1 原理
几何矩是由Hu(Visual pattern recognition by moment invariants)在1962年提出的,具有平移、旋转和尺度不变性。 定义如下:
① (p+q)阶不变矩定义:

② 对于数字图像,离散化,定义为:

③ 归一化中心矩定义:

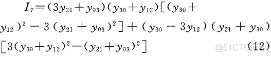
④Hu矩定义


2 代码
function varargout = daunxujian1(varargin)
% DAUNXUJIAN1 MATLAB code for daunxujian1.fig
% DAUNXUJIAN1, by itself, creates a new DAUNXUJIAN1 or raises the existing
% singleton*.
%
% H = DAUNXUJIAN1 returns the handle to a new DAUNXUJIAN1 or the handle to
% the existing singleton*.
%
% DAUNXUJIAN1('CALLBACK',hObject,eventData,handles,...) calls the local
% function named CALLBACK in DAUNXUJIAN1.M with the given input arguments.
%
% DAUNXUJIAN1('Property','Value',...) creates a new DAUNXUJIAN1 or raises the
% existing singleton*. Starting from the left, property value pairs are
% applied to the GUI before daunxujian1_OpeningFcn gets called. An
% unrecognized property name or invalid value makes property application
% stop. All inputs are passed to daunxujian1_OpeningFcn via varargin.
%
% *See GUI Options on GUIDE's Tools menu. Choose "GUI allows only one
% instance to run (singleton)".
%
% See also: GUIDE, GUIDATA, GUIHANDLES
% Edit the above text to modify the response to help daunxujian1
% Last Modified by GUIDE v2.5 23-Oct-2020 21:52:34
% Begin initialization code - DO NOT EDIT
gui_Singleton = 1;
gui_State = struct('gui_Name', mfilename, ...
'gui_Singleton', gui_Singleton, ...
'gui_OpeningFcn', @daunxujian1_OpeningFcn, ...
'gui_OutputFcn', @daunxujian1_OutputFcn, ...
'gui_LayoutFcn', [] , ...
'gui_Callback', []);
if nargin && ischar(varargin{1})
gui_State.gui_Callback = str2func(varargin{1});
end
if nargout
[varargout{1:nargout}] = gui_mainfcn(gui_State, varargin{:});
else
gui_mainfcn(gui_State, varargin{:});
end
% End initialization code - DO NOT EDIT
% --- Executes just before daunxujian1 is made visible.
function daunxujian1_OpeningFcn(hObject, eventdata, handles, varargin)
% This function has no output args, see OutputFcn.
% hObject handle to figure
% eventdata reserved - to be defined in a future version of MATLAB
% handles structure with handles and user data (see GUIDATA)
% varargin command line arguments to daunxujian1 (see VARARGIN)
% Choose default command line output for daunxujian1
handles.output = hObject;
handles.Result = [];
handles.File = [];
% Update handles structure
guidata(hObject, handles);
clc; warning off all;
InitAxes(handles);
% UIWAIT makes daunxujian1 wait for user response (see UIRESUME)
% uiwait(handles.figure1);
% --- Outputs from this function are returned to the command line.
function varargout = daunxujian1_OutputFcn(hObject, eventdata, handles)
% varargout cell array for returning output args (see VARARGOUT);
% hObject handle to figure
% eventdata reserved - to be defined in a future version of MATLAB
% handles structure with handles and user data (see GUIDATA)
% Get default command line output from handles structure
varargout{1} = handles.output;
% --- Executes on button press in pushbutton1.
function pushbutton1_Callback(hObject, eventdata, handles)
% hObject handle to pushbutton1 (see GCBO)
% eventdata reserved - to be defined in a future version of MATLAB
% handles structure with handles and user data (see GUIDATA)
[filename, pathname] = uigetfile({'*.jpg;*.tif;*.png;*.gif','All Image Files';...
'*.*','All Files' },'载入图像',...
fullfile(pwd, 'images'));
I = imread(fullfile(pathname, filename));
Result = Process_Main(I);
handles.File = fullfile(pathname, filename);
handles.Result = Result;
guidata(hObject, handles);
InitAxes(handles)
axes(handles.axes1); imshow(handles.Result.Image); title('原图像');
% --- Executes on button press in pushbutton2.
function pushbutton2_Callback(hObject, eventdata, handles)
% hObject handle to pushbutton2 (see GCBO)
% eventdata reserved - to be defined in a future version of MATLAB
% handles structure with handles and user data (see GUIDATA)
if ~isempty(handles.Result)
axes(handles.axes1); imshow(handles.Result.Image); title('原图像');
axes(handles.axes2); imshow(handles.Result.Medfilt); title('中值滤波图像');
end
% --- Executes on button press in pushbutton3.
function pushbutton3_Callback(hObject, eventdata, handles)
% hObject handle to pushbutton3 (see GCBO)
% eventdata reserved - to be defined in a future version of MATLAB
% handles structure with handles and user data (see GUIDATA)
if ~isempty(handles.Result)
axes(handles.axes1); imshow(handles.Result.Image); title('原图像');
axes(handles.axes2); imshow(handles.Result.Medfilt); title('中值滤波图像');
axes(handles.axes3); imshow(handles.Result.Normalize); title('归一化图像');
end
% --- Executes on button press in pushbutton4.
function pushbutton4_Callback(hObject, eventdata, handles)
% hObject handle to pushbutton4 (see GCBO)
% eventdata reserved - to be defined in a future version of MATLAB
% handles structure with handles and user data (see GUIDATA)
if ~isempty(handles.Result)
axes(handles.axes1); imshow(handles.Result.Image); title('原图像');
axes(handles.axes2); imshow(handles.Result.Medfilt); title('中值滤波图像');
axes(handles.axes3); imshow(handles.Result.Normalize); title('归一化图像');
axes(handles.axes4); imshow(handles.Result.Bww); title('二值化图像');
end
% --- Executes on button press in pushbutton6.
function pushbutton6_Callback(hObject, eventdata, handles)
% hObject handle to pushbutton6 (see GCBO)
% eventdata reserved - to be defined in a future version of MATLAB
% handles structure with handles and user data (see GUIDATA)
if ~isempty(handles.Result)
axes(handles.axes1); imshow(handles.Result.Image); title('原图像');
axes(handles.axes2); imshow(handles.Result.Medfilt); title('中值滤波图像');
axes(handles.axes3); imshow(handles.Result.Normalize); title('归一化图像');
axes(handles.axes4); imshow(handles.Result.Bww); title('二值化图像');
axes(handles.axes6); imshow(handles.Result.Thin); title('细化处理');
axes(handles.axes5); imshow(handles.Result.Bw); title('特征提取');
hold on;
h = [];
for i = 1 : length(handles.Result.hs) %绘制水平线
h = [h plot([1 handles.Result.sz(2)], [handles.Result.hs(i) handles.Result.hs(i)], 'r-')];
end
for i = 1 : length(handles.Result.vs)%绘制竖直线
h = [h plot([handles.Result.vs(i) handles.Result.vs(i)], [1 handles.Result.sz(1)], 'g-')];
end
h = [h plot(handles.Result.x1, handles.Result.y1, 'y-')];%绘制左对角线
h = [h plot(handles.Result.x2, handles.Result.y2, 'm-')];%绘制右对角线
end
% --- Executes on button press in pushbutton7.
function pushbutton7_Callback(hObject, eventdata, handles)
% hObject handle to pushbutton7 (see GCBO)
% eventdata reserved - to be defined in a future version of MATLAB
% handles structure with handles and user data (see GUIDATA)
[filename, pathname] = uiputfile({'*.jpg;*.tif;*.png;*.gif','All Image Files';...
'*.*','All Files' },'Save Image',...
fullfile(pwd, 'Result/result.png'));
if ~isequal(filename, 0)
imwrite(handles.Result.label, fullfile(pathname, filename));
msgbox('保存图像成功!', '信息提示框');
end
% --- Executes on button press in pushbutton9.
function pushbutton9_Callback(hObject, eventdata, handles)
% hObject handle to pushbutton9 (see GCBO)
% eventdata reserved - to be defined in a future version of MATLAB
% handles structure with handles and user data (see GUIDATA)
choice = questdlg('确定退出?', ...
'退出', ...
'是','否','否');
switch choice
case '是'
close;
otherwise
return;
end
function edit1_Callback(hObject, eventdata, handles)
% hObject handle to edit1 (see GCBO)
% eventdata reserved - to be defined in a future version of MATLAB
% handles structure with handles and user data (see GUIDATA)
% Hints: get(hObject,'String') returns contents of edit1 as text
% str2double(get(hObject,'String')) returns contents of edit1 as a double
% --- Executes during object creation, after setting all properties.
function edit1_CreateFcn(hObject, eventdata, handles)
% hObject handle to edit1 (see GCBO)
% eventdata reserved - to be defined in a future version of MATLAB
% handles empty - handles not created until after all CreateFcns called
% Hint: edit controls usually have a white background on Windows.
% See ISPC and COMPUTER.
if ispc && isequal(get(hObject,'BackgroundColor'), get(0,'defaultUicontrolBackgroundColor'))
set(hObject,'BackgroundColor','white');
end
% --- Executes on button press in pushbutton8.
function pushbutton8_Callback(hObject, eventdata, handles)
% hObject handle to pushbutton8 (see GCBO)
% eventdata reserved - to be defined in a future version of MATLAB
% handles structure with handles and user data (see GUIDATA)
set(handles.edit1,'string',handles.Result.label);
% --- Executes on button press in pushbutton10.
function pushbutton10_Callback(hObject, eventdata, handles)
% hObject handle to pushbutton10 (see GCBO)
% eventdata reserved - to be defined in a future version of MATLAB
% handles structure with handles and user data (see GUIDATA)
if ~isempty(handles.Result)
axes(handles.axes1); imshow(handles.Result.Image); title('原图像');
axes(handles.axes2); imshow(handles.Result.Medfilt); title('中值滤波图像');
axes(handles.axes3); imshow(handles.Result.Normalize); title('归一化图像');
axes(handles.axes4); imshow(handles.Result.Bww); title('二值化图像');
axes(handles.axes6); imshow(handles.Result.Thin); title('细化处理');
end- 1.
- 2.
- 3.
- 4.
- 5.
- 6.
- 7.
- 8.
- 9.
- 10.
- 11.
- 12.
- 13.
- 14.
- 15.
- 16.
- 17.
- 18.
- 19.
- 20.
- 21.
- 22.
- 23.
- 24.
- 25.
- 26.
- 27.
- 28.
- 29.
- 30.
- 31.
- 32.
- 33.
- 34.
- 35.
- 36.
- 37.
- 38.
- 39.
- 40.
- 41.
- 42.
- 43.
- 44.
- 45.
- 46.
- 47.
- 48.
- 49.
- 50.
- 51.
- 52.
- 53.
- 54.
- 55.
- 56.
- 57.
- 58.
- 59.
- 60.
- 61.
- 62.
- 63.
- 64.
- 65.
- 66.
- 67.
- 68.
- 69.
- 70.
- 71.
- 72.
- 73.
- 74.
- 75.
- 76.
- 77.
- 78.
- 79.
- 80.
- 81.
- 82.
- 83.
- 84.
- 85.
- 86.
- 87.
- 88.
- 89.
- 90.
- 91.
- 92.
- 93.
- 94.
- 95.
- 96.
- 97.
- 98.
- 99.
- 100.
- 101.
- 102.
- 103.
- 104.
- 105.
- 106.
- 107.
- 108.
- 109.
- 110.
- 111.
- 112.
- 113.
- 114.
- 115.
- 116.
- 117.
- 118.
- 119.
- 120.
- 121.
- 122.
- 123.
- 124.
- 125.
- 126.
- 127.
- 128.
- 129.
- 130.
- 131.
- 132.
- 133.
- 134.
- 135.
- 136.
- 137.
- 138.
- 139.
- 140.
- 141.
- 142.
- 143.
- 144.
- 145.
- 146.
- 147.
- 148.
- 149.
- 150.
- 151.
- 152.
- 153.
- 154.
- 155.
- 156.
- 157.
- 158.
- 159.
- 160.
- 161.
- 162.
- 163.
- 164.
- 165.
- 166.
- 167.
- 168.
- 169.
- 170.
- 171.
- 172.
- 173.
- 174.
- 175.
- 176.
- 177.
- 178.
- 179.
- 180.
- 181.
- 182.
- 183.
- 184.
- 185.
- 186.
- 187.
- 188.
- 189.
- 190.
- 191.
- 192.
- 193.
- 194.
- 195.
- 196.
- 197.
- 198.
- 199.
- 200.
- 201.
- 202.
- 203.
- 204.
- 205.
- 206.
- 207.
- 208.
- 209.
- 210.
- 211.
- 212.
- 213.
- 214.
- 215.
- 216.
- 217.
- 218.
- 219.
- 220.
- 221.

705

被折叠的 条评论
为什么被折叠?



