Contrastive Loss
background:
最直接的想法是我们假设存在一个损失函数,它满足如下的基本准则
- 近似样本之间的距离越小越好
- 不似样本之间的距离越大越好
相似样本的坐标被放的越来越远,不似样本之间的距离越来越大,但训练的目标却仿佛永远无法达到 … 这是因为训练目标没有边界。
- 所以提出了,对比损失

- 核心含义:同类的样本要更近,不同类的样本要更远
- 正样本不用管,把负样本分开就行,最小化损失函数就是最大化决策边界和负样本的距离
m。 - 近似样本之间的距离越小越好;不似样本之间的距离如果小于m,则通过互斥使其距离接近

- 正样本不用管,把负样本分开就行,最小化损失函数就是最大化决策边界和负样本的距离
如图所示,同类的点会被压缩收缩,边界区域内有不同类的点会被互斥到边界区域

论文:http://yann.lecun.com/exdb/publis/pdf/hadsell-chopra-lecun-06.pdf

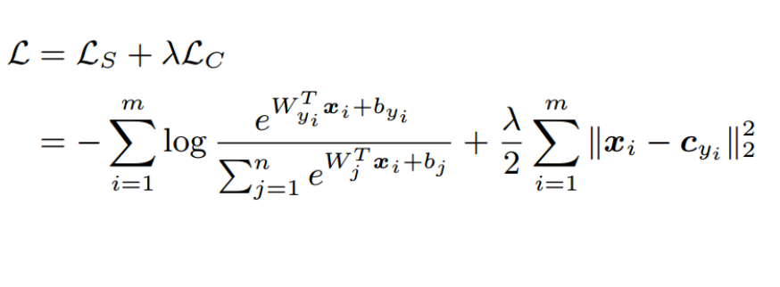
文章探讨了对比损失(ContrastiveLoss)的概念,其目标是使同类样本更近,不同类样本更远。TripletLoss是另一种损失函数,通过调整同一类样本间和不同类样本间的距离来优化模型。此外,还介绍了CenterLoss,它通过约束类别中心来增强特征判别能力,适用于人脸识别和目标检测任务。
最低0.47元/天 解锁文章
660

被折叠的 条评论
为什么被折叠?



