关注gongzhonghao【学术鲸】,解锁更多SCI相关资讯!
在当今快速发展的科技时代,无论是量子计算、半导体物理还是天体物理,跨学科研究正不断推动科学的边界。
本文将拆解三篇前沿研究论文,它们虽聚焦于不同领域,却有着一个共同点:对精确模拟和高效工具的不懈追求。从量子软件开发的集成环境,到半导体材料电子结构的高精度预测,再到天体物理中探测器响应的精确模拟,这些研究都展示了如何通过创新方法解决复杂的技术挑战!
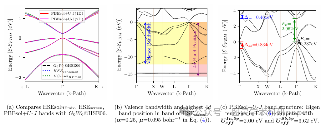
High-fidelity electronic structure and properties of InSb: G0W0 and Bayesian-optimized hybrid functionals and DFT+U approaches
方法:
文章采用贝叶斯优化框架,对混合HSE泛函中的屏蔽参数和交换分数以及DFT+U中的哈伯德U参数进行优化,以高精度的G0W0方法作为参考,通过高斯过程回归有效探索参数空间,减少与参考方法的差异。同时运用混合HSE泛函、准粒子G0W0计算和DFT+U方法,结合贝叶斯优化,形成一个集成的计算方法框架,实现了对InSb电子结构的精确预测,包括带隙、体积模量、有效质量、Luttinger参数等关键物理量,显著提高了计算效率和准确性。整个计算过程基于Quantum ESPRESSO平台,利用其对全相对论PAW和ONCV偽勢的支持,以及与外部工作流的无缝集成,确保了计算的高效性和准确性。

创新点:
-
首次将贝叶斯优化框架与多种先进电子结构计算方法相结合,对InSb的电子结构进行高精度预测,大幅提升了计算准确性。
-
同时运用混合Heyd-Scuseria-Ernzerho(HSE)交换相关泛函、基于许多体微扰理论(MBPT)的准粒子G0W0方法和DFT+U方法,有效解决强自旋轨道耦合和5p-4d排斥问题。
-
明确指出并处理了以往研究中对半核心4d10状态的处理不一致问题,显著改善了能带结构和带隙的预测精度。

论文链接:
https://arxiv.org/pdf/2508.00290
关注gongzhonghao【学术鲸】,获取量子计算最新选题和idea
DEQSE Quantum IDE Extension: Integrated Tool for Quantum Software Engineering
方法:
文章首先基于Visual Studio Code构建了DEQSE Extension的软件架构,利用TypeScript编写扩展,并集成JavaScript量子电路库等工具。然后实现了项目创建器、代码运行器、代码转换器和嵌入式量子电路模拟器四大功能模块,这些模块相互关联并提供无缝同步和交互体验。最后,通过与现有其他Visual Studio Code量子扩展的功能对比,验证了DEQSE Extension在跨框架开发、集成仿真和测试以及支持迭代开发工作流等方面的优势,证明了其在量子软件工程领域的实用性和创新性。

创新点:
-
首次将直观的量子电路设计与代码编辑相结合,在一个IDE内同步展示电路图和代码,并通过代码运行功能实现双向修改,极大提升了开发效率。
-
实现了跨平台兼容性,支持多种硬件后端,提供便携的框架无关代码生成功能,有效避免供应商锁定,为开发者提供了更大的灵活性。
-
集成了嵌入式量子电路模拟器和代码转换器,支持多种量子编程语言之间的转换,极大方便了跨框架原型开发与实验,降低了量子软件开发的门槛。

论文链接:
https://arxiv.org/pdf/2507.22843
关注gongzhonghao【学术鲸】,获取量子计算最新选题和idea
Benchmarking of Geant4 simulations for the COSI Anticoincidence System
方法:
文章首先详细描述了COSI ACS的设计和作用,包括其由22个BGO晶体组成的结构和在伽马射线探测中的关键功能。接着,作者通过对BGO晶体的实验室校准测量,收集了关键的实验数据,如能量分辨率和空间响应分布。然后,利用Geant4模拟框架BoGEMMS-HPC对实验设置进行建模,模拟了BGO晶体中的闪烁光传输和信号读出过程。最后,作者将模拟结果与实验数据进行对比,验证了模拟的准确性,并在此基础上开发了校正矩阵,以更真实地反映ACS的实际性能。

创新点:
-
成功开发并验证了一种创新的校正矩阵方法,将复杂的光物理过程整合到模拟中,极大提升了模拟的准确性和实用性,为COSI任务的背景抑制和瞬态事件检测提供了可靠工具。
-
通过对BGO晶体的光学参数进行优化调整,使模拟结果与实验室测量数据高度吻合,能量分辨率和光收集均匀性的最大差异分别控制在20%和10%以内。
-
创新性地利用基准测试模拟预测了底部ACS性能,深入分析了不同晶体尺寸对能量阈值和分辨率的影响,发现较小晶体的能量阈值降低了14%至25%,能量分辨率平均提高了5%至8%。

论文链接:
https://arxiv.org/pdf/2507.21275
► 论文发表难题,一站式解决!
TURING
选题是论文的第一步,非常重要!
但很多学生找到了热门的选题,却卡在代码和写作上!可见论文要录用,选题-idea-代码-写作都缺一不可!
图灵学术论文辅导,汇聚经验丰富的实战派导师团队,针对计算机各类领域提供1v1专业指导,直至论文录用!
关注gongzhonghao【学术鲸】,解锁更多SCI相关资讯!
1186

被折叠的 条评论
为什么被折叠?



