给定一个链表的头节点 head ,返回链表开始入环的第一个节点。 如果链表无环,则返回 null。
如果链表中有某个节点,可以通过连续跟踪 next 指针再次到达,则链表中存在环。 为了表示给定链表中的环,评测系统内部使用整数 pos 来表示链表尾连接到链表中的位置(索引从 0 开始)。如果 pos 是 -1,则在该链表中没有环。注意:pos 不作为参数进行传递,仅仅是为了标识链表的实际情况。
不允许修改 链表。
示例 1:

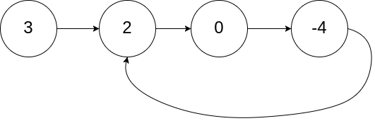
输入:head = [3,2,0,-4], pos = 1 输出:返回索引为 1 的链表节点 解释:链表中有一个环,其尾部连接到第二个节点。
示例 2:

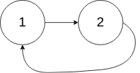
输入:head = [1,2], pos = 0 输出:返回索引为 0 的链表节点 解释:链表中有一个环,其尾部连接到第一个节点。
示例 3:

输入:head = [1], pos = -1 输出:返回 null 解释:链表中没有环。
提示:
- 链表中节点的数目范围在范围
[0, 104]内 -105 <= Node.val <= 105pos的值为-1或者链表中的一个有效索引
题目分析
这道题有俩个难点,第一个是如何判断链表是否有环,另一个难点是判断环的起始点在哪,这里我们运用简单的循环思想难以实现以上效果,可以用双指针来实现。
解题思路
首先我们创建俩个指针,均位于头节点,然后开始循环,块指针一次走俩个节点,慢指针一次走一个节点。这里第一个是判断链表里是否有环,如果链表没环,块指针肯定最先到达链表的尾部,当快指针指向NULL时直接返回NULL。如果有环,则快慢指针在环里面肯定会相遇,我们设链表环外的长度为s,从环的开始点的到俩指针的相遇点长度为m,环剩下长度为n,设在俩指针相遇之前快指针一共绕着环走了a圈,则快指针走的总长度为s+(m+n)*a+m,慢指针走的长度为s+m,因为快慢指针同时移动,所以快指针走的长度固定为慢指针的二倍,罗列算式s+(m+n)*a+m = 2(s+m),解得s = n + (a-1)(m+n),此时我们另外定义一个指针,也是从头节点出发,因为此时慢指针位于俩指针相遇处,在环内一共走了m,指针ptr和slow同时开始动,当ptr走到环入口处时,slow指针也走了s长度,加上他原来走的,慢指针也走到环入口处,俩指针相遇,直接返回ptr,得到本题答案。
struct ListNode *detectCycle(struct ListNode *head) {
struct ListNode *slow = head,*fast = head;
while(fast) {
slow =slow->next;
if(fast->next == NULL) {
return NULL;
}
fast = fast->next->next;
if(fast == slow) {
struct ListNode* ptr = head;
while (ptr != slow) {
ptr = ptr->next;
slow = slow->next;
}
return ptr;
}
}
return NULL;
}
1412

被折叠的 条评论
为什么被折叠?



