Pine 发自 凹非寺
量子位 | 公众号 QbitAI
不用破坏电动汽车的电池也能够检测它的健康状况。
这个方法是日本研究团队为电动汽车下一代电池:全固态锂金属电池开发出来的。
全固态锂金属电池可以提供更高的能量密度、安全性和更低的复杂性。
但同时它也有个很严重的问题:退化严重,这也是其没有推向市场的一个重要原因。
而在以往,要了解这个电池的退化原因都得剖开电池。
现在不仅不用了,而且他们还解决了全固态锂金属电池电极与电解质材料之间的接触问题,研究成果已经发表在ACS Applied Materials & Interfaces上。

具体如何?一起来看看吧。
全固态锂金属电池
在全固态锂金属电池中,很多设计的电极和电解质材料都是脆性陶瓷,这就导致它们之间很难有良好的接触。
换句话说,就是电极和固体电解质之间具有大界面电阻,这会对电池的性能产生很大的影响。
对于这个问题,研究人员提出了一种方法:气溶胶沉积。
通俗来讲,就是在陶瓷固体电解质上沉积一层阴极膜,这层膜会减小电极和固体电解质之间的电阻。
那么在这个过程中,阴极材料是如何沉积在固体电解质上的呢?
其实很简单,就是把微小的阴极材料块加速到陶瓷电解质材料上,它们之间发生撞击会形成一层致密的膜。
但在撞击的过程中,阴极材料块会不可避免地产生裂纹。
为了解决这种状况,研究人员在撞击到在陶瓷电解质的大块阴极材料上涂了一种较软的低熔点材料,这种材料可以进行热处理,从而在新形成的阴极和电解质之间产生良好的接触。

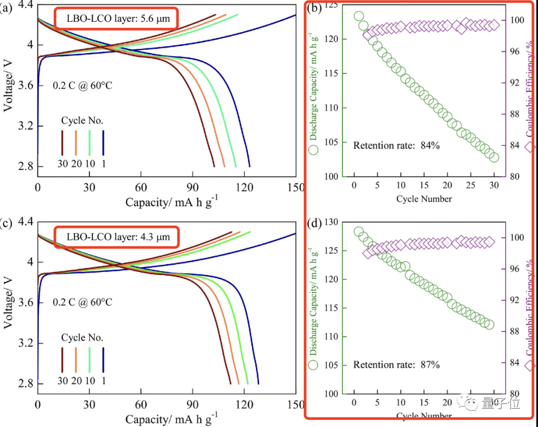
使用气溶胶沉积技术最终制备得出的全固态锂金属电池,在30次循环后,其容量保持率高达87% (膜厚度为4.3微米),这代表了陶瓷氧化物电解质全固态锂金属电池的最佳效果。

虽然这已经是同种类型电池的最佳效果了,但对于电动汽车来说还远远不够。
因此了解为什么电池容量这么快退化是解决这个问题的第一步。
对此,研究人员也开发了一种新的检测方法:电化学阻抗谱,在不破坏电池的情况下也能够检测出电池的健康状况。
用电信号来检测电池健康
电化学阻抗谱(EIS)是一种在电化学中广泛使用的检测工具。
它是通过向电池输入不同频率的电信号,观察电池各个接口的响应,以此来判断这些接口范围的电阻。
电阻变大就是电池性能下降的主要原因。
在研究人员制作出的新的全固态锂金属电池(下图)中,LBO-LCO就是固态电解质上沉积的那一层膜。

对整个电池的各个接口进行电化学阻抗谱测试,发现随着电池使用循环次数的增加,电解质上那层膜的电阻就越来越大。
这里的电阻增大,就会导致电解质与电极之间的有效接触变小,电池的性能,即容量保持率也随之降低。
也就是说,固体电解质上的膜是电池容量下降的“罪魁祸首”。

为了验证电化学阻抗谱检测电池健康的有效性,研究人员还使用原位电子显微镜验证了这一点。
在显微镜下,可以清楚地看到固体电解质上的膜出现了明显的裂纹,这会导致其电阻进一步增大。

这两种方法得出的结论一致,这也进一步证明电化学阻抗谱可以作为检测电池健康的有效方法,对于未来进一步改进固态电池的性可以提供有效的参考。
目前,这项工作已经得到了日本科学技术厅(JST)的先进低碳技术研究和开发计划(ALCA)的支持。
参考链接:
[1]https://pubs.acs.org/doi/10.1021/acsami.2c09841#
[2]https://www.eurekalert.org/news-releases/964632
23

被折叠的 条评论
为什么被折叠?



