机器学习日记(6)
神经网络的学习(Neural Networks: Learning)
代价函数(Cost Function)
首先引入一些便于稍后讨论的新标记方法:
假设神经网络的训练样本有𝑚个,每个包含一组输入𝑥和一组输出信号𝑦,𝐿表示神经网络层数,𝑆𝐼表示每层的 neuron 个数(𝑆l表示输出层神经元个数),𝑆𝐿代表最后一层中处理单元的个数。
将神经网络的分类定义为两种情况:二类分类和多类分类,
二类分类:𝑆𝐿 = 0, 𝑦 = 0 𝑜𝑟 1表示哪一类;
𝐾类分类:𝑆𝐿 = 𝑘, 𝑦𝑖 = 1表示分到第 i 类;(𝑘 > 2)

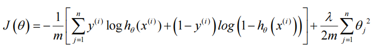
我们回顾逻辑回归问题中我们的代价函数为:

在逻辑回归中,我们只有一个输出变量,又称标量(scalar),也只有一个因变量𝑦,但是在神经网络中,我们可以有很多输出变量,我们的ℎ𝜃(𝑥)是一个维度为𝐾的向量,并且我们训练集中的因变量也是同样维度的一个向量,因此我们的代价函数会比逻辑回归更加复杂一
些,为: ℎ𝜃(𝑥) ∈ ℝ𝐾 ,(ℎ𝜃(𝑥))𝑖= 𝑖𝑡ℎoutput

本文是机器学习日记的第六篇,主要介绍了神经网络的学习过程,包括代价函数的定义,反向传播算法的原理,梯度检验的重要性,以及随机初始化参数的意义。在神经网络中,代价函数更为复杂,反向传播用于计算各层误差并更新权重,梯度检验则用于验证计算的准确性,随机初始化避免了所有神经元初始状态相同的问题。
最低0.47元/天 解锁文章
1873

被折叠的 条评论
为什么被折叠?



