✨✨ 欢迎大家来访Srlua的博文(づ ̄3 ̄)づ╭❤~✨✨🌟🌟 欢迎各位亲爱的读者,感谢你们抽出宝贵的时间来阅读我的文章。
我是Srlua小谢,在这里我会分享我的知识和经验。🎥
希望在这里,我们能一起探索IT世界的奥妙,提升我们的技能。🔮
记得先点赞👍后阅读哦~ 👏👏
📘📚 所属专栏:传知代码
欢迎访问我的主页:Srlua小谢 获取更多信息和资源。✨✨🌙🌙
目录
一、背景及意义介绍
背景
- 优化算法的发展需求
- 在计算机科学和数学领域,优化问题是一个核心研究方向。随着实际应用场景的不断增加和问题复杂度的提升,传统的优化算法在面对一些复杂的组合优化问题时,往往存在局限性。例如,动态规划法、贪心算法和分支界定法等在处理大规模的0 - 1背包问题时,由于“组合爆炸”问题,无法高效地找到最优解。
- 群体智能算法的兴起
- 自然界中的生物群体行为展现出了高效的信息处理和优化能力,如蚁群觅食、鸟群迁徙和狼群捕猎等。学者们受到这些生物群体智能的启发,提出了一系列群体智能算法,如粒子群算法、蚁群算法和遗传算法等。这些算法通过模拟生物群体的行为模式,在解决复杂优化问题上取得了一定的成果。
- 狼群算法在连续空间的应用及离散空间的需求
- 狼群算法(Wolf Pack Algorithm,WPA)是一种模拟狼群分工协作式捕猎行为及其猎物分配方式的群体智能算法。它在连续空间的复杂函数寻优问题上已经展现出了较好的计算鲁棒性和全局搜索能力,尤其对于高维、多峰的复杂函数寻优效果较好。然而,实际中的优化问题不仅包括连续空间优化问题,还包括大量的离散空间优化问题,如0 - 1背包问题、投资组合和车间作业调度等。因此,有必要将狼群算法扩展到离散空间,以解决更多类型的实际问题。
意义
- 理论意义
- 丰富优化算法体系
- 二进制狼群算法(Binary Wolf Pack Algorithm,BWPA)的提出为优化算法领域增添了新的成员。它基于狼群算法的基本思想,通过引入二进制编码,重新设计了人工狼的位置、步长和智能行为,为解决离散空间组合优化问题提供了一种新的思路和方法。这有助于进一步完善和丰富群体智能算法的理论体系。
- 深入理解生物启发式算法
- 通过对狼群行为的深入研究和模拟,有助于更好地理解生物群体智能的内在机制。研究如何将生物群体的协作、竞争和信息传递等行为模式转化为有效的算法策略,不仅可以提高算法的性能,还能为研究其他生物启发式算法提供参考和借鉴。
- 丰富优化算法体系
- 实际应用意义
- 解决实际组合优化问题
- 0 - 1背包问题是一个经典的组合优化问题,具有广泛的实际应用场景,如资源分配、任务调度和材料切割等。二进制狼群算法为解决这类问题提供了一种有效的工具。通过对10个经典的背包问题算例和3个高维背包问题的仿真实验验证,表明该算法具有相对较好的稳定性和全局寻优能力,能够为实际应用中的资源合理分配和任务高效调度等提供有效的解决方案。
- 提升工程和管理决策效率
- 在工程和管理领域,常常需要面对各种资源分配和任务安排的决策问题。二进制狼群算法可以帮助决策者快速找到满足约束条件且具有最优效益的方案。例如,在生产车间的作业调度中,通过将作业视为物品,作业时间和资源需求视为重量和价值,利用该算法可以优化作业安排,提高生产效率;在投资组合决策中,可以将不同的投资项目视为物品,投资回报率和风险视为价值和重量,从而找到最优的投资组合策略,提高投资效益。
- 解决实际组合优化问题
二、概述
二进制狼群算法(Binary Wolf Pack Algorithm,BWPA)是一种基于狼群行为模拟的智能优化算法,用于解决0 - 1背包问题。该算法通过定义人工狼的位置、步长和智能行为,并采用二进制编码,在离散空间中进行搜索,以找到满足背包容量限制且具有最大价值的物品组合。原文地址:链接
三、算法原理
(一)0 - 1背包问题定义
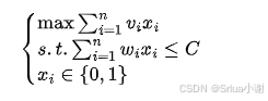
0 - 1背包问题是给定一个容量为 CC 的背包和 nn 个物品,每个物品具有重量 wiwi 和价值 vivi。目标是选择一组物品放入背包,使得背包中物品的总价值最大,同时满足背包的容量限制。可以用以下数学模型表示:
其中,xixi 表示物品 ii 是否被放入背包,xi=1xi=1 表示放入,xi=0xi=0 表示不放入。
(二)狼群行为模拟
1.狼群系统分析
- 狼群由头狼、探狼和猛狼组成,它们在捕猎过程中具有不同的职责和行为。
- 头狼是狼群中的领导者,具有最高的适应度(在背包问题中对应于背包中物品总价值最高的组合)。
- 探狼负责在狼群领地内搜索猎物,即探索解空间中的不同物品组合。
- 猛狼在头狼的召唤下,迅速向头狼位置靠拢,并参与对猎物的围攻,对应于在解空间中向较优解的方向移动和优化。
2.个体编码与位置表示
- 人工狼的位置用二进制编码表示,每个编码位对应一个物品,编码位的值为0或1,表示该物品是否被选择放入背包。
- 例如,对于一个有5个物品的背包问题,人工狼的位置可以表示为 (x1,x2,x3,x4,x5)(x1,x2,x3,x4,x5),其中 xi∈{0,1}xi∈{0,1}。
3.智能行为规则
- 游走行为
- 探狼根据自身感知的猎物气味浓度(对应于背包中物品组合的价值)决定是否继续探索。如果当前位置的价值不如头狼位置的价值,则探狼在其可活动范围内随机改变一些编码位的值(对应于改变物品选择),并重新评估新位置的价值。
- 如果新位置的价值更高,则探狼继续在该方向上探索;如果新位置的价值不如当前位置或达到最大探索次数,则探狼停止探索。
- 召唤行为
- 头狼通过某种方式(在算法中可以是一种信息传递机制)召唤猛狼。
- 猛狼接收到召唤后,根据自身与头狼位置的差异,以一定的步长向头狼位置移动。在移动过程中,猛狼可能会根据自身与头狼位置编码位的差异,改变一些编码位的值,使其更接近头狼的位置(对应于选择更接近头狼的物品组合)。
- 如果猛狼在移动过程中发现自身位置的价值高于头狼位置的价值,则猛狼取代头狼成为新的领导者。
- 围攻行为
- 在头狼周围的猛狼和探狼共同对猎物进行围攻。
- 在算法中,这对应于在头狼位置附近进一步优化物品组合。参与围攻的狼根据自身与头狼位置编码位的差异,以一定的攻击步长改变一些编码位的值,以提高背包中物品组合的价值。
- 在每次改变编码位的值后,都要评估新位置的价值,并根据价值的高低决定是否接受新位置。
4.适应度评估
- 对于每个人工狼的位置(即物品组合),计算其适应度。在背包问题中,适应度函数通常定义为背包中物品的总价值。
- 同时,要检查物品组合是否满足背包容量限制。如果不满足,则可以对该位置进行修复(例如,通过调整某些物品的选择,使其满足容量限制)。
5.狼群更新机制
- 在每次迭代中,根据狼群中各个狼的行为和适应度,更新狼群的组成和位置。
- 可能包括更新头狼、淘汰一些适应度较低的狼,并引入一些新的狼(新的物品组合)。
- 新引入的狼可以通过随机生成二进制编码来初始化,然后进行适应度评估和可能的修复操作。
需要本文的详细复现过程的项目源码、数据和预训练好的模型可从该地址处获取完整版:Aspiringcode - 编程抱负 即刻实现
四、复现步骤
(一)数据准备
- 收集或生成背包问题的测试数据。这包括物品的重量和价值信息,以及背包的容量。
- 可以使用现有的标准背包问题数据集,或者根据特定的问题场景生成自定义的数据集。
- 确定算法的参数设置。这些参数包括狼群数量、最大迭代次数、游走步长、攻击步长、距离判定因子、更新比例因子等。这些参数的取值会影响算法的性能和搜索结果,可以根据经验或实验进行调整。
(二)算法实现
- 按照算法原理,逐步实现以下几个关键部分:
- 人工狼的初始化:根据狼群数量和物品数量,生成初始的人工狼位置(二进制编码)。
- 适应度计算函数:实现计算背包中物品总价值以及检查容量限制的功能。
- 距离计算函数:定义一种方法来计算两个人工狼位置之间的距离(例如,基于编码位差异的某种度量)。
- 游走行为实现:模拟探狼的游走行为,包括随机改变编码位的值和评估新位置的价值。
- 召唤行为实现:实现头狼召唤猛狼以及猛狼向头狼移动的过程,包括位置更新和价值评估。
- 围攻行为实现:模拟猛狼和探狼对猎物的围攻行为,通过改变编码位的值来优化物品组合,并评估新位置的价值。
- 狼群更新机制实现:根据各个狼的行为和适应度,更新狼群的组成和位置,包括头狼更新、淘汰和引入新狼等操作。
- 在实现过程中,可以使用一些辅助数据结构来存储中间结果,如用于存储每个人工狼的适应度信息的字典,以便在后续计算中快速获取。
// 二进制狼群算法求解0 - 1背包问题主函数
function binary_wolf_pack_algorithm(num_items, capacity, weights, values, num_wolves, max_iterations,
max_walk_iterations, walk_step, attack_step, distance_factor, update_factor)
// 初始化狼群
wolves = initialize_wolves(num_wolves, num_items)
// 用于存储适应度的字典
fitness_dict = {}
for iter in range(max_iterations)
// 确定头狼
head_wolf_index = determine_head_wolf(wolves, fitness_dict, values, weights)
head_wolf = wolves[head_wolf_index]
// 探狼游走
wolves = wolves_walking(wolves, head_wolf_index, max_walk_iterations, walk_step, fitness_dict, values, weights)
// 猛狼召唤和围攻
wolves = wolves_summoning_and_sieging(wolves, head_wolf_index, attack_step, distance_factor, fitness_dict, values, weights)
// 更新狼群
wolves = update_wolves(wolves, num_wolves, num_items, capacity, update_factor, fitness_dict, values, weights)
// 返回最优解
best_wolf_index = determine_head_wolf(wolves, fitness_dict, values, weights)
best_wolf = wolves[best_wolf_index]
return calculate_fitness(best_wolf, values, weights)
(三)结果验证
- 使用准备好的测试数据和选定的算法参数,运行复现的算法。
- 将复现结果与原论文中的结果进行比较。比较的指标可以包括最优解(背包中物品的最大总价值)、最差解、平均值、标准差以及命中已知最优解的次数等。
五、总结
通过以上复现步骤,可以实现二进制狼群算法对0 - 1背包问题的求解。在复现过程中,要仔细理解算法原理,准确实现各个关键部分,并通过合理的数据准备和结果验证,确保复现的准确性和有效性。同时,还可以进一步探索算法参数的调整对结果的影响,以及如何进一步优化算法性能,以更好地解决实际的背包问题。
部署方式
- Python 版本:可使用 Python 3.x
希望对你有帮助!加油!
若您认为本文内容有益,请不吝赐予赞同并订阅,以便持续接收有价值的信息。衷心感谢您的关注和支持!

5149

被折叠的 条评论
为什么被折叠?



