0 引言
在矿山生产领域,矿井水害长期以来都是威胁安全生产的重大隐患。每年因矿井水害导致的经济损失和人员伤亡数量不容忽视。随着矿产资源的深入开发,矿井水害的多样性和水文地质条件的复杂性给防治措施的实施带来了一系列难题。矿井水害是矿产开采过程中最严重的地质灾害之一,它极大地限制了矿区的长期发展。对突(透)水事故中水流扩散的规律进行研究及模拟,评估灾害风险、规划逃生路径、制定有效的防治措施具有显著的实际意义。
行业专家及学术研究人员探讨了在矿井隧道中突发性水害扩散的模拟问题,以及在此类紧急情况下最佳逃生路径的计算。武强利用SWMM(Storm Water Management Model,暴雨洪水管理模型)模型构建了一个模拟矿井巷道中突发性水害扩散的模型,并实现了定量模拟,杜沅泽[4]实现了时变网络路径规划。以上研究都是针对特定矿区,系统没有形成应用的闭环,更新数据或更换矿区需要研究人员处理,以上研究都是用二维地图展示数值模拟结果。
针对现有方法的不足,本文提出了三维空间的数据管理及拓扑创建方法,实现了三维拓扑关系的自动创建,基于SWMM的三维场景下的定量淹没模拟及时变网络的逃生路径规划,并结合物联网技术,构建了一套矿井水害智能监控与淹没仿真分析系统,系统量化模拟突水现象在矿井巷道内的扩散过程,对于确保矿工安全撤离、有效引导水流以避免灾害发生以及合理规划传感器的布局,都具有至关重要的作用。
1 系统设计
系统的设计遵循《煤矿防治水细则》、应急救援规章相关制度、信息系统安全标准等。在基础硬件层面,Web服务器和数据库服务器,用以部署矿井水害智能监控与淹没仿真分析系统及其数据库。物联网设备包括水文动态监测设备、水泵传感器和探放水视频设备,而网络设备则主要采用矿用工业环网。在基础软件层面,基于ASP.Net MVC的自研开发平台被用于构建系统,SQL Server存储数据。PostgreSQL结合PostGIS提供空间关系分析函数,SWMM作为淹没分析的核心引擎,Cesium用来显示三维空间数据和三维场景。此外,系统还集成了基于CAD和Office组件的图件、文档和表格在线浏览功能。

图1 系统总体架构图
数据库由业务数据库、三维空间数据库和水文动态监测数据库三部分组成。其中,三维空间数据库用于存储巷道、钻孔、工作面和三维模型等数据;水文动态监测数据库则存储来自水文动态监测系统和水泵自动启停设备的数据;其他数据则存储于业务数据库中。
软件功能涵盖了首页(大屏展示)、水淹模拟、水文动态监测、文档图件管理、应急救援、数据管理和系统管理等。系统的应用场景包括模拟演练、应急救援、辅助决策、大屏展示和水文动态监测等。
2 关键算法研究
2.1 巷道拓扑关系生成
在地理信息系统和地图学领域,拓扑关系扮演着至关重要的角色,它有助于定义和分析地理实体之间的空间联系。例如,煤矿巷道的拓扑关系能够清晰地展示出它们是如何相互连接的。这些巷道拓扑关系构成了淹没仿真和逃生路径算法的基础。
在本研究中,算法的执行流程如图2所示。该程序基于巷道及其节点数据,自动构建无向图G(V,E)以表示节点间的邻接关系。系统中的无向图由数据库中的记录构成,其中详细记录了每个节点的巷道ID、X、Y、Z坐标、巷道上的顺序号、邻接节点信息。对于具有多个邻接节点的情况,节点间以“-”符号分隔。在初始化阶段,程序依据用户输入的巷道节点顺序号,构建初步的无向图。例如,在A巷道中,若A1和A2节点的顺序号相邻,则在无向图中,A1节点的邻接点包括A2,A1的邻接节点包括A2。

图2 巷道三维拓扑关系创建算法流程图
随后,程序处理隐式邻接关系,将巷道数据分解为若干弧段,每个弧段由巷道上两个相邻节点及其间的直线构成,并存储于弧段表中。程序遍历所有弧段,运用PostGIS的ST_Intersection()函数进行三维空间的相交计算,以确定弧段间是否相交。若两个弧段相交,程序将返回交点坐标。若交点非巷道上的原始节点,程序将在交点处将原有弧段分割为两段并创建交点,对交点及其相邻的两个弧段端点进行邻接关系更新。若交点恰好是巷道上的一个原始节点,则直接更新该交点与相连弧段端点的邻接关系。若弧段不相交,进入到下一组弧段的相交计算直至分析完所有弧段。此过程完成后,程序将检查并删除邻接关系字段中的重复节点ID。
然而,在实际操作过程中,由于测量误差,某些本应相连的巷道可能因数据上的微小差异而未能正确连接。为解决这一问题,本研究采用PostGIS的ST_Buffer()函数,通过设定一个容差值来提高算法的鲁棒性。例如,将容差值设定为3米,使得在这个距离范围内的任何两个弧段都被视为相连。这种方法有效提升了算法的准确性与实用性。
创建拓扑关系是一个耗时的过程,本研究采用了并行计算技术,显著提升了计算的效率。
2.2 淹没仿真
矿井巷道的淹没仿真算法,刘波将导线点定义为网络图中的节点,并将巷道系统视为一个整体的连通单元。在这一过程中,水流的扩散遵循从高处向低处的自然流动规律,并在最低点汇聚。这一算法的缺点是只能定性模拟淹没的过程,对应急救援参考意义有限。本研究尝试使用流体力学的方法来解决此问题,实现更接近真实情况的定量模型。
矿井巷道和管道形态接近,尝试SWMM模型的水力模块的一维管道数值演进模型,来模拟外来水流在管道网中的流动过程,实现任意时刻管道的淹没范围、水深和流速的数值模拟。
SWMM软件提供了三种不同的模拟技术来模拟管道中的水流汇集过程[13]:第一种是恒定流模拟法,它假设水流的进入速率是恒定且连续的,这种方法适用于初步分析阶段,但无法处理水流的回流、逆流现象,以及在管道中的有压流动,同时它也不包括对管道进出口处水头损失的计算。第二种是运动波模拟法,它允许进行非恒定流的计算,但同样存在无法模拟回流、逆流和有压流动的限制,并且也不计算进出口的水头损失。第三种是动力波模拟法,它在理论上提供了最为精确的模拟结果,能够模拟包括回流、逆流、明满流在内的复杂流动情况,并且能够计算出入口的水头损失等。恒定流和运动波方法作为简化版本,提供了较快的处理速度,但在模拟精度上存在局限。相比之下,动力波方法通过求解全面的一维圣维南流量方程,更贴近实际水流在巷道中的动态行为,因此在模拟效果上表现更为优越。动力波模型的数据公式为:

在公式中,Q代表的是水流量,其单位是m3/s;A表示水流通过的横截面积,单位是m2 ;H指的是水体的深度,单位是 m;g是地球的重力加速度,单位是m/s2;Sf指的是摩擦损失的比降,这个值可以通过应用曼宁公式来计算得出。

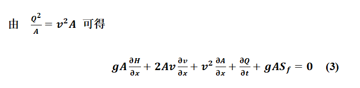
将 Q = Av代入式( 1) ,并将等式两端同乘以 Q= Av,移项可得

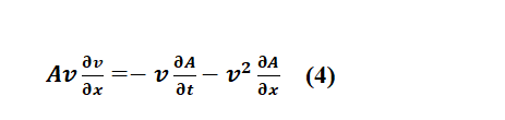
将(3) (4)两式联立可得

式( 5求) 的解还需要联立连续性方程

式中,H为节点水位或水头(m) ; Qi为通过节点的流量(m3/s) ; ω为节点处的自由水面面积(m2) 。通过结合式(4)和式(5),可以计算出在时间间隔Δt内管道的流量以及各个节点的水头高度。鉴于这些方程构成一个偏微分方程组,有限差分方法可以被用来进行求解。应用差分技术后得到的方程组,可以通过改进的欧拉方法来进一步求解。
计算结果以弧段名称、时间、水深、水流速度为一组数据,结果中包含了所有弧段,固定时间间隔的仿真数据。
2.3 逃生路径
在本研究中采用了基于时变网络的Dijkstra算法来规划逃生路径,该算法利用了2.1节生成的无向图和2.2节中的淹没仿真数据。巷道的每个弧段的权重是基于逃生时间计算得出,而逃生时间则是通过将弧段长度除以逃生速度来确定的。逃生速度和巷道水深相关,由经验公式得出,巷道中每个弧段的水深,随时间实时变化,具体的算法流程详见图3。
算法主要分为三个阶段:数据预处理、核心部分和后续处理。在数据预处理阶段,用户在三维场景中确定了起点和终点的地理坐标。由于在三维场景中获取的坐标实际上是巷道上方地表对应位置的坐标,这些坐标在直接使用时可能无法精确对应到巷道上。为了提高坐标的精确度,程序集成了空间分析算法来计算这些点在巷道上的投影坐标。此外,程序获取淹没仿真结果数据,并筛选出逃生开始时间之后的数据。基于逃生起始时间,程序选取了淹没仿真结果中最接近的一个时间点作为逃生的起始时刻。
在核心算法执行阶段,Dijkstra算法被用于计算最佳逃生路径。Dijkstra算法是一种经典的最短路径算法,其详细过程请参考图3。图中,
表示从 k到 j的通过时间。逃生的速度由经验公式得到[4],如下:

![]()
在后续处理阶段,为了在前端清晰显示计算出的路径,需要对路径进行调整,例如提升路径高度以避免与淹没分析的渲染效果冲突。此外,若路径上的节点过于稀疏,程序将执行插值处理。同时,程序还会计算出逃生的预计结束时间[21]。
特别地,当水深超过1.5米时,逃生速度将降至0.1米/秒。即便在极端情况下,水深超过人体身高,井下作业人员也必须寻找方法通过。

图3 逃生路径算法流程图
对于有一个途径点的情况,程序将问题分解为两个子问题,分别计算每一段的最短路径。若需进行多组分析,程序将采用相同的算法进行拆分和处理。
3 系统实现及应用示例
3.1 系统实现
矿井水害智能监控与淹没仿真分析系统采用BS架构,基于ASP.NET MVC框架和SQL Server数据库。前端通过BI工具和ECharts实现数据可视化,Cesium三维地球组件提供直观的矿井空间信息展示。系统后端集成PostgreSQL和PostGIS扩展,以支持复杂的空间数据分析,SWMM模型和三维拓扑关系生成算法为水害模拟及路径规划提供了精确的空间数据支持。
系统通过ETL工具自动化抽取物联网设备中的水害感知数据,构建水文动态监测数据库,并通过转码服务实现视频流数据在H5端的播放。用户录入多种空间数据并自动构建巷道拓扑结构,形成三维空间数据库,而其他业务数据则存储于业务数据库中,实现了数据的集中管理和高效查询。
系统经过需求调研、设计、开发、测试等环节于2024年华为中国合作伙伴大会期间做为华为元图生态产品正式发布。
3.1.1 三维水害模拟及逃生路径分析
突(透)水点仿真功能允许用户在巷道中指定突(透)水点,输入“突(透)水量”、 “达到稳定时间”(涌水量从0至涌水量达到稳定所用的时间)、“总水量”信息,利用SWMM模型模拟水在巷道中的蔓延过程。系统可计算48小时内巷道各部位的流量和水位,并通过颜色渲染显示水深变化。用户可通过Web端三维地图和播放器控件,观察水位变化和淹没情况。
避灾路线规划功能,用户设定起点、安全点和终点,系统结合实时突水数据,基于水位和逃生速度计算巷道通行难易程度。系统采用Dijkstra算法,快速规划最优避灾路径,并支持多组路径规划。后端计算完成后,模拟结果将在Web端三维地图上同步显示,用户可观察小人模拟逃生过程,并通过播放器控件查看任意时间点的模拟情况。
3.1.2 辅助功能及物联网感知数据显示
系统集成了水位等值线生成功能,配备了地图浏览工具。利用水文动态监测设备提供的水位和坐标数据,系统能够实时生成水位等值线图[25]。
在三维场景中,系统集成了水文动态监测、水泵、摄像头等物联网设备,实现了关键指标的实时更新。用户点击可展示详细数值和状态信息或摄像头的实时画面。此外,该场景还提供了三维模型展示,包括排水管道、钻孔和地质资料。在工作面的展示方面,系统能区分采空区和未采区。
3.1.3 数据管理
三维巷道建模系统支持用户录入巷道属性和坐标信息,自动计算标准形状巷道的截面面积,并允许手动输入非标准形状的截面面积。系统要求同时提供巷道的平面和经纬度坐标,用于分析和显示,并可通过"创建拓扑"功能创建或更新点与点之间的邻接关系。
钻孔建模功能允许用户输入关键信息,如编号、坐标和高程,以自动构建钻孔模型。
三维模型管理模块则允许用户上传和分类展示精细模型,并设置模型参数,如坐标和旋转角度。
三维工作面建模功能让用户输入工作面详细信息,并在三维地图中以颜色区分采空区和未采区。
监测设备配置功能允许用户在地图上直接拾取设备坐标。
模拟参数设置包括流体力学中的曼宁系数、时间步长和相交计算容差等关键指标,以及坐标系转换所需的设置,以确保突水分析和逃生路径分析的准确性。
3.2 应用示例
以某矿区为例,设置稳定后的突(透)水量为50 m3/h,水量从0到50 m3/h,经过60分钟,此后一直稳定在50 m3/h,总水量为10000 m3,即突(透)水的总水量为10000 m3。突(透)水点设置在矿井东北方向的巷道,点击“分析”按钮。图4直观展示了突水事件发生后的六个关键时间节点(8小时、16小时、24小时、32小时、40小时和48小时)的水流蔓延状况。具体来看,在突水后的8小时内,突(透)水点周边区域迅速被水淹没,观测到的最大水深达到了1.2 m。16小时,淹没区域有所扩展,此时记录的最大水深为1.83 m。24小时后,水淹范围进一步扩散,最大水深记录为2.37 m。32小时,突(透)水点以北的一段巷道已被水覆盖,最大水深接近3 m。40小时的观察显示,透水点以北的淹没区域持续扩大,同时,右侧的一段巷道也开始遭受水淹。最终,在48小时,透水点右侧的淹没区域显著扩展,透水点所在的巷道大部分已被水淹没。

图4 淹没情况
关键弧段的水深曲线见图5。分析结果的连续性误差为5%,小于15%,在误差允许范围内。

图5 关键弧段水深曲线图
逃生路径模拟情况,13小时36分的时候开始逃生,13小时54分到达。路径避开了突水区域,见图6。

图6 逃生路径模拟情况
4 结论
(1)针对矿井水害对矿区安全生产构成的严重威胁,以及现有淹没仿真方法的不足,本研究设计并实现了矿井水害智能监控与淹没仿真分析系统。该系统融合三维拓扑创建算法、SWMM模型、时变网络路径规划算法以及物联网技术,为矿区安全生产提供了创新性的技术解决方案。系统自动构建巷道三维模型,通过定量模拟突水巷道淹没过程,并实时监测矿井水文信息,显著提升了矿区灾害预防和应急救援的能力。
(2)系统的主要功能有三维水害模拟和逃生路径分析,它能够实现突水巷道淹没过程的定量模拟,并基于实时水深数据计算出最佳逃生路径。此外,系统还能生成水位等值线图,并集成水文动态监测、水泵、摄像头等物联网设备,以实现关键指标的实时更新。系统还支持三维数据的管理、拓扑结构的创建以及模拟参数的设置,为用户提供了一个全面、直观的矿井水害监控和分析平台。
(3)通过某矿区的应用示例,验证了系统在模拟矿井突水事故和规划逃生路径方面的高效率、准确性和直观性。系统显著提升了矿区应对突发水害事件的预防和应急救援能力,为矿区灾害预防和应急救援提供了有力的技术支持。未来的研究将致力于算法的进一步优化和系统性能的提升,以实现更全面的安全监管。
1166

被折叠的 条评论
为什么被折叠?



