题目
请根据二叉树的前序遍历,中序遍历恢复二叉树,并打印出二叉树的右视图
数据范围: 0≤n≤10000
要求: 空间复杂度 O(n),时间复杂度 O(n)
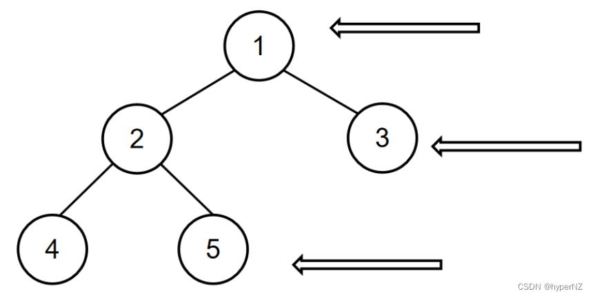
如输入[1,2,4,5,3],[4,2,5,1,3]时,通过前序遍历的结果[1,2,4,5,3]和中序遍历的结果[4,2,5,1,3]可重建出以下二叉树:

所以对应的输出为[1,3,5]。
示例1
输入:[1,2,4,5,3],[4,2,5,1,3]
返回值:[1,3,5]
备注:二叉树每个节点的值在区间[1,10000]内,且保证每个节点的值互不相同。
思路:BM40 + 层序遍历
- 利用BM40的做法根据二叉树的前序遍历,中序遍历恢复二叉树。
- 二叉树的右视图就是二叉树每一层的最后一个节点的集合。
- 故层序遍历,并将当前层的最后一个节点记录下,即为所求。
语法:Integer类型的List转为int[]数组:使用stream
List list = new ArrayList<>();
int[] arr = list.stream().mapToInt(Integer::valueOf).toArray();
代码
import java.util.*;
public class Solution {
/**
* 代码中的类名、方法名、参数名已经指定,请勿修改,直接返回方法规定的值即可
* 求二叉树的右视图
* @param xianxu int整型一维数组 先序遍历
* @param zhongxu int整型一维数组 中序遍历
* @return int整型一维数组
*/
public int[] solve (int[] xianxu, int[] zhongxu) {//输出右视图
TreeNode root = BuildTree(xianxu, zhongxu);
List<Integer> res = new ArrayList<Integer>();//收集结果
//边界条件
if (root.left == null && root.right == null) {
res.add(root.val);
return res.stream().mapToInt(Integer::valueOf).toArray();
}
//层序遍历
Queue<TreeNode> que = new LinkedList<TreeNode>();
que.offer(root);
while (!que.isEmpty()) {
int size = que.size();
for (int i = 0; i < size; i++) {
TreeNode cur = que.poll();
if (cur.left != null) {
que.add(cur.left);
}
if (cur.right != null) {
que.add(cur.right);
}
if (i == size - 1) {
res.add(cur.val);
}
}
}
return res.stream().mapToInt(Integer::valueOf).toArray();
}
public static TreeNode BuildTree(int[] pre, int[] vin) {//重建二叉树
if (pre.length == 0 || vin.length == 0) {
return null;
}
if (pre.length == 1 && vin.length == 1 && pre[0] == vin[0]) {
return new TreeNode(pre[0]);
}
TreeNode root = new TreeNode(pre[0]);
int n = pre.length;
//在中序序列中找根,递归构建左右子树
for (int i = 0; i < n; i++) {
if (vin[i] == pre[0]) {
root.left = BuildTree(Arrays.copyOfRange(pre, 1, i + 1), Arrays.copyOfRange(vin, 0, i));
root.right = BuildTree(Arrays.copyOfRange(pre, i + 1, n), Arrays.copyOfRange(vin, i + 1, n));
break;
}
}
return root;
}
}
本文介绍了一种方法,利用二叉树的前序遍历和中序遍历来恢复二叉树结构,然后通过层序遍历获取二叉树的右视图。具体实现包括构建二叉树的函数和遍历过程,最后将结果转换为整型数组。
546

被折叠的 条评论
为什么被折叠?



