✨✨ 欢迎大家来访Srlua的博文(づ ̄3 ̄)づ╭❤~✨✨🌟🌟 欢迎各位亲爱的读者,感谢你们抽出宝贵的时间来阅读我的文章。
我是Srlua小谢,在这里我会分享我的知识和经验。🎥
希望在这里,我们能一起探索IT世界的奥妙,提升我们的技能。🔮
记得先点赞👍后阅读哦~ 👏👏
欢迎访问我的主页:Srlua小谢 获取更多信息和资源。✨✨🌙🌙
目录
本文所有资源均可在该地址处获取。
先对论文做简单介绍,并附上论文链接以供下载
再对论文内容进行概括,便于快速理解论文
最后对论文进行实验复现
论文介绍
复现论文名称:You Only Look Once: Unified, Real-Time Object Detection
论文作者:Joseph Redmon, Santosh Divvala, Ross Girshick, Ali Farhadi
该论文就是YOLOv1,YOLOv1是YOLO系列目标检测算法的第一个版本,由Joseph Redmon等人于2015年提出。它是一种端到端的卷积神经网络,以极高的速度实现目标检测,尤其在实时应用中表现出色
主要内容
YOLO系列都包括:输入端、Backbone、Neck,Head
其中
输入端:含有输入数据(图片or视频)、数据增强算法以及预处理操作部分
Backbone结构:核心特征提取器
Neck结构:V3版本才有,参考了FPN的特征融合思想,明显提升小物体的检测效果
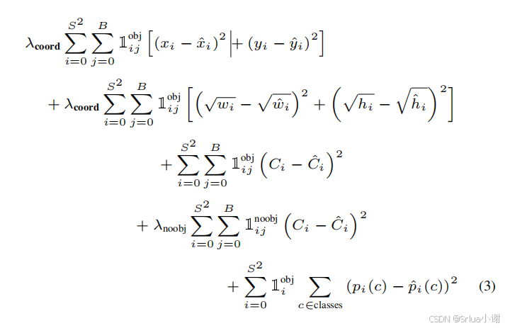
Head结构:包含Head检测头、损失函数以及Head结构的优化策略
实验部分
1.卷积网络结构
在数据集上进行训练卷积层。预训练使用下图的前20个卷积层,再跟上后边的平均池化层以及一个全连接层。



最低0.47元/天 解锁文章
2006

被折叠的 条评论
为什么被折叠?



