项目进度网络图
用来展示项目各个计划活动,持续时间,逻辑关系的图形
分类
1.单代号网络图(节点型)
用一个节点代表一项活动,箭线仅表示活动之间的逻辑关系。
工作在节点上。

2.双代号网络图(箭线型)
用一个箭线表示一项活动,活动名称写在箭线上,箭线同时表示活动间的逻辑关系。
工作在箭线上。

3.几个概念(基于双代号网络图讲解)
(1)后续工作:A的后续工作是B和C
(2)紧后工作:A的紧后工作是B
(3)前期工作:C的前期工作是A和B
(4)紧前工作:C的紧前工作是B
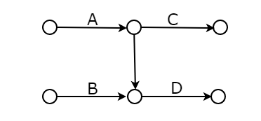
(5)虚工作:表示没有工作,不占用时间和资金,仅仅表示逻辑关机
注释:D和C之间为虚工作
要点:分辨一条线书否是需工作,看线上是否有字符


(6)关键路线:从开始到结束持续时间最长的路线
要点:关键路线决定了项目的最短工期,一般用粗线或者双线表示
(7)关键节点:关键路线上的节点
(8)关键工作:关键路线上的工作
(9)工期:
- 计算工期:根据网络图算出的工期
- 计划工期:计划工作的时间,应该大于计算工期
- 要求工期:业主方要求的工期
- 合同工期:要小于或等于业主方要求的工期
要求工期 > 合同工期 > 计划工期 > 计算工期
规律
1.双代号网络图沿着箭头方向一般是从上到下,从左到右,节点上的数字一般是从小到大,可以不连续,必须是整数
2.箭线不能是回路
学习分析

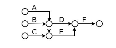
- 关键路线是1346 或者 BDF 均可
- 最短工期 5+6+5 =11天
- 工作 D 的紧前工作是 A、B (虚工作表示顺序)
- 工作 D 的紧后工作是 F、G
- 工作 A 的紧后工作室 C、D、E
八种考试图形
要求:根据图 能说出逻辑关系,根据逻辑关系可以画出图
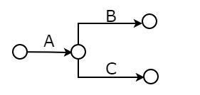
1.A完成后进行B和C

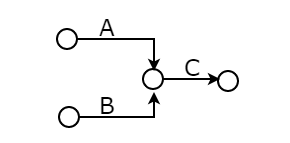
2.A、B均完成后进行C

3.A、B均完成后同时进行C和D

4.A完成后进行C
A、B均完成后进行D

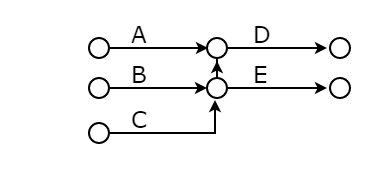
5.A、B均完成后进行D
A、B、C均完成后进行E
D、E均完成后进行F

6.A、B均完成后进行C
B、D均完成后进行E

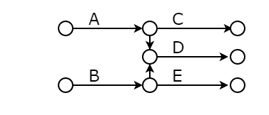
7.A、B、C均完成后进行D
B、C均完成后进行E

8.A完成后进行C
A、B均完成后进行D
B完成后及逆行E

双代号网络图讲解

讲解:

假设:工作A需要3天 ,工作B需要5天 ,那么C最早开始时间是5
分析:工作C的紧前工作是A 和 B,意思为A,B均完成后才能开始工作C
将简单图进行转化
表示方法1 日历日表示:以实际日期(一天的早上到晚上)–时间段
缺点:不容易算术
表示方法2
0 代表第一天的24:00 ; 3 代表第三天的24:00
案例讲解

重点:
总时差 :【总时差不影响总工期 】
总时差 = LS - ES = LF - EF
自由时差:最多玩多久【不影响紧后工作的最早开始时间】
自由时差= 紧后的ES - 本工作的EF
关键路线上,上下数据相等
快捷方法
1先算关键路线
2上下数据照抄
3计算非关键路线(上面从左往右,下面从右往左)
单代号网络图

本文详细介绍了项目进度管理中的网络图,包括单代号和双代号网络图的分类与特点,以及关键路线、紧前紧后工作、虚工作等基本概念。通过对案例的分析,阐述了如何计算工期、理解和识别关键路径,同时讲解了如何根据逻辑关系绘制网络图。


3万+

被折叠的 条评论
为什么被折叠?



