一、前言
在高速数字电路和射频系统中,传输线设计是确保信号完整性和电磁兼容性(EMC)的核心要素。微带线和带状线作为两种最常用的PCB传输线结构,其特性差异直接影响信号传输质量与系统EMC性能。
二、微带线与带状线的定义
1.微带线单层导体走线位于PCB顶层,下方为介质基板(如FR-4),底部为连续地平面。横截面呈“信号线-介质-地平面”三层结构,信号线暴露于空气中。其优势是布线灵活,易于调试和焊接,适用于高频信号。但是电磁场部分暴露于空气中,易受外部干扰且辐射较强。
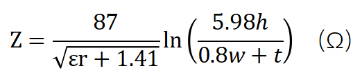
微带线的特性阻抗主要由微带的宽度、介质材料的介电常数以及微带与接地平面之间的距离决定。阻抗计算公式为:

其中 εr为介质相对介电常数,h 为介质厚度,w 为线宽,t 为铜厚。
2.带状线导体走线嵌入PCB内层,上下两侧均为介质层和地平面,形成“地平面-介质-信号线-介质-地平面”的对称结构。信号线被完全包裹在介质和地平面之间。这种结构使得带状线具有更好的屏蔽性能和更稳定的特性阻抗。但是布线复杂度高,调试困难,成本较高。
带状线的特性阻抗计算公式为:

三、微带线与带状线在EMC领域的应用
在EMC领域,微带线和带状线的设计和应用对减少电磁干扰(EMI)和提高抗干扰能力至关重要。以下是它们在EMC领域的具体应用:
1.电磁屏蔽与干扰抑制
带状线的三层结构使其具有天然的电磁屏蔽效果,能有效减少外部干扰和信号辐射。相比之下,微带线虽然结构简单,但其信号线暴露在空气中,容易受到外部干扰。为了提高微带线的抗干扰能力,通常需要在PCB设计中增加接地过孔和优化布线路径。
2.特性阻抗控制
特性阻抗的稳定性和一致性是保证信号完整性的关键。微带线和带状线的特性阻抗可以通过精确的几何设计和材料选择来控制。在高速数字电路中常用的特性阻抗为50Ω或75Ω。
3.高频信号传输
在高频应用中,微带线和带状线的性能差异尤为明显。带状线由于其良好的屏蔽性能和稳定的特性阻抗,更适合用于毫米波通信和雷达系统。而微带线则由于其结构简单,更适合中低频应用,如射频识别(RFID)和无线传感器网络。
四、微带线与带状线的EMC设计优化
1.微带线EMC优化
(1)增加地平面完整性,避免分割,减少回流路径阻抗。
(2)在高速信号线两侧布置接地铜皮,抑制辐射。
(3)使用阻抗匹配,可以串联电阻或RC组合来减少反射和振铃噪声。
(4)在微带线的上方覆盖一层金属屏蔽层(如铜箔),减少信号辐射。
2.带状线EMC优化
(1)确保上下地平面等电位,避免不对称耦合。
(2)在信号换层处增加接地过孔阵列,防止电磁泄漏。
(3)使用吸波材料吸收部分泄漏的电磁能量,减少信号辐射。
五、总结
微带线和带状线作为两种常见的传输线结构,在EMC领域具有重要的应用价值。通过合理选择和优化设计,可以有效提高信号完整性,减少电磁干扰,满足现代电子系统对高性能和高可靠性的要求。在实际应用中,工程师应根据具体需求和应用场景,灵活选择合适的技术手段,以实现低辐射、高性能的传输线设计。
1215

被折叠的 条评论
为什么被折叠?



