题目:
给你 n 个非负整数 a1,a2,…,an,每个数代表坐标中的一个点 (i, ai) 。在坐标内画 n 条垂直线,垂直线 i 的两个端点分别为 (i, ai) 和 (i, 0)。找出其中的两条线,使得它们与 x 轴共同构成的容器可以容纳最多的水。
说明:你不能倾斜容器,且 n 的值至少为 2。

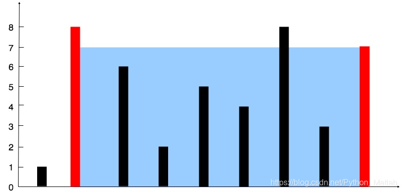
图中垂直线代表输入数组 [1,8,6,2,5,4,8,3,7]。在此情况下,容器能够容纳水(表示为蓝色部分)的最大值为 49。
示例:
输入:[1,8,6,2,5,4,8,3,7]
输出:49
分析:
- 利用双指针,盛水面积就等于两个边中的小值乘以他们之间的距离
- 如果左指针指向的值大于右边的,那么移动右指针,反之,移动左指针
- 在循环中,把大的结果保存,如果左右指针相遇,则跳出循环
代码:
class Solution:
def maxArea(self, height: List[int]) -> int:
start = 0
end = len(height) - 1
result = 0
while start < end:
res = min(height[start],height[end]) * (end - start)
result = max(result,res)
if height[start] >= height[end]:
end -= 1
else:
start += 1
return result
结果:

本文介绍了解决LeetCode上一道经典问题的方法——寻找能容纳最多水的两个线段。通过双指针技巧,逐步逼近最优解,最终实现高效算法。
1725

被折叠的 条评论
为什么被折叠?



