题目
给你链表的头结点 head ,请将其按升序排列并返回排序后的链表 。
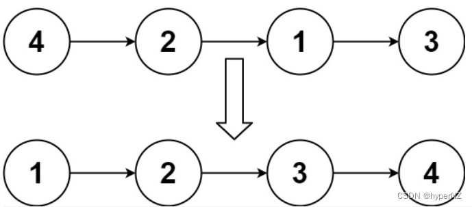
示例 1:

输入:head = [4,2,1,3]
输出:[1,2,3,4]
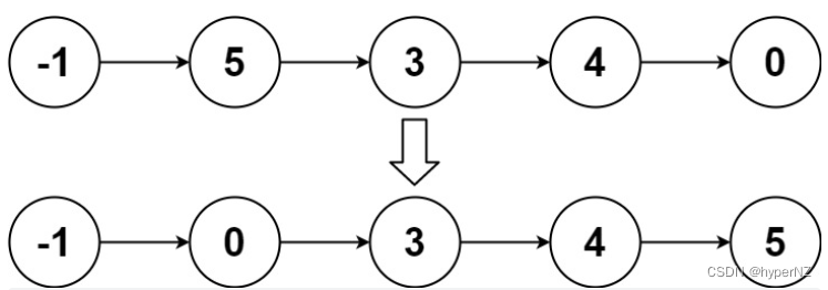
示例 2:

输入:head = [-1,5,3,4,0]
输出:[-1,0,3,4,5]
示例 3:
输入:head = []
输出:[]
提示:
链表中节点的数目在范围 [0, 5 * 10 ^ 4] 内
-10 ^ 5 <= Node.val <= 10 ^ 5
进阶:你可以在 O(n log n) 时间复杂度和常数级空间复杂度下,对链表进行排序吗?
「147. 对链表进行插入排序」要求使用插入排序的方法对链表进行排序,插入排序的时间复杂度是 O(n^2),其中 nn 是链表的长度。这道题考虑时间复杂度更低的排序算法。题目的进阶问题要求达到 O(nlogn) 的时间复杂度和 O(1) 的空间复杂度,时间复杂度是 O(nlogn) 的排序算法包括归并排序、堆排序和快速排序(快速排序的最差时间复杂度是 O(n ^ 2)),其中最适合链表的排序算法是归并排序。
归并排序基于分治算法。最容易想到的实现方式是自顶向下的递归实现,考虑到递归调用的栈空间,自顶向下归并排序的空间复杂度是 O(logn)。如果要达到 O(1) 的空间复杂度,则需要使用自底向上的实现方式。
思路1:自顶向下归并排序
对链表自顶向下归并排序的过程如下。
- 找到链表的中点,以中点为分界,将链表拆分成两个子链表。寻找链表的中点可以使用快慢指针的做法,快指针每次移动 22 步,慢指针每次移动 11 步,当快指针到达链表末尾时,慢指针指向的链表节点即为链表的中点。
- 对两个子链表分别排序。
- 将两个排序后的子链表合并,得到完整的排序后的链表。可以使用「21. 合并两个有序链表」的做法,将两个有序的子链表进行并。
上述过程可以通过递归实现。递归的终止条件是链表的节点个数小于或等于 11,即当链表为空或者链表只包含 11 个节点时,不需要对链表进行拆分和排序。
class Solution {
public ListNode sortList(ListNode head) {
return sortList(head, null);
}
public ListNode sortList(ListNode head, ListNode tail) {
if (head == null) {
return head;
}
if (head.next == tail) {
head.next = null;
return head;
}
ListNode slow = head, fast = head;
while (fast != tail) {
slow = slow.next;
fast = fast.next;
if (fast != tail) {
fast = fast.next;
}
}
ListNode mid = slow;
ListNode list1 = sortList(head, mid);
ListNode list2 = sortList(mid, tail);
ListNode sorted = merge(list1, list2);
return sorted;
}
public ListNode merge(ListNode head1, ListNode head2) {
ListNode dummyHead = new ListNode(0);
ListNode temp = dummyHead, temp1 = head1, temp2 = head2;
while (temp1 != null && temp2 != null) {
if (temp1.val <= temp2.val) {
temp.next = temp1;
temp1 = temp1.next;
} else {
temp.next = temp2;
temp2 = temp2.next;
}
temp = temp.next;
}
if (temp1 != null) {
temp.next = temp1;
} else if (temp2 != null) {
temp.next = temp2;
}
return dummyHead.next;
}
}
复杂度分析
- 时间复杂度:O(nlogn),其中 n 是链表的长度。
- 空间复杂度:O(logn),其中 n 是链表的长度。空间复杂度主要取决于递归调用的栈空间。
思路2:自底向上归并排序
使用自底向上的方法实现归并排序,则可以达到 O(1) 的空间复杂度。
首先求得链表的长度 length,然后将链表拆分成子链表进行合并。
具体做法如下。
- 用 subLength 表示每次需要排序的子链表的长度,初始时 subLength=1。
- 每次将链表拆分成若干个长度为 subLength 的子链表(最后一个子链表的长度可以小于 subLength),按照每两个子链表一组进行合并,合并后即可得到若干个长度为 subLength×2 的有序子链表(最后一个子链表的长度可以小于 subLength×2)。合并两个子链表仍然使用「21. 合并两个有序链表」的做法。
- 将 subLength 的值加倍,重复第 2 步,对更长的有序子链表进行合并操作,直到有序子链表的长度大于或等于 length,整个链表排序完毕。
如何保证每次合并之后得到的子链表都是有序的呢?可以通过数学归纳法证明。
- 初始时 subLength=1,每个长度为 1 的子链表都是有序的。
- 如果每个长度为 subLength 的子链表已经有序,合并两个长度为 subLength 的有序子链表,得到长度为 subLength×2 的子链表,一定也是有序的。
- 当最后一个子链表的长度小于 subLength 时,该子链表也是有序的,合并两个有序子链表之后得到的子链表一定也是有序的。
因此可以保证最后得到的链表是有序的。
class Solution {
public ListNode sortList(ListNode head) {
if (head == null) {
return head;
}
int length = 0;
ListNode node = head;
while (node != null) {
length++;
node = node.next;
}
ListNode dummyHead = new ListNode(0, head);
for (int subLength = 1; subLength < length; subLength <<= 1) {
ListNode prev = dummyHead, curr = dummyHead.next;
while (curr != null) {
ListNode head1 = curr;
for (int i = 1; i < subLength && curr.next != null; i++) {
curr = curr.next;
}
ListNode head2 = curr.next;
curr.next = null;
curr = head2;
for (int i = 1; i < subLength && curr != null && curr.next != null; i++) {
curr = curr.next;
}
ListNode next = null;
if (curr != null) {
next = curr.next;
curr.next = null;
}
ListNode merged = merge(head1, head2);
prev.next = merged;
while (prev.next != null) {
prev = prev.next;
}
curr = next;
}
}
return dummyHead.next;
}
public ListNode merge(ListNode head1, ListNode head2) {
ListNode dummyHead = new ListNode(0);
ListNode temp = dummyHead, temp1 = head1, temp2 = head2;
while (temp1 != null && temp2 != null) {
if (temp1.val <= temp2.val) {
temp.next = temp1;
temp1 = temp1.next;
} else {
temp.next = temp2;
temp2 = temp2.next;
}
temp = temp.next;
}
if (temp1 != null) {
temp.next = temp1;
} else if (temp2 != null) {
temp.next = temp2;
}
return dummyHead.next;
}
}
复杂度分析
-
时间复杂度:O(nlogn),其中 n 是链表的长度。
-
空间复杂度:O(1)。
文章介绍了如何使用归并排序对链表进行排序,提供了自顶向下和自底向上的两种实现方式,强调了时间复杂度为O(nlogn)和空间复杂度的要求,自底向上归并排序能达到O(1)的空间复杂度。
1143

被折叠的 条评论
为什么被折叠?



