题目如下:
给你一个链表,删除链表的倒数第 n 个结点,并且返回链表的头结点。
示例 1:

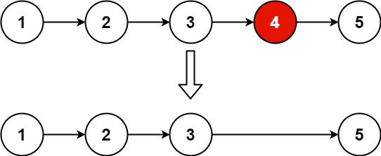
输入:head = [1,2,3,4,5], n = 2 输出:[1,2,3,5]
示例 2:
输入:head = [1], n = 1 输出:[]
示例 3:
输入:head = [1,2], n = 1 输出:[1]
提示:
- 链表中结点的数目为
sz 1 <= sz <= 300 <= Node.val <= 1001 <= n <= sz
解题思路:
关键是如何找到第倒数第n个节点的位置,采用双指针的方法,创建一个虚拟头节点定义两个指针一个fast和slow,让fast先移动n位,然后再让slow同时移动,这样就找到倒数第n位的数了,但是删除需要找到的是n的前一位,要让fast多移动一位,这样最后slow停留的就是n-1位
代码如下:
class Solution {
public:
ListNode* removeNthFromEnd(ListNode* head, int n) {
ListNode*virtualHead=new ListNode{0};
virtualHead->next=head;
ListNode*fast=virtualHead;
ListNode*slow=virtualHead;
n++;
while(n--&&fast!=NULL)
{
fast=fast->next;
}
while(fast!=NULL)
{
fast=fast->next;
slow=slow->next;
}
ListNode*temp=slow->next;
slow->next=slow->next->next;
delete temp;
return virtualHead->next;
delete virtualHead;
}
};

被折叠的 条评论
为什么被折叠?



