✅作者简介:热爱科研的Matlab仿真开发者,擅长数据处理、建模仿真、程序设计、完整代码获取、论文复现及科研仿真。
🍎 往期回顾关注个人主页:Matlab科研工作室
🍊个人信条:格物致知,完整Matlab代码获取及仿真咨询内容私信。
🔥 内容介绍
一、开篇:为什么需要扰动观测者控制器增强四旋翼无人机控制?
在航拍测绘、电力巡检、应急救援、物流配送等场景中,四旋翼无人机因机动性强、操作灵活的优势被广泛应用,但实际飞行环境中存在大量不确定性干扰——如阵风、湍流等外部扰动,以及电机特性漂移、负载变化等内部扰动,这些扰动会严重影响无人机的姿态稳定与轨迹跟踪精度,甚至导致飞行失控。
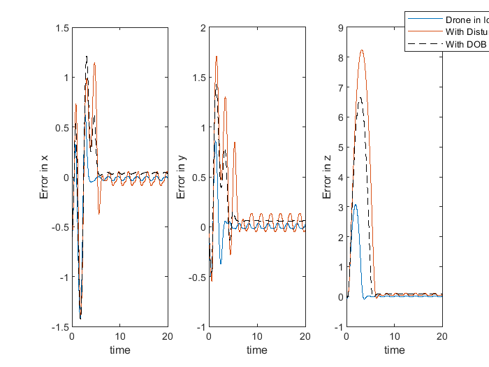
传统PID控制器虽结构简单、易于实现,但对复杂扰动的适应能力较弱,难以精准补偿扰动带来的控制偏差;而基于扰动的观测者控制器通过“扰动估计+补偿控制”的双闭环逻辑,能实时观测并量化内外扰动,将扰动补偿量融入控制律,从根源上削弱扰动对系统的影响。其核心优势在于:无需精确的无人机动力学模型,对参数摄动和外部干扰具有强鲁棒性,可显著提升四旋翼无人机在复杂环境下的控制稳定性与轨迹跟踪精度。核心逻辑是:通过观测者实时估计总扰动,控制器在跟踪期望指令的同时,输出补偿信号抵消扰动影响,实现“精准跟踪+抗扰稳定”的双重控制目标。
二、核心拆解:基于扰动观测者控制器的四旋翼无人机控制5个关键实现步骤
(一)第一步:四旋翼无人机动力学建模与控制需求分析
建模与需求分析是控制方案设计的基础,需明确四旋翼无人机的动力学特性、扰动来源及核心控制目标,避免因模型简化过度或需求模糊导致控制方案失效。这一步相当于“绘制无人机控制的问题蓝图”,清晰界定系统输入输出、扰动边界与性能指标。
具体内容包括三部分:一是动力学建模,基于刚体运动学和牛顿-欧拉方程,建立四旋翼无人机的简化动力学模型,明确姿态(滚转、俯仰、偏航)和位置(x、y、z轴)的运动方程,重点保留重力项、惯性项及扰动项(将内外扰动汇总为总扰动项融入模型);二是扰动源梳理,明确主要扰动类型——外部扰动(阵风风速、湍流强度)、内部扰动(电机转速波动、电池电压变化、负载变化范围),并量化扰动幅值与频率范围;三是控制需求与性能指标确定,核心控制目标为“姿态稳定控制”和“轨迹精准跟踪”,性能指标包括:姿态角跟踪误差≤±2°、位置跟踪误差≤±0.5m、抗扰响应时间≤0.5s,以及在预设扰动(如3m/s阵风)下的稳定裕度。
(二)第二步:扰动观测者设计与参数整定——核心抗扰模块构建
扰动观测者是实现抗扰控制的核心模块,其设计质量直接决定扰动估计的精度与实时性;参数整定需平衡观测精度与系统稳定性,避免观测滞后或振荡。这一步相当于“打造精准的扰动‘探测器’”,确保能实时捕捉并量化各类扰动。
具体操作流程:一是观测者类型选择与结构设计,常用滑模观测器(SMO)、扩张状态观测器(ESO)或线性扰动观测器(LDO)——其中ESO无需精确模型,对非线性扰动适应性强,是四旋翼无人机的优选方案;基于动力学模型中的总扰动项,设计ESO的扩张状态方程,将总扰动视为新增状态变量,通过非线性反馈律实现状态与扰动的同步观测;二是观测器参数整定,核心参数包括观测增益、非线性增益,通过仿真调试确定:增益过大会导致观测信号振荡,过小则观测滞后,需确保在扰动频率范围内,观测误差≤5%;三是观测器收敛性验证,通过Lyapunov稳定性分析证明观测误差的指数收敛性,确保在有限时间内观测值逼近真实扰动。
(三)第三步:控制器设计与扰动补偿融合——双闭环控制构建
控制器设计需结合扰动补偿实现双闭环控制(姿态环+位置环),核心是将观测器输出的扰动补偿量合理融入控制律,实现“跟踪指令+抵消扰动”的协同控制。这一步相当于“搭建控制核心中枢”,确保无人机在跟踪期望轨迹的同时,能实时抵御扰动影响。
具体设计逻辑:一是双闭环控制器结构设计,采用“位置外环+姿态内环”的分层控制架构——位置环接收期望位置指令,输出期望姿态角(滚转、俯仰)和高度控制量;姿态环接收期望姿态角,输出电机控制信号(四个电机的转速指令);二是控制律设计与扰动补偿融合,在位置环和姿态环中分别融入对应的扰动补偿量:例如姿态环控制律=比例-积分-微分(PID)控制项+扰动补偿项,其中扰动补偿项为观测器估计的姿态通道扰动负值,通过前馈补偿抵消扰动对姿态的影响;三是控制器参数整定,先整定内环姿态控制器参数(确保姿态响应快速稳定),再整定外环位置控制器参数(保证轨迹跟踪精准),通过迭代调试使系统满足预设性能指标。
四、闭环控制系统构建与硬件在环仿真验证
(四)第四步:闭环控制系统构建与硬件在环仿真验证
闭环控制系统构建需完成“软件算法+硬件平台”的集成,通过硬件在环(HIL)仿真验证系统的抗扰性能与稳定性,避免直接实飞测试的风险。这一步相当于“系统集成与虚拟测试”,确保控制方案在接近真实的环境中具备可行性。
(五)第五步:实飞测试与控制性能优化——落地实际应用
实飞测试是验证控制方案实际效果的关键环节,需在不同扰动场景下测试系统性能,并根据测试结果优化参数,确保方案能满足实际应用需求。这一步是连接仿真验证与实际部署的核心桥梁,避免“仿真最优”但“实飞失效”的问题。
具体实现流程:一是实飞测试场景设计,涵盖无扰动平稳飞行、阵风扰动飞行(通过风机模拟3-5m/s阵风)、负载变化飞行(增减5%-10%负载)、复杂轨迹跟踪(如矩形、圆形轨迹)等典型场景;二是测试数据采集与分析,通过无人机飞控系统采集姿态角、位置、电机转速、扰动估计值等数据,计算轨迹跟踪误差、姿态稳定时间、抗扰恢复时间等指标,评估系统性能;三是控制性能优化,针对测试中发现的问题(如轨迹超调、抗扰滞后),微调观测器增益和控制器参数,或优化扰动补偿策略(如加入自适应补偿项);四是最终性能验证,在所有测试场景下重复测试,确保系统满足预设性能指标,且飞行稳定、无失控风险,即可完成控制方案的落地部署。
⛳️ 运行结果



📣 部分代码
clear;
clc;
% skew-symmetric operator
ssmat = @(x) [0 -x(3) x(2); x(3) 0 -x(1); -x(2) x(1) 0];
% inverse of skew-symmetric operator
vmap = @(x) [-x(2,3) x(1,3) -x(1,2)]';
% Vehicle properties
m = 4.34;
J = diag([0.0820, 0.0845, 0.1377]);
% Misc things
e1 = [1 0 0]';
e2 = [0 1 0]';
e3 = [0 0 1]';
g = 9.8;
% Initial conditions
x = [0 0 0]';
v = [0 0 0]';
R = eul2rotm([0 pi-0.01 0]);
omega = [0 0 0]';
Rd = zeros(3);
Rd_prev = zeros(3);
% Setpoint
xd = [0 0 10]';
vd = [0 0 0]';
b1d = [1 0 0]';
% Controller gains
kx = 10;
kv = 10;
kR = 10;
komega = 10;
% Main loop
dt = 0.001;
end_time = 10;
xlist = [];
ylist = [];
zlist = [];
🔗 参考文献
🎈 部分理论引用网络文献,若有侵权联系博主删除
👇 关注我领取海量matlab电子书和数学建模资料
🏆团队擅长辅导定制多种科研领域MATLAB仿真,助力科研梦:
🌟 各类智能优化算法改进及应用
生产调度、经济调度、装配线调度、充电优化、车间调度、发车优化、水库调度、三维装箱、物流选址、货位优化、公交排班优化、充电桩布局优化、车间布局优化、集装箱船配载优化、水泵组合优化、解医疗资源分配优化、设施布局优化、可视域基站和无人机选址优化、背包问题、 风电场布局、时隙分配优化、 最佳分布式发电单元分配、多阶段管道维修、 工厂-中心-需求点三级选址问题、 应急生活物质配送中心选址、 基站选址、 道路灯柱布置、 枢纽节点部署、 输电线路台风监测装置、 集装箱调度、 机组优化、 投资优化组合、云服务器组合优化、 天线线性阵列分布优化、CVRP问题、VRPPD问题、多中心VRP问题、多层网络的VRP问题、多中心多车型的VRP问题、 动态VRP问题、双层车辆路径规划(2E-VRP)、充电车辆路径规划(EVRP)、油电混合车辆路径规划、混合流水车间问题、 订单拆分调度问题、 公交车的调度排班优化问题、航班摆渡车辆调度问题、选址路径规划问题、港口调度、港口岸桥调度、停机位分配、机场航班调度、泄漏源定位、冷链、时间窗、多车场等、选址优化、港口岸桥调度优化、交通阻抗、重分配、停机位分配、机场航班调度、通信上传下载分配优化
🌟 机器学习和深度学习时序、回归、分类、聚类和降维
2.1 bp时序、回归预测和分类
2.2 ENS声神经网络时序、回归预测和分类
2.3 SVM/CNN-SVM/LSSVM/RVM支持向量机系列时序、回归预测和分类
2.4 CNN|TCN|GCN卷积神经网络系列时序、回归预测和分类
2.5 ELM/KELM/RELM/DELM极限学习机系列时序、回归预测和分类
2.6 GRU/Bi-GRU/CNN-GRU/CNN-BiGRU门控神经网络时序、回归预测和分类
2.7 ELMAN递归神经网络时序、回归\预测和分类
2.8 LSTM/BiLSTM/CNN-LSTM/CNN-BiLSTM/长短记忆神经网络系列时序、回归预测和分类
2.9 RBF径向基神经网络时序、回归预测和分类
2.10 DBN深度置信网络时序、回归预测和分类
2.11 FNN模糊神经网络时序、回归预测
2.12 RF随机森林时序、回归预测和分类
2.13 BLS宽度学习时序、回归预测和分类
2.14 PNN脉冲神经网络分类
2.15 模糊小波神经网络预测和分类
2.16 时序、回归预测和分类
2.17 时序、回归预测预测和分类
2.18 XGBOOST集成学习时序、回归预测预测和分类
2.19 Transform各类组合时序、回归预测预测和分类
方向涵盖风电预测、光伏预测、电池寿命预测、辐射源识别、交通流预测、负荷预测、股价预测、PM2.5浓度预测、电池健康状态预测、用电量预测、水体光学参数反演、NLOS信号识别、地铁停车精准预测、变压器故障诊断
🌟图像处理方面
图像识别、图像分割、图像检测、图像隐藏、图像配准、图像拼接、图像融合、图像增强、图像压缩感知
🌟 路径规划方面
旅行商问题(TSP)、车辆路径问题(VRP、MVRP、CVRP、VRPTW等)、无人机三维路径规划、无人机协同、无人机编队、机器人路径规划、栅格地图路径规划、多式联运运输问题、 充电车辆路径规划(EVRP)、 双层车辆路径规划(2E-VRP)、 油电混合车辆路径规划、 船舶航迹规划、 全路径规划规划、 仓储巡逻、公交车时间调度、水库调度优化、多式联运优化
🌟 无人机应用方面
无人机路径规划、无人机控制、无人机编队、无人机协同、无人机任务分配、无人机安全通信轨迹在线优化、车辆协同无人机路径规划、
🌟 通信方面
传感器部署优化、通信协议优化、路由优化、目标定位优化、Dv-Hop定位优化、Leach协议优化、WSN覆盖优化、组播优化、RSSI定位优化、水声通信、通信上传下载分配
🌟 信号处理方面
信号识别、信号加密、信号去噪、信号增强、雷达信号处理、信号水印嵌入提取、肌电信号、脑电信号、信号配时优化、心电信号、DOA估计、编码译码、变分模态分解、管道泄漏、滤波器、数字信号处理+传输+分析+去噪、数字信号调制、误码率、信号估计、DTMF、信号检测
🌟电力系统方面
微电网优化、无功优化、配电网重构、储能配置、有序充电、MPPT优化、家庭用电、电/冷/热负荷预测、电力设备故障诊断、电池管理系统(BMS)SOC/SOH估算(粒子滤波/卡尔曼滤波)、 多目标优化在电力系统调度中的应用、光伏MPPT控制算法改进(扰动观察法/电导增量法)、电动汽车充放电优化、微电网日前日内优化、储能优化、家庭用电优化、供应链优化\智能电网分布式能源经济优化调度,虚拟电厂,能源消纳,风光出力,控制策略,多目标优化,博弈能源调度,鲁棒优化
电力系统核心问题经济调度:机组组合、最优潮流、安全约束优化。新能源消纳:风光储协同规划、弃风弃光率量化、爬坡速率约束建模多能耦合系统:电-气-热联合调度、P2G与储能容量配置新型电力系统关键技术灵活性资源:虚拟电厂、需求响应、V2G车网互动、分布式储能优化稳定与控制:惯量支撑策略、低频振荡抑制、黑启动预案设计低碳转型:碳捕集电厂建模、绿氢制备经济性分析、LCOE度电成本核算风光出力预测:LSTM/Transformer时序预测、预测误差场景生成(GAN/蒙特卡洛)不确定性优化:鲁棒优化、随机规划、机会约束建模能源流分析、PSASP复杂电网建模,经济调度,算法优化改进,模型优化,潮流分析,鲁棒优化,创新点,文献复现微电网配电网规划,运行调度,综合能源,混合储能容量配置,平抑风电波动,多目标优化,静态交通流量分配,阶梯碳交易,分段线性化,光伏混合储能VSG并网运行,构网型变流器, 虚拟同步机等包括混合储能HESS:蓄电池+超级电容器,电压补偿,削峰填谷,一次调频,功率指令跟随,光伏储能参与一次调频,功率平抑,直流母线电压控制;MPPT最大功率跟踪控制,构网型储能,光伏,微电网调度优化,新能源,虚拟同同步机,VSG并网,小信号模型
🌟 元胞自动机方面
交通流 人群疏散 病毒扩散 晶体生长 金属腐蚀
🌟 雷达方面
卡尔曼滤波跟踪、航迹关联、航迹融合、SOC估计、阵列优化、NLOS识别
🌟 车间调度
零等待流水车间调度问题NWFSP 、 置换流水车间调度问题PFSP、 混合流水车间调度问题HFSP 、零空闲流水车间调度问题NIFSP、分布式置换流水车间调度问题 DPFSP、阻塞流水车间调度问题BFSP
👇
1565

被折叠的 条评论
为什么被折叠?



