傅里叶基础混合物理信息神经网络(FMPINN):原理、完整推导与一致性证明

目录

摘要

1. 问题描述与混合(flux)型变分形式

1.1 基本 PDE(模型问题)

1.2 引入通量(flux)变量的混合形式

1.3 变分(能量)形式与连续性/稳定性基础

2. FMPINN 的表示族与损失函数构造

2.1 网络表示族

2.2 损失函数(混合 PINN 风格)

3. 连续一致性:从损失到误差的估计(主定理与证明)

3.1 主定理(能量范数意义下的一致性)

4. 误差分解:近似误差、优化误差与数值积分误差

5. 傅里叶特征映射与 MscaleDNN:多尺度逼近性的数学说明

5.1 挑战:粗糙系数与多尺度解的高频成分

5.2 傅里叶特征映射(Fourier features)的作用

5.3 MscaleDNN 的缩放策略

6. 离散化采样策略与数值实现注意

6.1 域内采样与加权积分

6.2 自动微分与谱微分的混合

6.3 边界条件处理

7. 主要结论与实践规则

8. 附录:若干引理(工具性不等式)

结语

9.代码复现


摘要

本章从数学分析与数值近似的角度系统而严密地推导傅里叶基础混合物理信息神经网络(FMPINN)用于多尺度椭圆型偏微分方程的原理。首先给出问题的精确定义与混合(flux)形式化,再构造 FMPINN 的损失函数与训练目标;随后分别从逼近性(网络函数族对目标解及通量的逼近能力)、稳定性/一致性(由方程的能量结构导出损失到误差的控制)及误差分解(近似误差、优化误差与数值积分误差)三个方面进行细致推导并给出定理与证明。最后讨论傅里叶特征映射(Fourier features)和多尺度网络(MscaleDNN)在高频/粗糙系数情形下提升逼近率与收敛性的机制。


1. 问题描述与混合(flux)型变分形式

1.1 基本 PDE(模型问题)

1.2 引入通量(flux)变量的混合形式

1.3 变分(能量)形式与连续性/稳定性基础


2. FMPINN 的表示族与损失函数构造

2.1 网络表示族

2.2 损失函数(混合 PINN 风格)

定义在训练样本与采样点上的目标函数,含三部分:


3. 连续一致性:从损失到误差的估计(主定理与证明)

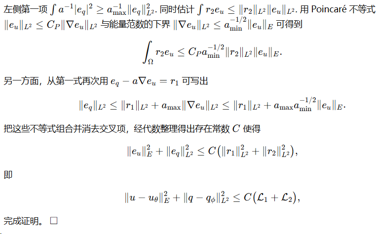
3.1 主定理(能量范数意义下的一致性)

注。 上述证明实质利用了混合方程的代数关系与能量型估计,关键点在于混合残差同时控制通量误差与位势能量误差。这一结论为把训练损失最小化转化为真实解误差控制提供了直接数学保证。


4. 误差分解:近似误差、优化误差与数值积分误差

5. 傅里叶特征映射与 MscaleDNN:多尺度逼近性的数学说明

5.1 挑战:粗糙系数与多尺度解的高频成分

5.2 傅里叶特征映射(Fourier features)的作用

5.3 MscaleDNN 的缩放策略


6. 离散化采样策略与数值实现注意

6.1 域内采样与加权积分

6.2 自动微分与谱微分的混合

6.3

<think>嗯,用户现在想了解如何使用两个神经网络分别求解V和T,其中V是温度T对时间t的一阶导数。之前已经讨论过双曲型非傅里叶方程的解析和数值解法,现在用户可能对机器学习方法,特别是神经网络的应用感兴趣。 首先,我需要回忆一下物理信息神经网络(PINN)的基本原理。PINN通过将偏微分方程作为损失函数的一部分,训练神经网络来近似解。这里的问题涉及到两个变量,V和T,所以可能需要两个网络,或者一个网络输出两个变量。不过用户明确说使用两个神经网络分别求解,所以得考虑如何分开训练或联合训练。 接下来,原方程是τ*∂²T/∂t² + ∂T/∂t = α*∂²T/∂x²。但用户提到V是∂T/∂t,所以可能需要将原方程转换为包含V的形式。之前的回复中已经分解成两个方程:∂T/∂t = V 和 τ*∂V/∂t + V = α*∂²T/∂x²。这样,T和V的关系就明确了,每个方程可以对应一个神经网络的损失函数。 然后,考虑边界条件和初始条件。T在x=0处为1,x=1处为0,初始时刻T=0。而V作为∂T/∂t,在初始时刻可能也需要满足某些条件,比如初始时刻V(x,0)=0,因为初始温度全为0,可能初始时温度变化率也为0?或者需要根据原方程推导初始的V值。这可能影响到初始条件的设置。 对于神经网络的结构,每个网络可能需要输入x和t,输出对应的T或V。需要设计合适的损失函数,包括方程残差、边界条件和初始条件的匹配。例如,对于T网络,损失函数应包括T在边界和初始时刻的匹配,以及∂T/∂t - V的残差。对于V网络,损失应包括τ*∂V/∂t + V - α*∂²T/∂x²的残差。但这里可能需要两个网络之间有交互,因为V的方程涉及T的二阶空间导数。 可能需要用自动微分来计算导数,比如用TensorFlow或PyTorch的自动微分功能。比如,计算T对x的二阶导数,然后代入到V的损失函数中。这可能需要两个网络同时训练,因为V的损失依赖于T网络的输出。 另外,初始条件的矛盾仍然存在,即t=0时,T在x=0处应该从0跳变到1,这可能引起训练困难。或许需要引入软边界条件,比如在损失函数中使用较大的权重来强调边界条件的重要性,或者采用渐进的方法逐步逼近。 还需要考虑采样点的分布,是否在边界和初始区域密集采样,以提高网络的准确性。同时,训练过程中可能需要调整损失函数的权重,平衡方程残差、边界条件和初始条件的影响。 可能存在的一些挑战包括:如何高效地计算高阶导数,如何处理两个网络之间的耦合,以及如何解决初始条件的不连续问题。此外,双曲方程的波动特性可能导致训练过程中出现不稳定的解,需要合适的正则化或网络结构来捕捉波动行为。 可能需要查阅相关文献,看看是否有类似的工作,比如用PINN求解双曲方程,或者使用多个网络分别处理不同变量。例如,有些研究可能使用一个网络同时输出多个变量,但用户要求分开使用两个网络,所以需要调整方法。 最后,可能需要建议用户使用现有的深度学习框架(如TensorFlow或PyTorch)实现这两个网络,并详细说明损失函数的构建、数据采样和训练策略,同时提醒可能遇到的难点,如初始条件的不连续和方程的耦合性。</think>--- ### **使用双神经网络求解 $V$ 和 $T$ 的步骤原理** 针对一维双曲型非傅里叶方程,假设 $V = \frac{\partial T}{\partial t}$,可通过两个神经网络分别建模 $V(x,t)$ 和 $T(x,t)$。以下是具体方法和关键分析: --- #### **1. 方程分解变量定义** 原方程: $$ \tau \frac{\partial^2 T}{\partial t^2} + \frac{\partial T}{\partial t} = \alpha \frac{\partial^2 T}{\partial x^2}. $$ 引入辅助变量 $V = \frac{\partial T}{\partial t}$,得到方程组: $$ \begin{cases} \frac{\partial T}{\partial t} = V, \\ \tau \frac{\partial V}{\partial t} + V = \alpha \frac{\partial^2 T}{\partial x^2}. \end{cases} $$ 目标是通过两个神经网络 $\mathcal{N}_T(x,t)$ 和 $\mathcal{N}_V(x,t)$ 分别近似 $T(x,t)$ 和 $V(x,t)$。 --- #### **2. 神经网络的输入输出** - **网络 $\mathcal{N}_T$**:输入为 $(x,t)$,输出为预测的 $T_{\text{pred}}$。 - **网络 $\mathcal{N}_V$**:输入为 $(x,t)$,输出为预测的 $V_{\text{pred}}$。 --- #### **3. 损失函数设计** 损失函数需满足以下约束: - **方程残差**:确保解满足偏微分方程(PDE)。 - **边界条件**:在 $x=0$ 和 $x=1$ 处满足温度约束。 - **初始条件**:$t=0$ 时 $T=0$,且 $V=0$(由初始时刻无温度变化假设)。 具体损失项如下: 1. **PDE 残差损失**: - 方程 1 残差:$\mathcal{L}_{\text{eq1}} = \left\| \frac{\partial T_{\text{pred}}}{\partial t} - V_{\text{pred}} \right\|^2$, - 方程 2 残差:$\mathcal{L}_{\text{eq2}} = \left\| \tau \frac{\partial V_{\text{pred}}}{\partial t} + V_{\text{pred}} - \alpha \frac{\partial^2 T_{\text{pred}}}{\partial x^2} \right\|^2$。 2. **边界条件损失**: - $x=0$ 处:$\mathcal{L}_{\text{BC0}} = \| T_{\text{pred}}(0,t) - 1 \|^2$, - $x=1$ 处:$\mathcal{L}_{\text{BC1}} = \| T_{\text{pred}}(1,t) - 0 \|^2$。 3. **初始条件损失**: - $\mathcal{L}_{\text{IC}_T} = \| T_{\text{pred}}(x,0) - 0 \|^2$, - $\mathcal{L}_{\text{IC}_V} = \| V_{\text{pred}}(x,0) - 0 \|^2$。 **总损失**: $$ \mathcal{L}_{\text{total}} = \lambda_1 (\mathcal{L}_{\text{eq1}} + \mathcal{L}_{\text{eq2}}) + \lambda_2 (\mathcal{L}_{\text{BC0}} + \mathcal{L}_{\text{BC1}}) + \lambda_3 (\mathcal{L}_{\text{IC}_T} + \mathcal{L}_{\text{IC}_V}), $$ 其中 $\lambda_1, \lambda_2, \lambda_3$ 为权重系数,用于平衡不同约束。 --- #### **4. 自动微分实现** - **导数计算**:利用深度学习框架(如 TensorFlow 或 PyTorch)的自动微分功能计算 $\frac{\partial T}{\partial t}$、$\frac{\partial V}{\partial t}$ 和 $\frac{\partial^2 T}{\partial x^2}$。 - **网络耦合**:两个网络需联合训练,因 $V$ 的方程依赖 $T$ 的二阶空间导数。 --- #### **5. 关键挑战解决方案** - **初始条件的跳跃性**: - 在 $t=0$ 时,$x=0$ 处 $T$ 从 0 突变到 1,导致梯度爆炸。 - **解决方案**:在初始时刻附近增加采样点密度,或引入光滑过渡函数(如 $T(0,t) = 1 - e^{-kt}$,$k$ 为大常数)。 - **双曲方程的波动特性**: - 温度波动的传播需在损失函数中体现波前特性。 - **解决方案**:在波前区域(如 $x = vt$)附近加密采样点。 - **训练稳定性**: - 损失项权重($\lambda_i$)需动态调整,优先保证边界和初始条件。 --- #### **6. 代码实现框架(PyTorch 示例)** ```python import torch import torch.nn as nn # 定义两个神经网络 class Net_T(nn.Module): def __init__(self): super().__init__() self.fc = nn.Sequential( nn.Linear(2, 50), nn.Tanh(), nn.Linear(50, 50), nn.Tanh(), nn.Linear(50, 1) ) def forward(self, x, t): return self.fc(torch.cat([x, t], dim=1)) class Net_V(nn.Module): def __init__(self): super().__init__() self.fc = nn.Sequential( nn.Linear(2, 50), nn.Tanh(), nn.Linear(50, 50), nn.Tanh(), nn.Linear(50, 1) ) def forward(self, x, t): return self.fc(torch.cat([x, t], dim=1)) # 损失函数计算 def compute_loss(net_T, net_V, x, t, tau, alpha): x.requires_grad_(True) t.requires_grad_(True) # 预测 T 和 V T_pred = net_T(x, t) V_pred = net_V(x, t) # 计算导数 dT_dt = torch.autograd.grad(T_pred, t, grad_outputs=torch.ones_like(T_pred), create_graph=True)[0] dV_dt = torch.autograd.grad(V_pred, t, grad_outputs=torch.ones_like(V_pred), create_graph=True)[0] dT_dx = torch.autograd.grad(T_pred, x, grad_outputs=torch.ones_like(T_pred), create_graph=True)[0] d2T_dx2 = torch.autograd.grad(dT_dx, x, grad_outputs=torch.ones_like(dT_dx), create_graph=True)[0] # 方程残差 loss_eq1 = torch.mean((dT_dt - V_pred)**2) loss_eq2 = torch.mean((tau * dV_dt + V_pred - alpha * d2T_dx2)**2) # 边界和初始条件 # 此处需根据采样点具体实现 # ... return loss_eq1 + loss_eq2 + loss_bc + loss_ic ``` --- #### **7. 验证改进** - **解析解对比**:若存在简化情况的解析解(如 $\tau=0$ 退化到抛物型方程),可验证网络预测的准确性。 - **自适应加权**:使用软注意力机制动态调整 $\lambda_i$,聚焦难优化的区域。 - **物理一致性**:检查解是否满足温度波速 $v = \sqrt{\alpha/\tau}$。 --- ### **总结** 通过双神经网络分别建模 $T$ 和 $V$,结合物理约束的损失函数,可有效求解双曲型非傅里叶方程。需注意初始条件的不连续性、波前特性的捕捉以及训练稳定性。实际应用中建议逐步调试损失权重,并可视化解的空间-时间演化以验证合理性。
评论
添加红包

请填写红包祝福语或标题

红包个数最小为10个

红包金额最低5元

当前余额3.43前往充值 >
需支付:10.00
成就一亿技术人!
领取后你会自动成为博主和红包主的粉丝 规则
hope_wisdom
发出的红包
实付
使用余额支付
点击重新获取
扫码支付
钱包余额 0

抵扣说明:

1.余额是钱包充值的虚拟货币,按照1:1的比例进行支付金额的抵扣。
2.余额无法直接购买下载,可以购买VIP、付费专栏及课程。

余额充值