动态规划问题的学习思路总结
1、由斐波那契数列引入重叠子问题(斐波那契数列严格来说不是动态规划问题)
1)暴力递归
int fib(int n)
{
if( n ==1 || n == 2)
return 1;
return fib(n-1) + fib(n-2);
}
时间复杂度为:O(2^n)
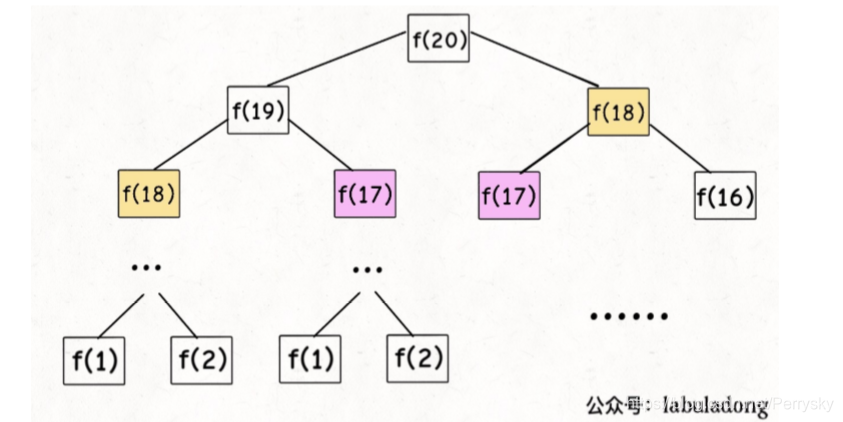
画出递归树:

分析:因为计算fib(20),就需要计算fib(19)和fib(18),计算fib(19)有需要计算fib(18)和fib(17),最后到fib(2)和fib(1)。很明显算法低效的原因是存在大量的重复计算。这就引入了动态规划问题的第一个性质:重叠子问题。
2)用带备忘录的递归解法
因为重复计算造成了效率的低下,那我们考虑定义一个备忘录,每次计算完子问题的答案后先别急着返回,而是先记录到备忘录中再返回;每次遇到一个子问题先去备忘录中查看是否已经有记录,如果发现之前已经计算过这个问题,直接把答案拿来使用即可,不用再花时间去计算。这里使用vector 数组维护备忘录。
int fib(int n)
{
if(n < 1)
return 0;
vector<int> memo(n+1, 0); //备忘录先初始化为0
return helper(memo, n); //从下标1开始使用,下标0不使用,直到下标n。共n个元素
}
int helper(vector<int> & memo, int n)
{
if(n ==1 || n ==2)
return 1;
if(memo[n] != 0) return memo[n];
memo[n] = helper(memo, n-1) + helper(memo, n-2);
return memo[n];
}
再次画出递归树:

我们可以发现,相比暴力递归,备忘录的递归对之前的递归树进行了剪枝操作,极大减少了子问题个数。

递归算法的时间复杂度:
子问题个数×解决一个子问题需要的时间,子问题个数即为图中节点的总数,即数量与输入规模成正比,所以子问题个数为O(n),解决一个子问题的时间为O(1),所以此算法的时间复杂度为O(n)。效率已经和迭代的动态规划解法一样了。此算法我们是自顶向下的分解问题规模,直到最底层的fib(1)和fib(2),然后再从下往上逐层返回答案。而自底向上则正好相反,是从最底层的fib(1)和fib(2)向上推,直到fib(20),这就是动态规划的思路。
3)用 dp 数组迭代解法
我们将解法2中的备忘录独立出来成为一张表,在这张dp表上完成自底向上的推算,即可解决问题。
int fib(int n)
{
vector<int> dp(n+1, 0); //初始化为0
dp[1] = 1;
dp[2] = 2;
for(int i=3; i<=n; ++i)
{
dp[i] = dp[i-1] + dp[i-2];
}
return dp[n];
}
因为我们计算一个状态只需要记录前两个记录即可,而不需要存储所有的状态,所以还可以进一步优化空间复杂度:
int fib(int n)
{
if(n==1 || n==2)
return 1;
int pre = 1;
int cur = 1;
int sum;
for(int i=3; i<=n; ++i)
{
sum = pre + cur;
pre = cur;
cur = sum;
}
return cur;
}
画图帮助理解:

这里引出 状态转移方程这个名词,实际上就是描述问题结构的数学形式:

很容易可以发现 状态转移方程 直接代表着暴力解法。
动态规划问题最困难的就是写出状态转移方程,即暴力解法,优化方法无非是用 备忘录或者DP table。
本文是参考labuladong公众号的文章自己记录的学习笔记,仅供大家参考和自己再次复习,有兴趣的同学可以关注公众号labuladong进一步学习。有很多优秀的文章可以学习。
本文介绍了动态规划问题的学习思路,以斐波那契数列为例子,阐述了如何通过备忘录和动态规划数组迭代解法解决重叠子问题。从暴力递归的O(2^n)复杂度,到备忘录递归的O(n)复杂度,再到迭代解法的O(n)复杂度,展示了动态规划在效率提升上的优势。同时,强调了写出状态转移方程是解决动态规划问题的关键。
1369

被折叠的 条评论
为什么被折叠?



