1、为什么RSA算法加解密互逆?

m=cdmod n=medmod n=mkλ(n)+1mod nmkλ(n)+1mod p=mk∗l∗(p−1)+1mod p=mk∗l∗(p−1)∗m mod p=m mod pmkλ(n)+1mod q=mk∗l∗(q−1)+1mod q=mk∗l∗(q−1)∗m mod q=m mod qmkλ(n)+1mod n=m mod pq \begin{aligned} m&=c^dmod\:n\\ &=m^{ed}mod\:n\\ &=m^{k\lambda(n)+1}mod\:n\\ \\ m^{k\lambda(n)+1}mod\:p&=m^{k*l*(p-1)+1}mod\:p\\ &=m^{k*l*(p-1)}*m\:mod\:p\\ &=m\:mod\:p\\ \\ m^{k\lambda(n)+1}mod\:q&=m^{k*l*(q-1)+1}mod\:q\\ &=m^{k*l*(q-1)}*m\:mod\:q\\ &=m\:mod\:q\\ \\ m^{k\lambda(n)+1}mod\:n&=m\:mod\>pq \end{aligned} mmkλ(n)+1modpmkλ(n)+1modqmkλ(n)+1modn=cdmodn=medmodn=mkλ(n)+1modn=mk∗l∗(p−1)+1modp=mk∗l∗(p−1)∗mmodp=mmodp=mk∗l∗(q−1)+1modq=mk∗l∗(q−1)∗mmodq=mmodq=mmodpq
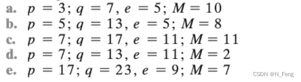
2、对下列数据实现加密和解密

a.p = 3;q = 7,e = 5; M = 10
n=pq=21ϕ(n)=(p−1)(q−1)=12e=5ed≡1mod(ϕ(n))即5d≡1mod(12) \begin{aligned} n&=pq=21\\ \phi(n)&=(p-1)(q-1)=12\\ e&=5\\ ed&\equiv1mod(\phi(n))\\ 即5d&\equiv1mod(12) \end{aligned} nϕ(n)eed即5d=pq=21=(p−1)(q−1)=12=5≡1mod(ϕ(n))≡1mod(12)
用egcd算法有
0112105−2125−215×5+(−2)×12=1解得d=5(1) \begin{matrix} 0 & 1 & 12\\ 1 & 0 & 5 \\ -2 & 1 & 2\\ 5 & -2 & 1\\ \end{matrix} \tag{1}\\ 5\times5+(-2)\times12=1\\ 解得d=5 01−25101−2125215×5+(−2)×12=1解得d=5(1)
C=Memodn=105mod21=10×104mod21=(10mod21×104mod21)mod21=(10×4)mod21=19M=Cdmodn=195mod21=19×194mod21=(19mod21×194mod21)mod21=(19mod21×(−2)4mod21)mod21=(19×16)mod21=10 \begin{aligned} C=M^emodn&=10^5mod21\\ &=10\times10^4mod21\\ &=(10mod21\times10^4mod21)mod21\\ &=(10\times4)mod21\\ &=19\\ \\ M=C^dmodn&=19^5mod21\\ &=19\times19^4mod21\\ &=(19mod21\times19^4mod21)mod21\\ &=(19mod21\times(-2)^4mod21)mod21\\ &=(19\times16)mod21\\ &=10\\ \end{aligned} C=MemodnM=Cdmodn=105mod21=10×104mod21=(10mod21×10

本文深入探讨RSA算法的原理,通过具体案例展示加密和解密过程,包括计算私钥、公钥,并解决实际的加密问题。同时,文章提供了详细计算步骤,帮助读者掌握RSA算法的应用。
最低0.47元/天 解锁文章
2974

被折叠的 条评论
为什么被折叠?



