第六章支持向量机着实花了我不少功夫,以下是笔者的理解,如有谬误,欢迎指正。
目标:给定训练样本集,分类学习最基本的想法是基于训练集D在样本空间中找到一个划分超平面,将不同类别的样本分开,但能将训练样本分开的划分超平面可能有很多,支持向量机算法,目的就是为了找到最好的划分超平面。
预备知识:点到面
距离
的计算
首先,对于平面上的两个点:x',x'',均满足平面方程,有:
原理:将x,x'构成的向量投影到单位法向量上,得到点x到平面s 的距离
将上述两行公式合并化简得:
由此我们得到了如何计算点到平面的距离计算方式,回到刚刚的问题,究竟什么是最好的划分超平面呢?支持向量机认为,最好的划分超平面为:离该平面最近的两类点,能够尽可能得远离这个平面。换而言之,就是要找到一个平面,能够在两类样本中,找到“最中间”的平面,使该平面距离各类最边缘的样本点(们)最远。

举个栗子,简单来说,就是首先找到与平面距离最近的点(们),然后尽可能让这些点与平面的距离远一些(确定w和b)
为了在接下来运算中更好地推导,我们需要有如下定义:
对于样本x,当x为正类时,yi(划分结果标记)为+1(正一);当x为负类时,yi为-1。目的:为了去掉distance中的绝对值符号(在不改变值的情况下)
我们将distance变为:
此时,我们的优化目标为:
解释:min为了确定i,找到距离划分超平面最近的点,argmax为了确定w和b,找到使距离最大的面
接下来我们将问题转化:
我们通过缩放,使,则后面部分最小值为1,我们可以得到转化后的优化目标:
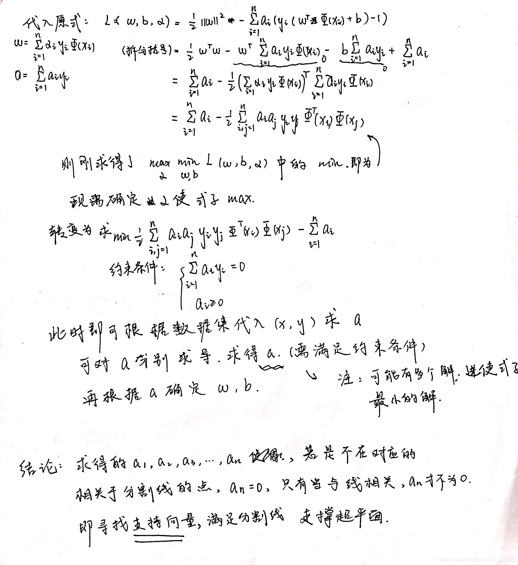
在通过变换,可将其向拉格朗日乘子法靠拢
即:
由此我们将问题转化为求目标函数L的极值:至于为啥能这样转化,大家可以看看这个链接
如此一来,问题便变得简单起来,L分别对w和b偏导,使其等于零,得到如下两个式子:
将他们带入L,我们得到了新的对偶问题:
我们需要在满足下面条件的情况下,选取一个a,使得该式最大
这里需注意,我们需要满足KKT条件,在这个的链接中也有提到啥是KKT条件
如此一来,我们便能够确定a,进而根据约束条件确定w和b
根据约束条件,我们不难理解其几何意义:
对任何训练样本,总有
或
,如果是a为0,则该样本不会在求和式中出现,也就不会对fx有任何影响,如果a大于零,则对应的有
,对应的样本点在最大间隔边界上,是一个支持向量。这就是“支持向量机”名字的由来,目的是为了找到支持划分超平面的向量,最终模型只与支持向量有关。
纸上推导过程见下图:其包含了后面延伸的松弛因子和核函数



若有谬误,不胜感激!
本文深入探讨了支持向量机(SVM)的核心概念,包括如何寻找最佳划分超平面以实现样本分类,介绍了点到平面距离的计算方法,以及SVM算法的数学原理,通过实例解释了如何确定w和b参数,使最接近超平面的样本点远离平面。
1584

被折叠的 条评论
为什么被折叠?



