
title('样本')
title('样本');
xlabel('Input');
ylabel('Output');
pause;
hold on;
ptest1=[0.2 0.1]
ptest2=[0.2 0.1 0.9]
a1=sim(net,ptest1);
a2=sim(net,ptest2);
net.iw{1}
net.iw{2}
net.b{1}
net.b{2}
运行结果


样本绘图结果


BP神经网络性能图

训练状态图

回归分析结果图

四、代码解释
1.newff函数
newff函数的格式为:
net=newff(PR,[S1 S2 …SN],{TF1 TF2…TFN},BTF,BLF,PF),函数newff建立一个可训练的前馈网络。输入参数说明:
PR:Rx2的矩阵以定义R个输入向量的最小值和最大值;
Si:第i层神经元个数;
TFi:第i层的传递函数,默认函数为tansig函数;
BTF:训练函数,默认函数为trainlm函数;
BLF:权值/阈值学习函数,默认函数为learngdm函数;
PF:性能函数,默认函数为mse函数。
2.learnp函数
句法:
[dW,LS] = learnp(W,P,Z,N,A,T,E,gW,gA,D,LP,LS)
info = learnp(‘code’)
描述:
learnp是感知器重量/偏差学习功能。
[dW,LS] = learnp(W,P,Z,N,A,T,E,gW,gA,D,LP,LS)需要几个输入,
W - SxR权重矩阵(或b,Sx1偏差向量)。
P - RxQ输入向量(或(1,Q))。
Z - SxQ加权输入向量。
N - SxQnet输入向量。
A - SxQ输出向量。
T - SxQ层目标向量。
E - SxQ层误差向量。
gW - 相对于性能的SxR梯度。
gA - SxQ输出梯度与性能有关。
D - SxS神经元距离。
LP - 学习参数,无,LP = []。
LS - 学习状态,最初应为= []。
并返回,
dW - SxR权重(或偏差)改变矩阵。
LS - 新的学习状态。
五、优点与缺点
BP网络优点:
1.具有非线性映射能力,理论上可以无限逼近任意复杂函数;
2. 网络结构简单,计算复杂度低;
3. 具有较好的容错能力,网络结构部分受损不会对结果产生很大的影响;
BP网络问题:
1.样本依赖性强,比较容易过拟合;
2. 误差反传有水波现象(gradient diffusion(梯度扩散)),梯度越来越从顶层越往下,误差校正信号越来越小。
3. 网络结构和初始参数对结果影响很大,容易收敛到局部最小值;
4. 训练速度比较慢,效率相比SVM和boosting没有优势;
本文深入探讨了BP神经网络,包括其概述、训练过程、代码实现及结果解析,以及优缺点分析。BP网络作为一种多层前馈神经网络,通过误差逆向传播算法进行训练,广泛应用于各种复杂函数逼近任务。文章详细介绍了训练过程中的权重和阈值调整,以及不同层的误差信号计算。此外,还展示了代码实现后的性能图表,揭示了BP网络在实际应用中的表现和潜在问题,如易过拟合、局部最小值等。
6297





