给你两个单链表的头节点 headA 和 headB ,请你找出并返回两个单链表相交的起始节点。如果两个链表没有交点,返回 null 。
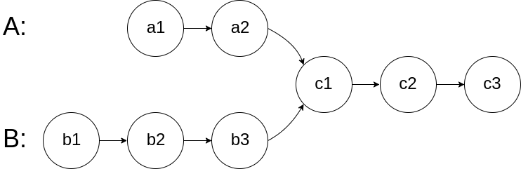
图示两个链表在节点 c1 开始相交:
题目数据 保证 整个链式结构中不存在环。
注意,函数返回结果后,链表必须 保持其原始结构 。
示例 1:
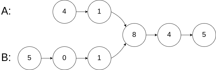
输入:intersectVal = 8, listA = [4,1,8,4,5], listB = [5,0,1,8,4,5], skipA = 2, skipB = 3 输出:Intersected at '8' 解释:相交节点的值为 8 (注意,如果两个链表相交则不能为 0)。 从各自的表头开始算起,链表 A 为 [4,1,8,4,5],链表 B 为 [5,0,1,8,4,5]。 在 A 中,相交节点前有 2 个节点;在 B 中,相交节点前有 3 个节点。
示例 2:
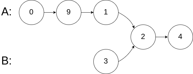
输入:intersectVal = 2, listA = [0,9,1,2,4], listB = [3,2,4], skipA = 3, skipB = 1 输出:Intersected at '2' 解释:相交节点的值为 2 (注意,如果两个链表相交则不能为 0)。 从各自的表头开始算起,链表 A 为 [0,9,1,2,4],链表 B 为 [3,2,4]。 在 A 中,相交节点前有 3 个节点;在 B 中,相交节点前有 1 个节点。
示例 3:
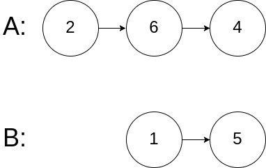
输入:intersectVal = 0, listA = [2,6,4], listB = [1,5], skipA = 3, skipB = 2 输出:null 解释:从各自的表头开始算起,链表 A 为 [2,6,4],链表 B 为 [1,5]。 由于这两个链表不相交,所以 intersectVal 必须为 0,而 skipA 和 skipB 可以是任意值。 这两个链表不相交,因此返回 null 。
提示:
listA中节点数目为mlistB中节点数目为n0 <= m, n <= 3 * 1041 <= Node.val <= 1050 <= skipA <= m0 <= skipB <= n- 如果
listA和listB没有交点,intersectVal为0 - 如果
listA和listB有交点,intersectVal == listA[skipA + 1] == listB[skipB + 1]
题目分析
这道题要求我们找出俩个链表的相交节点,这里我们需要注意,并不是值相同的节点,而是指针指向同一个节点,这题我们可以用双指针的方法来解决。
解题思路
这题的一开始我们需要判断俩个链表中是否有链表为NULL,因为只要有一个链表为NULL,俩个链表就不会有相交节点,直接返回NULL,如果没有,我们定义俩个指针分别等于俩个链表的头指针,然后开始遍历俩个链表,只有俩个指针相同时结束循环,结束循环有两种情况,一种是俩个指针移动到相同的节点,另一种就是俩个指针都等于NULL。
第一种情况:
俩个链表存在相同节点,设第一个链表出相同部分的长度为m,第二个链表除相同部分的长度为n,相同长度为s,则第一个指针在遍历完第一个链表走过的长度为m+s,然后第一个指针移动到第二个链表的头指针部分,到达相同部分走过的长度为m+n+s。则第二个指针在遍历完第二个链表走过的长度为n+s,然后第二个指针移动到第一个链表的头指针部分,到达相同部分走过的长度为m+n+s;俩个指针同时到达相同节点,指针相同,返回其中一个节点即可。
第二种情况
俩个链表不存在相同节点。则俩个指针在遍历完后互换,最后俩个指针都等于NULL,俩指针相等,返回NULL。
struct ListNode *getIntersectionNode(struct ListNode *headA, struct ListNode *headB) {
if(headA == NULL || headB == NULL) {
return NULL;
}
struct ListNode* pA = headA;
struct ListNode* pB = headB;
while(pA != pB) {
pA = pA == NULL ? headB : pA->next;
pB = pB == NULL ? headA : pB->next;
}
return pA;
}




892

被折叠的 条评论
为什么被折叠?



