原文链接:https://www.cnblogs.com/jerrylead/archive/2011/04/18/2020216.html
接上篇
3.2 最小平方误差理论
假设有这样的二维样本点(红色点),回顾我们前面探讨的是求一条直线,使得样本点投影到直线上的点的方差最大。本质是求直线,那么度量直线求的好不好,不仅仅只有方差最大化的方法。再回想我们最开始学习的线性回归等,目的也是求一个线性函数使得直线能够最佳拟合样本点,那么我们能不能认为最佳的直线就是回归后的直线呢?回归时我们的最小二乘法度量的是样本点到直线的坐标轴距离。比如这个问题中,特征是x,类标签是y。回归时最小二乘法度量的是距离d。如果使用回归方法来度量最佳直线,那么就是直接在原始样本上做回归了,跟特征选择就没什么关系了。
因此,我们打算选用另外一种评价直线好坏的方法,使用点到直线的距离d’来度量。
现在有n个样本点
,每个样本点为m维(这节内容中使用的符号与上面的不太一致,需要重新理解符号的意义)。将样本点
在直线上的投影记为
,那么我们就是要最小化
这个公式称作最小平方误差(Least Squared Error)。
而确定一条直线,一般只需要确定一个点,并且确定方向即可。
第一步确定点:
假设要在空间中找一点
来代表这n个样本点,“代表”这个词不是量化的,因此要量化的话,我们就是要找一个m维的点
,使得
最小。其中
是平方错误评价函数(squared-error criterion function),假设m为n个样本点的均值:
那么平方错误可以写作:
第二步确定方向:
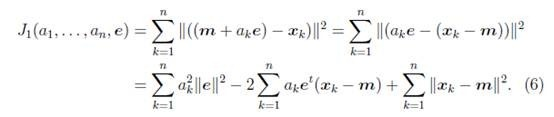
我们从
拉出要求的直线(这条直线要过点m),假设直线的方向是单位向量e。那么直线上任意一点,比如
就可以用点m和e来表示
我们重新定义最小平方误差:
这里的k只是相当于i。
就是最小平方误差函数,其中的未知参数是
和e。
这个结果意思是说,如果知道了e,那么将
与e做内积,就可以知道了
在e上的投影离m的长度距离,不过这个结果不用求都知道。
其中
与协方差矩阵类似,只是缺少个分母n-1,我们称之为散列矩阵(scatter matrix)。
然后可以对e求偏导数,但是e需要首先满足
,引入拉格朗日乘子
,来使
最大(
最小),令
求偏导
这里存在对向量求导数的技巧,方法这里不多做介绍。可以去看一些关于矩阵微积分的资料,这里求导时可以将
看作是
,将
看做是
。
导数等于0时,得
两边除以n-1就变成了,对协方差矩阵求特征值向量了。
从不同的思路出发,最后得到同一个结果,对协方差矩阵求特征向量,求得后特征向量上就成为了新的坐标,如下图:
这时候点都聚集在新的坐标轴周围,因为我们使用的最小平方误差的意义就在此。
4. PCA理论意义
PCA将n个特征降维到k个,可以用来进行数据压缩,如果100维的向量最后可以用10维来表示,那么压缩率为90%。同样图像处理领域的KL变换使用PCA做图像压缩。但PCA要保证降维后,还要保证数据的特性损失最小。再看回顾一下PCA的效果。经过PCA处理后,二维数据投影到一维上可以有以下几种情况:
我们认为左图好,一方面是投影后方差最大,一方面是点到直线的距离平方和最小,而且直线过样本点的中心点。为什么右边的投影效果比较差?直觉是因为坐标轴之间相关,以至于去掉一个坐标轴,就会使得坐标点无法被单独一个坐标轴确定。
PCA得到的k个坐标轴实际上是k个特征向量,由于协方差矩阵对称,因此k个特征向量正交。看下面的计算过程。
假设我们还是用
来表示样例,m个样例,n个特征。特征向量为e,
表示第i个特征向量的第1维。那么原始样本特征方程可以用下面式子来表示:
前面两个矩阵乘积就是协方差矩阵
(除以m后),原始的样本矩阵A是第二个矩阵m*n。
我们最后得到的投影结果是
,E是k个特征向量组成的矩阵,展开如下:
得到的新的样例矩阵就是m个样例到k个特征向量的投影,也是这k个特征向量的线性组合。e之间是正交的。从矩阵乘法中可以看出,PCA所做的变换是将原始样本点(n维),投影到k个正交的坐标系中去,丢弃其他维度的信息。举个例子,假设宇宙是n维的(霍金说是11维的),我们得到银河系中每个星星的坐标(相对于银河系中心的n维向量),然而我们想用二维坐标去逼近这些样本点,假设算出来的协方差矩阵的特征向量分别是图中的水平和竖直方向,那么我们建议以银河系中心为原点的x和y坐标轴,所有的星星都投影到x和y上,得到下面的图片。然而我们丢弃了每个星星离我们的远近距离等信息。
5. 总结与讨论
这一部分来自http://www.cad.zju.edu.cn/home/chenlu/pca.htm
PCA技术的一大好处是对数据进行降维的处理。我们可以对新求出的“主元”向量的重要性进行排序,根据需要取前面最重要的部分,将后面的维数省去,可以达到降维从而简化模型或是对数据进行压缩的效果。同时最大程度的保持了原有数据的信息。
PCA技术的一个很大的优点是,它是完全无参数限制的。在PCA的计算过程中完全不需要人为的设定参数或是根据任何经验模型对计算进行干预,最后的结果只与数据相关,与用户是独立的。
但是,这一点同时也可以看作是缺点。如果用户对观测对象有一定的先验知识,掌握了数据的一些特征,却无法通过参数化等方法对处理过程进行干预,可能会得不到预期的效果,效率也不高。
图表 4:黑色点表示采样数据,排列成转盘的形状。
容易想象,该数据的主元是
或是旋转角
。
如图表 4中的例子,PCA找出的主元将是
。但是这显然不是最优和最简化的主元。
之间存在着非线性的关系。根据先验的知识可知旋转角
是最优的主元(类比极坐标)。则在这种情况下,PCA就会失效。但是,如果加入先验的知识,对数据进行某种划归,就可以将数据转化为以
为线性的空间中。这类根据先验知识对数据预先进行非线性转换的方法就成为kernel-PCA,它扩展了PCA能够处理的问题的范围,又可以结合一些先验约束,是比较流行的方法。
有时数据的分布并不是满足高斯分布。如图表 5所示,在非高斯分布的情况下,PCA方法得出的主元可能并不是最优的。在寻找主元时不能将方差作为衡量重要性的标准。要根据数据的分布情况选择合适的描述完全分布的变量,然后根据概率分布式
来计算两个向量上数据分布的相关性。等价的,保持主元间的正交假设,寻找的主元同样要使
。这一类方法被称为独立主元分解(ICA)。
图表 5:数据的分布并不满足高斯分布,呈明显的十字星状。
这种情况下,方差最大的方向并不是最优主元方向。
另外PCA还可以用于预测矩阵中缺失的元素。
6. 其他参考文献
A tutorial on Principal Components Analysis LI Smith – 2002
A Tutorial on Principal Component Analysis J Shlens
http://www.cmlab.csie.ntu.edu.tw/~cyy/learning/tutorials/PCAMissingData.pdf
http://www.cad.zju.edu.cn/home/chenlu/pca.htm
本文深入探讨了PCA(主成分分析)技术,一种强大的数据降维方法。文章详细讲解了最小平方误差理论,如何通过PCA将高维数据映射到低维空间,同时最大限度保留数据特性。并分析了PCA在不同场景下的应用与局限性。














9113

被折叠的 条评论
为什么被折叠?



