目录
空域图像增强邻域运算(或模板操作)
利用像素本身以及其邻域像素的灰度关系进行增强的方法。常称为空间滤波。
滤波技术分类:
| 线性 | 非线性 | |
|---|---|---|
| 平滑 | 线性平滑 | 非线性平滑 |
| 锐化 | 线性锐化 | 非线性锐化 |
平滑滤波:
- 特点:削弱或消除图像中的高频分量,但不影响低频分量。
- 作用:
- 消除噪声
- 使图像变得柔和
- 提取大目标之前去除太小的细节
- 将目标内小间断连接起来
锐化滤波:
- 特点:削弱或消除图像中的低频分量,但不影响高频分量 。
- 作用:增强被模糊的细节或目标的边缘
滤波实现方法——模板卷积
实现步骤:
- 建立一个尺寸为n×n(n一般为奇数)模板(卷积核)
- 将模板在图中从左向右、从上到下逐点移动,并使模板中心与图像中某个像素位置重合;
- 将模板上的各个系数与模板下各对应像素的灰度相乘;
- 将所有乘积相加;
- 将和赋给图像中对应模板中心位置的像素。

卷积操作的代数表达式为:

空间平滑滤波——不影响低频分量
常见图像噪声类型:
- 椒盐噪声:含有随机出现的黑白亮度值的噪声。
- 脉冲噪声:含有随机的白强度值(正脉冲)或黑强度值(负脉冲)的噪声。
- 高斯噪声:含有亮度服从高斯或正态分布的噪声。高斯噪声是许多传感器噪声的很好模型(如摄像机的电子干扰噪声)。
均值滤波器
简单平均模板、加权平均模板:

3×3加权平均模板:中心点权值最高,随着距中心点距离的增加权值减小,以减小平滑处理中的模糊。
均值滤波器去除了图像中的高频成分和图像中的锐化细节,消除噪声的同时,也会使图像中的边界信息变得模糊。在使用时,一定要选择恰当的移动窗口和权值。
空间均值滤波的重要应用之一:为了对感兴趣物体得到一个粗略的描述而模糊一幅图像,使较小物体与背景混合在一起:
高斯滤波器
高斯滤波器是一类根据高斯函数的形状来选择权值的线性平滑滤波器。高斯平滑滤波器对去除服从正态分布的噪声很有效。

典型的高斯滤波器:


滤波模板的选择:
- 模板尺寸越大,滤波程度越高;噪声消除越彻底,而同时,图像细节的损失也越大。
- 通常模板的所有系数之和为1,这是为了保证模板卷积完成后目标图像的总体高度不发生变化
- 模板系数的值可正可负,可大可小。系数值越大,代表该系数对应像素的权重越高。负值则可用于锐化滤波器。
中值滤波器——非线性滤波
中值滤波器的基本思想是用像素点邻域灰度值的中值来代替该像素点的灰度值。该方法在去除脉冲噪声、椒盐噪声的同时又能保留图像边缘细节。

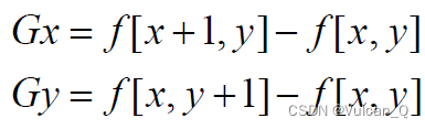
本文详细探讨了空间滤波技术,包括模板卷积、线性与非线性平滑与锐化、均值、高斯和中值滤波器的应用。此外,介绍了基于一阶和二阶微分的图像增强方法,如梯度法与拉普拉斯算子,以及边缘检测器如Canny和LoG。还涉及了二值图像分析和形态学处理,如二值化、几何特性及常用算法。
最低0.47元/天 解锁文章
465





