在每一帧改变物体的顶点并且重配置缓冲区从而使它们移动,十分繁琐,而且会消耗很多的处理时间。我们现在有一个更好的解决方案,使用(多个)矩阵(Matrix)对象可以更好的变换(Transform)一个物体。
向量
向量与标量预算
标量(Scalar)是一个数字,当把一个向量加/减/乘/除一个标量,我们可以简单的把向量的每个分量分别进行该运算。
例如:

向量取反
对一个向量取反(Negate)会将其方向逆转,在一个向量的每个分量前加负号就可以实现取反了(-1数乘该向量)。
例如:

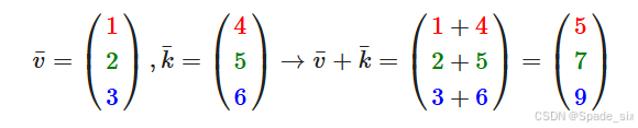
向量加减
向量的加法可以被定义为是分量的(Component-wise)相加,即将一个向量中的每一个分量加上另一个向量的对应分量。
例如:

向量的长度
运用勾股定理。 例:


![]()
单位向量(Unit Vector):长度是1。我们可以用任意向量的每个分量除以向量的长度得到它的单位向量(向量的标准化(Normalizing))。

点乘
![]()
计算例如:

叉乘
叉乘只在3D空间中有定义,它需要两个不平行向量作为输入,生成一个正交于两个输入向量的第三个向量。如果输入的两个向量也是正交的,那么叉乘之后将会产生3个互相正交的向量。


矩阵
矩阵就是一个矩形的数字、符号或表达式数组。矩阵中每一项叫做矩阵的元素(Element)。矩阵可以通过(i, j)进行索引,i是行,j是列。这与在索引2D图像时的(x, y)相反。如果是图像索引(1, 2),先算列,再算行)。
矩阵与标量

矩阵数乘

矩阵加减

矩阵相乘
- 只有当左侧矩阵的列数与右侧矩阵的行数相等,两个矩阵才能相乘。
- 矩阵相乘不遵守交换律(Commutative),也就是说A⋅B≠B⋅A

矩阵与向量相乘
向量是一个N×1矩阵,N表示向量分量的个数(也叫N维(N-dimensional)向量)。
单位矩阵是一个除了对角线以外都是0的N×N矩阵,通常是生成其他变换矩阵的起点,如果我们深挖线性代数,这还是一个对证明定理、解线性方程非常有用的矩阵。

缩放
OpenGL通常是在3D空间进行操作的,对于2D的情况我们可以把z轴缩放1倍,这样z轴的值就不变了。每个轴的缩放因子(Scaling Factor)都不一样是不均匀(Non-uniform)缩放,每个轴的缩放因子都一样那么就叫均匀缩放(Uniform Scale)。
构造一个变换矩阵提供缩放功能:

位移
位移(Translation)是在原始向量的基础上加上另一个向量从而获得一个在不同位置的新向量的过程,从而在位移向量基础上移动了原始向量。

齐次坐标(Homogeneous Coordinates)
向量的w分量(第四个坐标)也叫齐次坐标。想要从齐次向量得到3D向量,我们可以把x、y和z坐标分别除以w坐标。我们通常不会注意这个问题,因为w分量通常是1.0。使用齐次坐标有几点好处:它允许我们在3D向量上进行位移(如果没有w分量我们是不能位移向量的)。如果一个向量的齐次坐标是0,这个坐标就是方向向量(Direction Vector),这个向量就不能位移(不能位移一个方向)。
旋转
- 弧度转角度:
角度 = 弧度 * (180.0f / PI) - 角度转弧度:
弧度 = 角度 * (PI / 180.0f)
PI约等于3.14159265359
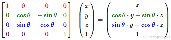
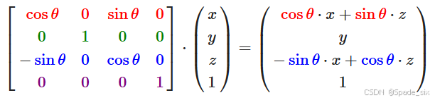
沿X轴旋转:

沿Y轴旋转:

沿Z轴旋转:

沿任意一个轴(Rx,Ry,Rz)旋转:

矩阵组合
当矩阵相乘时我们先写位移再写缩放变换的。矩阵乘法是不遵守交换律的,这意味着它们的顺序很重要。当矩阵相乘时,在最右边的矩阵是第一个与向量相乘的,所以你应该从右向左读这个乘法。
假设我们有一个顶点(x, y, z),我们希望将其缩放2倍,然后位移(1, 2, 3)个单位。我们需要一个位移和缩放矩阵来完成这些变换。变换矩阵为:

结果为:

GLM(OpenGL Mathematics)
OpenGL没有自带任何的矩阵和向量知识,所以我们必须定义自己的数学类和函数。有个为OpenGL量身定做的数学库,那就是GLM。它是一个只有头文件的库,也就是只需包含对应的头文件就行了,不用链接和编译。要使用这个头文件,要先下载GLM download | SourceForge.net,再把解压后的文件复制到includes文件夹中,然后就可以使用这个库了。
使用时,添加以下头文件:
#include <glm/glm.hpp>
#include <glm/gtc/matrix_transform.hpp>
#include <glm/gtc/type_ptr.hpp>
简单的应用:
#include <iostream>
#include <glm/glm.hpp>
#include <glm/gtc/matrix_integer.hpp> // 用于整数矩阵支持
#include <glm/gtc/type_ptr.hpp>
#include <ctime> // 用于生成随机数种子
#include <cstdlib> // 用于生成随机数
// 生成 4x4 随机矩阵
glm::imat4 generateRandomMatrix() {
glm::imat4 matrix;
for (int i = 0; i < 4; ++i) {
for (int j = 0; j < 4; ++j) {
matrix[i][j] = rand() % 10; // 生成 0 到 9 的随机整数
}
}
return matrix;
}
// 生成 4x1 随机向量
glm::ivec4 generateRandomVector() {
glm::ivec4 vector;
for (int i = 0; i < 4; ++i) {
vector[i] = rand() % 10; // 生成 0 到 9 的随机整数
}
return vector;
}
// 打印 4x4 矩阵
void printMatrix(const glm::imat4& matrix) {
for (int i = 0; i < 4; ++i) {
for (int j = 0; j < 4; ++j) {
std::cout << matrix[i][j] << " ";
}
std::cout << std::endl;
}
}
// 打印 4x1 向量
void printVector(const glm::ivec4& vector) {
for (int i = 0; i < 4; ++i) {
std::cout << vector[i] << " ";
}
std::cout << std::endl;
}
int main() {
srand(static_cast<unsigned int>(time(0))); // 设置随机数种子
// 创建两个随机 4x4 矩阵和一个随机 4x1 向量
glm::imat4 matrixA = generateRandomMatrix();
glm::imat4 matrixB = generateRandomMatrix();
glm::ivec4 vector = generateRandomVector();
// 矩阵加法
glm::imat4 matrixAdd = matrixA + matrixB;
// 矩阵减法
glm::imat4 matrixSub = matrixA - matrixB;
// 矩阵乘法
glm::imat4 matrixMul = matrixA * matrixB;
// 矩阵-向量乘法
glm::ivec4 matrixVectorMul = matrixA * vector;
// 输出矩阵和向量
std::cout << "Matrix A:" << std::endl;
printMatrix(matrixA);
std::cout << "\nMatrix B:" << std::endl;
printMatrix(matrixB);
std::cout << "\nVector:" << std::endl;
printVector(vector);
// 输出运算结果
std::cout << "\nMatrix A + Matrix B:" << std::endl;
printMatrix(matrixAdd);
std::cout << "\nMatrix A - Matrix B:" << std::endl;
printMatrix(matrixSub);
std::cout << "\nMatrix A * Matrix B:" << std::endl;
printMatrix(matrixMul);
std::cout << "\nMatrix A * Vector:" << std::endl;
printVector(matrixVectorMul);
return 0;
}
将矩阵传递给着色器
#version 330 core
layout (location = 0) in vec3 aPos;
layout (location = 1) in vec2 aTexCoord;
out vec2 TexCoord;
uniform mat4 transform;
void main()
{
gl_Position = transform * vec4(aPos, 1.0f);
TexCoord = vec2(aTexCoord.x, 1.0 - aTexCoord.y);
}
传递给着色器程序
unsigned int transformLoc = glGetUniformLocation(ourShader.ID, "transform");
//第一个参数是uniform的位置值
//第二个参数告诉OpenGL要发送多少个矩阵,这里是1
//第三个参数询问我们是否希望对我们的矩阵进行转置(Transpose),也就是说交换我们矩阵的行和列。
//OpenGL开发者通常使用一种内部矩阵布局,叫做列主序(Column-major Ordering)布局。GLM的默认布局是
//列主序,所以并不需要转置矩阵,填GL_FALSE
//最后一个参数是真正的矩阵数据,但是GLM并不是把它们的矩阵储存为OpenGL所希望接受的那种,因此要先用
//GLM的自带的函数value_ptr来变换这些数据。
glUniformMatrix4fv(transformLoc, 1, GL_FALSE, glm::value_ptr(trans));
坐标系统
物体坐标变换到屏幕坐标前有一些过渡坐标系
- 局部空间(Local Space,或者称为物体空间(Object Space))
- 世界空间(World Space)
- 观察空间(View Space,或者称为视觉空间(Eye Space))
- 裁剪空间(Clip Space)
- 屏幕空间(Screen Space)

局部空间
局部空间是指物体所在的坐标空间,即对象最开始所在的地方。
世界空间
顶点相对于(游戏)世界的坐标。如果你希望将物体分散在世界上摆放(特别是非常真实的那样),这就是你希望物体变换到的空间。物体的坐标将会从局部变换到世界空间;该变换是由模型矩阵(Model Matrix)实现的。
观察空间
观察空间经常被人们称之OpenGL的摄像机(Camera)(有时也称为摄像机空间(Camera Space)或视觉空间(Eye Space))。观察空间是将世界空间坐标转化为用户视野前方的坐标而产生的结果。因此观察空间就是从摄像机的视角所观察到的空间。
裁剪空间
在一个顶点着色器运行的最后,OpenGL期望所有的坐标都能落在一个特定的范围内,且任何在这个范围之外的点都应该被裁剪掉(Clipped)。被裁剪掉的坐标就会被忽略,所以剩下的坐标就将变为屏幕上可见的片段。
因为将所有可见的坐标都指定在-1.0到1.0的范围内不是很直观,所以我们会指定自己的坐标集(Coordinate Set)并将它变换回标准化设备坐标系。为了将顶点坐标从观察变换到裁剪空间,我们需要定义一个投影矩阵(Projection Matrix),它指定了一个范围的坐标,比如在每个维度上的-1000到1000。投影矩阵接着会将在这个指定的范围内的坐标变换为标准化设备坐标的范围(-1.0, 1.0)。所有在范围外的坐标不会被映射到在-1.0到1.0的范围之间,所以会被裁剪掉。
如果只是图元(Primitive),例如三角形,的一部分超出了裁剪体积(Clipping Volume),则OpenGL会重新构建这个三角形为一个或多个三角形让其能够适合这个裁剪范围。
一旦所有顶点被变换到裁剪空间,透视除法(Perspective Division)(将4D裁剪空间坐标变换为3D标准化设备坐标的过程)将会执行,在这个过程中我们将位置向量的x,y,z分量分别除以向量的齐次w分量。这一步会在每一个顶点着色器运行的最后被自动执行。
将观察坐标变换为裁剪坐标的投影矩阵可以为两种不同的形式,每种形式都定义了不同的平截头体。可以选择创建一个正射投影矩阵(Orthographic Projection Matrix)或一个透视投影矩阵(Perspective Projection Matrix)。
正射投影
正射投影矩阵定义了一个类似立方体的平截头箱,它定义了一个裁剪空间,由宽、高、近(Near)平面和远(Far)平面所指定,在这空间之外的顶点都会被裁剪掉。创建一个正射投影矩阵需要指定可见平截头体的宽、高和长,在使用正射投影矩阵变换至裁剪空间之后处于这个平截头体内的所有坐标将不会被裁剪掉。

//创建正射投影矩阵
//前两个参数指定了平截头体的左右坐标
//第三和第四参数指定了平截头体的底部和顶部。通过这四个参数我们定义了近平面和远平面的大小
//第五和第六个参数则定义了近平面和远平面的距离。这个投影矩阵会将处于这些x,y,z值范围内的坐标变换为标准化设备坐标。
glm::ortho(0.0f, 800.0f, 0.0f, 600.0f, 0.1f, 100.0f);
透视投影
透视投影矩阵将给定的平截头体范围映射到裁剪空间,并修改每个顶点坐标的w值,从而使得离观察者越远的顶点坐标w分量越大。被变换到裁剪空间的坐标都会在-w到w的范围之间(任何大于这个范围的坐标都会被裁剪掉)。

//创建投影矩阵
//第一个参数定义了fov的值,它表示的是视野(Field of View),并且设置了观察空间的大小。如果想要一个
//真实的观察效果,它的值通常设置为45.0f
//第二个参数设置了宽高比,由视口的宽除以高所得
//第三和第四个参数设置了平截头体的近和远平面。我们通常设置近距离为0.1f,而远距离设为100.0f
glm::mat4 proj = glm::perspective(glm::radians(45.0f), (float)width/(float)height, 0.1f, 100.0f);
当把透视矩阵的 near 值设置太大时(如10.0f),OpenGL会将靠近摄像机的坐标(在0.0f和10.0f之间)都裁剪掉,这会导致一个在游戏中很熟悉的视觉效果:在太过靠近一个物体的时候你的视线会直接穿过去。

3D
![]()
通过将顶点坐标乘以以下模型矩阵,该顶点坐标变换到世界坐标。我们的平面看起来就是在地板上,代表全局世界里的平面。
glm::mat4 model;
model = glm::rotate(model, glm::radians(-55.0f), glm::vec3(1.0f, 0.0f, 0.0f));
接下来需要创建一个观察矩阵。我们想要在场景里面稍微往后移动,以使得物体变成可见的(当在世界空间时,我们位于原点(0,0,0)),即将摄像机向后移动,和将整个场景向前移动是一样的。这正是观察矩阵所做的,以相反于摄像机移动的方向移动整个场景。因为我们想要往后移动,并且OpenGL是一个右手坐标系(Right-handed System),所以我们需要沿着z轴的正方向移动。我们会通过将场景沿着z轴负方向平移来实现。它会给我们一种我们在往后移动的感觉。

glm::mat4 view;
// 注意,我们将矩阵向我们要进行移动场景的反方向移动。
view = glm::translate(view, glm::vec3(0.0f, 0.0f, -3.0f));
声明投影矩阵
glm::mat4 projection;
projection = glm::perspective(glm::radians(45.0f), screenWidth / screenHeight, 0.1f, 100.0f);
绘制正方体时,OpenGL存储它的所有深度信息于一个Z缓冲(Z-buffer)中,也被称为深度缓冲(Depth Buffer)。GLFW会自动生成这样一个缓冲(就像它也有一个颜色缓冲来存储输出图像的颜色)。深度值存储在每个片段里面(作为片段的z值),当片段想要输出它的颜色时,OpenGL会将它的深度值和z缓冲进行比较,如果当前的片段在其它片段之后,它将会被丢弃,否则将会覆盖。这个过程称为深度测试(Depth Testing),它是由OpenGL自动完成的。
例题
绘制十个正方体,每个正方体处于不同的位置,且让三倍数的箱子旋转,剩下的箱子保持静止。
cpp文件
#include <glad/glad.h>
#include <GLFW/glfw3.h>
#define STB_IMAGE_IMPLEMENTATION
#include "stb_image.h"
#include <glm/glm.hpp>
#include <glm/gtc/matrix_transform.hpp>
#include <glm/gtc/type_ptr.hpp>
#include "../includes/shader_m.h"
#include <iostream>
void framebuffer_size_callback(GLFWwindow* window, int width, int height);
void processInput(GLFWwindow* window);
const unsigned int SCR_WIDTH = 800;
const unsigned int SCR_HEIGHT = 600;
int main()
{
glfwInit();
glfwWindowHint(GLFW_CONTEXT_VERSION_MAJOR, 3);
glfwWindowHint(GLFW_CONTEXT_VERSION_MINOR, 3);
glfwWindowHint(GLFW_OPENGL_PROFILE, GLFW_OPENGL_CORE_PROFILE);
GLFWwindow* window = glfwCreateWindow(SCR_WIDTH, SCR_HEIGHT, "LearnOpenGL", NULL, NULL);
if (window == NULL)
{
std::cout << "Failed to create GLFW window" << std::endl;
glfwTerminate();
return -1;
}
glfwMakeContextCurrent(window);
glfwSetFramebufferSizeCallback(window, framebuffer_size_callback);
if (!gladLoadGLLoader((GLADloadproc)glfwGetProcAddress))
{
std::cout << "Failed to initialize GLAD" << std::endl;
return -1;
}
glEnable(GL_DEPTH_TEST);
Shader ourShader("coordinate_systems.vs", "coordinate_systems.fs");
float vertices[] = {
-0.5f, -0.5f, -0.5f, 0.0f, 0.0f,
0.5f, -0.5f, -0.5f, 1.0f, 0.0f,
0.5f, 0.5f, -0.5f, 1.0f, 1.0f,
0.5f, 0.5f, -0.5f, 1.0f, 1.0f,
-0.5f, 0.5f, -0.5f, 0.0f, 1.0f,
-0.5f, -0.5f, -0.5f, 0.0f, 0.0f,
-0.5f, -0.5f, 0.5f, 0.0f, 0.0f,
0.5f, -0.5f, 0.5f, 1.0f, 0.0f,
0.5f, 0.5f, 0.5f, 1.0f, 1.0f,
0.5f, 0.5f, 0.5f, 1.0f, 1.0f,
-0.5f, 0.5f, 0.5f, 0.0f, 1.0f,
-0.5f, -0.5f, 0.5f, 0.0f, 0.0f,
-0.5f, 0.5f, 0.5f, 1.0f, 0.0f,
-0.5f, 0.5f, -0.5f, 1.0f, 1.0f,
-0.5f, -0.5f, -0.5f, 0.0f, 1.0f,
-0.5f, -0.5f, -0.5f, 0.0f, 1.0f,
-0.5f, -0.5f, 0.5f, 0.0f, 0.0f,
-0.5f, 0.5f, 0.5f, 1.0f, 0.0f,
0.5f, 0.5f, 0.5f, 1.0f, 0.0f,
0.5f, 0.5f, -0.5f, 1.0f, 1.0f,
0.5f, -0.5f, -0.5f, 0.0f, 1.0f,
0.5f, -0.5f, -0.5f, 0.0f, 1.0f,
0.5f, -0.5f, 0.5f, 0.0f, 0.0f,
0.5f, 0.5f, 0.5f, 1.0f, 0.0f,
-0.5f, -0.5f, -0.5f, 0.0f, 1.0f,
0.5f, -0.5f, -0.5f, 1.0f, 1.0f,
0.5f, -0.5f, 0.5f, 1.0f, 0.0f,
0.5f, -0.5f, 0.5f, 1.0f, 0.0f,
-0.5f, -0.5f, 0.5f, 0.0f, 0.0f,
-0.5f, -0.5f, -0.5f, 0.0f, 1.0f,
-0.5f, 0.5f, -0.5f, 0.0f, 1.0f,
0.5f, 0.5f, -0.5f, 1.0f, 1.0f,
0.5f, 0.5f, 0.5f, 1.0f, 0.0f,
0.5f, 0.5f, 0.5f, 1.0f, 0.0f,
-0.5f, 0.5f, 0.5f, 0.0f, 0.0f,
-0.5f, 0.5f, -0.5f, 0.0f, 1.0f
};
glm::vec3 cubePositions[] = {
glm::vec3(0.0f, 0.0f, 0.0f),
glm::vec3(2.0f, 5.0f, -15.0f),
glm::vec3(-1.5f, -2.2f, -2.5f),
glm::vec3(-3.8f, -2.0f, -12.3f),
glm::vec3(2.4f, -0.4f, -3.5f),
glm::vec3(-1.7f, 3.0f, -7.5f),
glm::vec3(1.3f, -2.0f, -2.5f),
glm::vec3(1.5f, 2.0f, -2.5f),
glm::vec3(1.5f, 0.2f, -1.5f),
glm::vec3(-1.3f, 1.0f, -1.5f)
};
unsigned int VBO, VAO;
glGenVertexArrays(1, &VAO);
glGenBuffers(1, &VBO);
glBindVertexArray(VAO);
glBindBuffer(GL_ARRAY_BUFFER, VBO);
glBufferData(GL_ARRAY_BUFFER, sizeof(vertices), vertices, GL_STATIC_DRAW);
glVertexAttribPointer(0, 3, GL_FLOAT, GL_FALSE, 5 * sizeof(float), (void*)0);
glEnableVertexAttribArray(0);
glVertexAttribPointer(1, 2, GL_FLOAT, GL_FALSE, 5 * sizeof(float), (void*)(3 * sizeof(float)));
glEnableVertexAttribArray(1);
unsigned int texture1, texture2;
glGenTextures(1, &texture1);
glBindTexture(GL_TEXTURE_2D, texture1);
glTexParameteri(GL_TEXTURE_2D, GL_TEXTURE_WRAP_S, GL_REPEAT);
glTexParameteri(GL_TEXTURE_2D, GL_TEXTURE_WRAP_T, GL_REPEAT);
glTexParameteri(GL_TEXTURE_2D, GL_TEXTURE_MIN_FILTER, GL_LINEAR);
glTexParameteri(GL_TEXTURE_2D, GL_TEXTURE_MAG_FILTER, GL_LINEAR);
int width, height, nrChannels;
stbi_set_flip_vertically_on_load(true);
unsigned char* data = stbi_load("../resources/textures/container.jpg", &width, &height, &nrChannels, 0);
if (data)
{
glTexImage2D(GL_TEXTURE_2D, 0, GL_RGB, width, height, 0, GL_RGB, GL_UNSIGNED_BYTE, data);
glGenerateMipmap(GL_TEXTURE_2D);
}
else
{
std::cout << "Failed to load texture" << std::endl;
}
stbi_image_free(data);
glGenTextures(1, &texture2);
glBindTexture(GL_TEXTURE_2D, texture2);
glTexParameteri(GL_TEXTURE_2D, GL_TEXTURE_WRAP_S, GL_REPEAT);
glTexParameteri(GL_TEXTURE_2D, GL_TEXTURE_WRAP_T, GL_REPEAT);
glTexParameteri(GL_TEXTURE_2D, GL_TEXTURE_MIN_FILTER, GL_LINEAR);
glTexParameteri(GL_TEXTURE_2D, GL_TEXTURE_MAG_FILTER, GL_LINEAR);
data = stbi_load("../resources/textures/awesomeface.png", &width, &height, &nrChannels, 0);
if (data)
{
glTexImage2D(GL_TEXTURE_2D, 0, GL_RGB, width, height, 0, GL_RGBA, GL_UNSIGNED_BYTE, data);
glGenerateMipmap(GL_TEXTURE_2D);
}
else
{
std::cout << "Failed to load texture" << std::endl;
}
stbi_image_free(data);
ourShader.use();
ourShader.setInt("texture1", 0);
ourShader.setInt("texture2", 1);
while (!glfwWindowShouldClose(window))
{
processInput(window);
glClearColor(0.2f, 0.3f, 0.3f, 1.0f);
glClear(GL_COLOR_BUFFER_BIT | GL_DEPTH_BUFFER_BIT);
glActiveTexture(GL_TEXTURE0);
glBindTexture(GL_TEXTURE_2D, texture1);
glActiveTexture(GL_TEXTURE1);
glBindTexture(GL_TEXTURE_2D, texture2);
ourShader.use();
glm::mat4 view = glm::mat4(1.0f);
glm::mat4 projection = glm::mat4(1.0f);
projection = glm::perspective(glm::radians(45.0f), (float)SCR_WIDTH / (float)SCR_HEIGHT, 0.1f, 100.0f);
view = glm::translate(view, glm::vec3(0.0f, 0.0f, -3.0f));
ourShader.setMat4("projection", projection);
ourShader.setMat4("view", view);
glBindVertexArray(VAO);
for (unsigned int i = 0; i < 10; i++)
{
glm::mat4 model = glm::mat4(1.0f);
model = glm::translate(model, cubePositions[i]);
float angle = 20.0f * i;
if (i % 3 == 0) {
angle = glfwGetTime() * 25.0f;
}
model = glm::rotate(model, glm::radians(angle), glm::vec3(1.0f, 0.3f, 0.5f));
ourShader.setMat4("model", model);
glDrawArrays(GL_TRIANGLES, 0, 36);
}
glfwSwapBuffers(window);
glfwPollEvents();
}
glDeleteVertexArrays(1, &VAO);
glDeleteBuffers(1, &VBO);
glfwTerminate();
return 0;
}
void processInput(GLFWwindow* window)
{
if (glfwGetKey(window, GLFW_KEY_ESCAPE) == GLFW_PRESS)
glfwSetWindowShouldClose(window, true);
}
void framebuffer_size_callback(GLFWwindow* window, int width, int height)
{
glViewport(0, 0, width, height);
}
shader_m.h
#ifndef SHADER_H
#define SHADER_H
#include <glad/glad.h>
#include <glm/glm.hpp>
#include <string>
#include <fstream>
#include <sstream>
#include <iostream>
class Shader
{
public:
unsigned int ID;
Shader(const char* vertexPath, const char* fragmentPath)
{
std::string vertexCode;
std::string fragmentCode;
std::ifstream vShaderFile;
std::ifstream fShaderFile;
vShaderFile.exceptions(std::ifstream::failbit | std::ifstream::badbit);
fShaderFile.exceptions(std::ifstream::failbit | std::ifstream::badbit);
try
{
vShaderFile.open(vertexPath);
fShaderFile.open(fragmentPath);
std::stringstream vShaderStream, fShaderStream;
vShaderStream << vShaderFile.rdbuf();
fShaderStream << fShaderFile.rdbuf();
vShaderFile.close();
fShaderFile.close();
vertexCode = vShaderStream.str();
fragmentCode = fShaderStream.str();
}
catch (std::ifstream::failure& e)
{
std::cout << "ERROR::SHADER::FILE_NOT_SUCCESSFULLY_READ: " << e.what() << std::endl;
}
const char* vShaderCode = vertexCode.c_str();
const char* fShaderCode = fragmentCode.c_str();
unsigned int vertex, fragment;
vertex = glCreateShader(GL_VERTEX_SHADER);
glShaderSource(vertex, 1, &vShaderCode, NULL);
glCompileShader(vertex);
checkCompileErrors(vertex, "VERTEX");
fragment = glCreateShader(GL_FRAGMENT_SHADER);
glShaderSource(fragment, 1, &fShaderCode, NULL);
glCompileShader(fragment);
checkCompileErrors(fragment, "FRAGMENT");
ID = glCreateProgram();
glAttachShader(ID, vertex);
glAttachShader(ID, fragment);
glLinkProgram(ID);
checkCompileErrors(ID, "PROGRAM");
glDeleteShader(vertex);
glDeleteShader(fragment);
}
void use() const
{
glUseProgram(ID);
}
void setBool(const std::string& name, bool value) const
{
glUniform1i(glGetUniformLocation(ID, name.c_str()), (int)value);
}
void setInt(const std::string& name, int value) const
{
glUniform1i(glGetUniformLocation(ID, name.c_str()), value);
}
void setFloat(const std::string& name, float value) const
{
glUniform1f(glGetUniformLocation(ID, name.c_str()), value);
}
void setVec2(const std::string& name, const glm::vec2& value) const
{
glUniform2fv(glGetUniformLocation(ID, name.c_str()), 1, &value[0]);
}
void setVec2(const std::string& name, float x, float y) const
{
glUniform2f(glGetUniformLocation(ID, name.c_str()), x, y);
}
void setVec3(const std::string& name, const glm::vec3& value) const
{
glUniform3fv(glGetUniformLocation(ID, name.c_str()), 1, &value[0]);
}
void setVec3(const std::string& name, float x, float y, float z) const
{
glUniform3f(glGetUniformLocation(ID, name.c_str()), x, y, z);
}
void setVec4(const std::string& name, const glm::vec4& value) const
{
glUniform4fv(glGetUniformLocation(ID, name.c_str()), 1, &value[0]);
}
void setVec4(const std::string& name, float x, float y, float z, float w) const
{
glUniform4f(glGetUniformLocation(ID, name.c_str()), x, y, z, w);
}
void setMat2(const std::string& name, const glm::mat2& mat) const
{
glUniformMatrix2fv(glGetUniformLocation(ID, name.c_str()), 1, GL_FALSE, &mat[0][0]);
}
void setMat3(const std::string& name, const glm::mat3& mat) const
{
glUniformMatrix3fv(glGetUniformLocation(ID, name.c_str()), 1, GL_FALSE, &mat[0][0]);
}
void setMat4(const std::string& name, const glm::mat4& mat) const
{
glUniformMatrix4fv(glGetUniformLocation(ID, name.c_str()), 1, GL_FALSE, &mat[0][0]);
}
private:
void checkCompileErrors(GLuint shader, std::string type)
{
GLint success;
GLchar infoLog[1024];
if (type != "PROGRAM")
{
glGetShaderiv(shader, GL_COMPILE_STATUS, &success);
if (!success)
{
glGetShaderInfoLog(shader, 1024, NULL, infoLog);
std::cout << "ERROR::SHADER_COMPILATION_ERROR of type: " << type << "\n" << infoLog << "\n -- --------------------------------------------------- -- " << std::endl;
}
}
else
{
glGetProgramiv(shader, GL_LINK_STATUS, &success);
if (!success)
{
glGetProgramInfoLog(shader, 1024, NULL, infoLog);
std::cout << "ERROR::PROGRAM_LINKING_ERROR of type: " << type << "\n" << infoLog << "\n -- --------------------------------------------------- -- " << std::endl;
}
}
}
};
#endif
coordinate_systems.vs
#version 330 core
layout (location = 0) in vec3 aPos;
layout (location = 1) in vec2 aTexCoord;
out vec2 TexCoord;
uniform mat4 model;
uniform mat4 view;
uniform mat4 projection;
void main()
{
gl_Position = projection * view * model * vec4(aPos, 1.0f);
TexCoord = vec2(aTexCoord.x, 1.0 - aTexCoord.y);
}
coordinate_systems.fs
#version 330 core
out vec4 FragColor;
in vec2 TexCoord;
uniform sampler2D texture1;
uniform sampler2D texture2;
void main()
{
FragColor = mix(texture(texture1, TexCoord), texture(texture2, TexCoord), 0.2);
}
运行结果

3625

被折叠的 条评论
为什么被折叠?



