文章目录
一、相关概念
1、优化机器学习算法模型参数
1.1 最小二乘法公式:

观测值就是我们的多组样本,理论值就是我们的假设拟合函数。目标函数也就是在机器学习中常说的损失函数,我们的目标是得到使目标函数最小化时候的拟合函数的模型。
1.2 梯度下降
1、梯度定义:
微积分中,对多元函数参数求∂偏导数,将求得的各个参数的偏导数以向量形式写出来,即为梯度。
其本意是一个向量(矢量),表示某一函数在该点处的方向导数沿着该方向取得最大值,
即函数在该点处沿着该方向(此梯度的方向)变化最快,变化率最大(为该梯度的模)。
2、梯度下降:
求最小化损失函数,关于损失函数:为了评估模型拟合的好坏,通常用损失函数来度量拟合的程度。
损失函数极小化,意味着拟合程度最好,对应的模型参数即为最优参数。
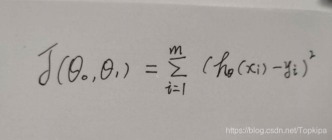
在线性回归中,损失函数通常为样本输出和假设函数的差取平方。
比如对于m个样本(xi,yi)(i=1,2,...m)(xi,yi)(i=1,2,...m),采用线性回归,损失函数为:

3、梯度下降算法调优:
(1)、步长选择
(2)、算法参数初始值选择
(3)、归一化:由于样本不同特征的取值范围不一样,可能导致迭代很慢,为了减少特征取值的影响,可以对特征数据归一化,也就是对于每个特征x,求出它的期望和标准差,这样特征的新期望为0,新方差为1,迭代次数可以大大加

本文介绍了从线性回归到逻辑回归的概念及其转换。线性回归用于连续变量预测,通过最小二乘法和正则化避免过拟合。逻辑回归则通过Sigmoid函数将线性回归结果映射到[0,1]区间,适用于二分类问题。文中还讨论了离散化在逻辑回归中的作用,包括提升模型表达能力、加快计算速度和增强模型稳定性。"
120966712,4956627,使用QT实现网页浏览功能,"['QT开发', '网络编程', 'C++', 'GUI应用']
最低0.47元/天 解锁文章
1090

被折叠的 条评论
为什么被折叠?



