本章内容:
- Python 的种类
- Python 的环境
- Python 入门(解释器、编码、pyc文件、脚步传入参数、变量、输入、流程控制与缩进、while循环)
- 练习题
Python 的种类
- Cpython
Python的官方版本,使用C语言实现,使用最为广泛,CPython实现会将源文件(py文件)转换成字节码文件(pyc文件),然后运行在Python虚拟机上。
- Jyhton
Python的Java实现,Jython会将Python代码动态编译成Java字节码,然后在JVM上运行。
- IronPython
Python的C#实现,IronPython将Python代码编译成C#字节码,然后在CLR上运行。(与Jython类似)
- PyPy(特殊)
Python实现的Python,将Python的字节码字节码再编译成机器码。
- RubyPython、Brython ….
Python的对应关系和执行流程如下:


PyPy 在Python的基础上对Python的字节码进一步处理,从而提升执行速度!

Python 的环境
Windows:
下载地址:https://www.python.org/downloads/
Linux:
自带python环境
#python -V 查看python版本
nick-suo@ubuntu:~$ python -V
Python 2.7.6
nick-suo@ubuntu:~$ python3 -V
Python 3.4.0
nick-suo@ubuntu:~$
更新python环境
1、安装gcc,用于编译Python源码
yum install gcc
2、下载源码包,https://www.python.org/ftp/python/
3、解压并进入源码文件
4、编译安装
./configure
make all
make install
5、查看版本
/usr/local/bin/python2.7 -V
6、修改默认Python版本
mv /usr/bin/python /usr/bin/python2.6
ln -s /usr/local/bin/python2.7 /usr/bin/python
7、防止yum执行异常,修改yum使用的Python版本
vi /usr/bin/yum
将头部 #!/usr/bin/python 修改为 #!/usr/bin/python2.6
##Python 入门
一、'Hello World!'
#python2的写法
print "Hello World!"
#python3的写法
print("Hello World!")
二、执行(解释器)、退出
明确的指出 hello.py 脚本由 python 解释器来执行。
nick-suo@ubuntu:/blogs$ cat hello.py
#!/usr/bin/env python
print("Hello World!")
nick-suo@ubuntu:/blogs$ sudo chmod +x hello.py
nick-suo@ubuntu:/blogs$ ./hello.py
Hello World!
nick-suo@ubuntu:/blogs$
#########################
程序可以通过抛出SystemExit异常来请求退出。
>>> raise SystemExit
三、编码
python解释器在加载 .py 文件中的代码时,会对内容进行编码(默认ascill)
ASCII(American Standard Code for Information Interchange,美国标准信息交换代码)是基于拉丁字母的一套电脑编码系统,主要用于显示现代英语和其他西欧语言,其最多只能用 8 位来表示(一个字节),即:2**8 = 256,所以,ASCII码最多只能表示 256 个符号。
显然ASCII码无法将世界上的各种文字和符号全部表示,所以,就需要新出一种可以代表所有字符和符号的编码,即:Unicode
Unicode(统一码、万国码、单一码)是一种在计算机上使用的字符编码。Unicode 是为了解决传统的字符编码方案的局限而产生的,它为每种语言中的每个字符设定了统一并且唯一的二进制编码,规定虽有的字符和符号最少由 16 位来表示(2个字节),即:2 **16 = 65536,
注:此处说的的是最少2个字节,可能更多
UTF-8,是对Unicode编码的压缩和优化,他不再使用最少使用2个字节,而是将所有的字符和符号进行分类:ascii码中的内容用1个字节保存、欧洲的字符用2个字节保存,东亚的字符用3个字节保存…
告诉python解释器,用什么编码来执行代码:
nick-suo@ubuntu:/blogs$ cat hello.py
#!/usr/bin/env python
#-*- coding:utf-8 -*-
print("你好 世界!")
nick-suo@ubuntu:/blogs$ python3 hello.py
你好 世界!
nick-suo@ubuntu:/blogs$
四、注释
单行注释:#Nick
多行注释:’’‘Nick’’’
#Nick
'''
Nick
Nick
Nick
'''
五、pyc文件
执行Python代码时,如果导入了其他的 .py 文件,那么,执行过程中会自动生成一个与其同名的 .pyc 文件,该文件就是Python解释器编译之后产生的字节码。
nick-suo@ubuntu:/blogs$ ls a.py*
a.py a.pyc
nick-suo@ubuntu:/blogs$
六、脚步传入参数
Python有大量的模块,从而使得开发Python程序非常简洁。类库有包括三中:
- Python内部提供的模块
- 业内开源的模块
- 程序员自己开发的模块
Python内部提供一个 sys 的模块,其中的 sys.argv 用来捕获执行执行python脚本时传入的参数
#!/usr/bin/env python
#-*- coding:utf-8 -*-
import sys
print("sys.argv")
七、变量
1、声明变量
#!/usr/bin/env python
#-*- coding:utf-8 -*-
#声明变量name,值为"Nick"
name = "Nick"
变量的作用:昵称其代指内存里某个地址中保存的内容

变量定义的规则:
- 变量名只能是 字母、数字或下划线的任意组合
- 变量名的第一个字符不能是数字
- 以下关键字不能声明为变量名
- [‘and’, ‘as’, ‘assert’, ‘break’, ‘class’, ‘continue’, ‘def’, ‘del’, ‘elif’, ‘else’, ‘except’, ‘exec’, ‘finally’, ‘for’, ‘from’, ‘global’, ‘if’, ‘import’, ‘in’, ‘is’, ‘lambda’, ‘not’, ‘or’, ‘pass’, ‘print’, ‘raise’, ‘return’, ‘try’, ‘while’, ‘with’, ‘yield’]
2、变量的赋值
#!/usr/bin/env python
#-*- coding:utf-8 -*-
name1 = "Nick"
name2 = "Suo"

#!/usr/bin/env python
#-*- coding:utf-8 -*-
name1 = "Nick"
name2 = name1

八、输入
输入用户名
#!/usr/bin/env python
#-*- coding:utf-8 -*-
#将用户输入的内容赋值给name变量
name = raw_input("请输入用户名:")
print name
#python3的写法
name = input("请输入用户名:")
print(name)
输入密码时,如果想要不可见,需要利用getpass 模块中的 getpass方法,即:
#!/usr/bin/env python
#-*- coding:utf-8 -*-
import getpass
pwd = getpass.getpass("请输入密码:")
print(pwd)
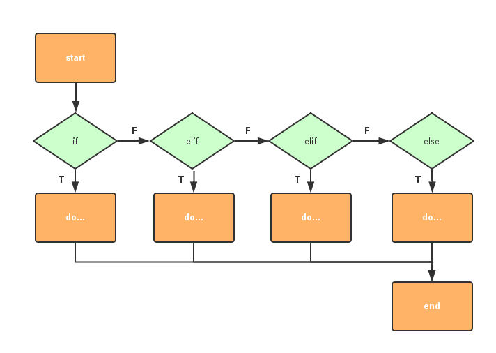
九、流程控制与缩进

用户登录验证与输出相应内容
#!/usr/bin/env python
#-*- coding:utf-8 -*-
import getpass
name = input("请输入用户名:")
pwd = getpass.getpass("请输入密码:")
if name == "nick" and pwd == "nick":
print("Welcome, nick.")
elif name == "Suo" and pwd == "Suo":
print("Welcome, Suo.")
elif name == "test":
print("Hi, test.")
else:
print("Sorry, please try angin.")
十、while循环

1、基本循环
while 条件:
# 循环体
# 如果条件为真,那么循环则执行
# 如果条件为假,那么循环不执行
2、break
break 用于退出当层循环
#!/usr/bin/env python
#-*- coding:utf-8 -*-
num = 1
while num <6:
print(num)
num+=1
break
print("end")
3、continue
continue 用于退出当前循环,继续下一次循环
#!/usr/bin/env python
#-*- coding:utf-8 -*-
num = 1
while num <6:
print(num)
num+=1
continue
print("end")
练习题
求1-2+3-4+5 … 99的所有数的和
方法一:
num = 1
num2 = 2
num3 = num - num2
while True:
num+=2
num2+=2
num3 = num3 + num
if num == 99:
break
num3 = num3 - num2
print(num3)
方法二:
sum = 1
s = 0
while True:
s = s + sum
if sum == 99:
break
sum+=2
sum1 = 0
s1 = 0
while True:
s1 = s1 + sum1
if sum1 == 98:
break
sum1 += 2
print(s - s1)
方法三:
sum = 0
start = 1
while start < 100:
temp = start % 2
if temp == 1:
sum = sum +start
else:
sum = sum - start
start += 1
print(sum)
+View Code
方法四:
sum=1
s=0
while sum<100:
s=s+sum*(-1)**(sum+1)
sum+=1
print(s)
方法五:
#排除99,剩余49组1-2
print(49*(1-2)+99)
本文介绍了Python的多种实现,包括CPython、Jython和IronPython,强调了PyPy的高性能特性。详细讲解了Python环境的安装与版本管理,特别是在Linux系统中的操作。接着,文章探讨了Python的编码规范,如ASCII与Unicode的区别以及UTF-8编码的重要性。此外,还介绍了Python的基本语法,如变量、输入输出、流程控制和循环结构。最后,提供了几个练习题,涵盖数字序列的求和方法。

被折叠的 条评论
为什么被折叠?



