matplotlib库的pyplot模块中的**pcolormesh()**函数用于创建具有非规则矩形网格的伪彩色图。
pcolormesh([X, Y,] C, **kwargs)
(X[i+1, j], Y[i+1, j]) (X[i+1, j+1], Y[i+1, j+1])
… … … … …+ ------ +
… … … … …| C[i, j] |
… … … … …+ ------ +
… … (X[i, j], Y[i, j]) (X[i, j+1], Y[i, j+1])
————————————————————————————————
参数:
C:此参数包含2D数组中的值为color-mapped的值。
X, Y:这些参数是四边形角的坐标。
cmap:此参数是颜色图实例或注册的颜色图名称。
norm:此参数是Normalize实例,将数据值缩放到规范的颜色图范围[0,1]以映射到颜色
vmin, vmax:这些参数本质上是可选的,它们是颜色栏范围。
alpha:此参数是颜色的强度。
snap:此参数用于将网格捕捉到像素边界。
edgecolors:此参数是边的颜色。 {‘none’,无,‘face’,颜色,颜色顺序}
shading:此参数是填充样式。它平整或古拉乌德。
————————————————————————————————
返回值:将返回以下内容:
mesh:这将返回matplotlib.collections.QuadMesh
————————————————————————————————
例子:
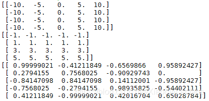
import numpy as np
import matplotlib.pyplot as plt
import matplotlib.pyplot as plt
import numpy as np
#作点
x=np.linspace(-10,10,5)
y=np.linspace(-1,5,4)
z = np.zeros((5,4))
for i,a in enumerate(x):
for j,b in enumerate(y):
z[i,j] = np.sin(a+b)
#构造点
X,Y=np.meshgrid(x,y)
print(X)
print(Y)
print(z)
cm=plt.cm.get_cmap('jet')
plt.pcolormesh(X,Y,z.T,cmap=cm)
plt.colorbar()
plt.show()


本文深入探讨了matplotlib库的pcolormesh()函数,该函数用于创建非规则矩形网格的伪彩色图。内容包括参数解析,如C、X、Y、cmap、norm、vmin、vmax、alpha、snap、edgecolors和shading等,并举例说明其使用方法。
6875

被折叠的 条评论
为什么被折叠?



