某公司有6个建筑工地要开工,每个工地的位置(用平面坐标系a,b表示,距离单位:km)及水泥日用量d(单位:t)由下表给出。目前有两个临时料场位于A(5,1),B(2,7)。日储量各有20t。假设从料场到工地之间均有直线道路相连。

问题一:试制定每天的供应计划,即从A,B两料场分别向各工地运送多少吨水泥,使总的吨千米数最小?(吨千米数为吨乘以路线的千米数)
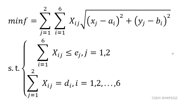
解:确定决策变量
设第i个工地的坐标为(ai,bi),水泥日用量di= 1,2....,6,料场位置(xj,yj),日储量为ej=1,2;从料场j向工地i的运送量为Xij。
解第一问因为已确定使用A和B料场,其坐标xj和yj,是已知的常数,所以决策变量只有Xij;
2、确定约束条件
• 料场水泥运输总量不超过其日储量:

两个料场向某工地运输量之和等于该工地水泥日用量:

3、确定目标函数
• 求总吨千米数最小,即运送量乘以运送距离求和:

根据1、2、3,建立模型
• 综上,可建立规划模型:

模型的建立
• 对于问题而言:决策变量𝑋𝑖𝑗,𝑋𝑖 ,𝑋𝑗,所以目标函数为非线性的,且约束条件也是非线性表示的。
为解决此问题选用lingo程序,lingo程序见下连接。
链接:https://pan.baidu.com/s/1TZn8fWUAUjHhokm7fCJHTw?pwd=rwcn
提取码:rwcn
1181

被折叠的 条评论
为什么被折叠?



