在日常生活中,有许多事物或多或少都具有模糊性,模糊虽难以捉摸,但却非常重要。模糊理论强调以模糊逻辑来描述现实生活中的事物,以弥补二值逻辑无法对不明确定义边界事物描述的缺点。人类的自然语言在表达上具有很大的模糊性,难以用二值逻辑来完全描述现实生活中的事物。故模糊理论将模糊概念以模糊集合的定义,将事件属于某集合程度的隶属函数加以模糊量化,得到隶属度,来处理问题。
模糊聚类就是用模糊数学的方法,把样本之间的模糊关系定量,从而客观准确地进行聚类,使得各个类之间的数据差别应尽可能大,类内之间的数据差别应尽可能小,即最小化类间的相似性,最大化类内的相似性。而模糊C均值就是一种应用最广泛且较成功的模糊聚类方法。它通过优化目标函数得到每个样本点对所有类中心的隶属度,从而决定样本点的类属以达到对样本进行分类的目的。
2.模糊理论的应用
1965年,Zadeh教授提出了著名的模糊集理论,创建了一个新的学科——模糊数学,主要包括模糊集合理论、模糊逻辑、模糊推理和模糊控制等方面的内容。其中模糊集合理论是对传统集合理论的一种推广,能较好的描述人类视觉中的模糊性,在模式识别的各个层次都可使用模糊集合理论。模糊理论主要解决在模式识别的不同层次出于信息不全面、不准确、含糊、矛盾等造成的不确定性问题。
2.1 模糊聚类理论
基于模糊集合的特点,模糊聚类方法应运而生。聚类,就是将一组给定的未知类标号的样本分成内在的多个类别,使得同一类中的样本具有较高的相似度,而不同的类中样本差别大。聚类分析的目的是揭示和刻画数据的内在结构,其内容涉及统计学、生物学、以及机器学习等研究领域,并在模式识别、数据分析和挖掘、图像处理等领域获得了广泛的应用。
1973年,J.C. Bezdek提出了里程碑式的模糊C均值聚类算法(FCM)[1],通过引入样本到聚类中心的隶属度,使准则函数不仅可微,且软化了模式的归属。
在众多模糊聚类算法中,FCM算法应用最广泛且较成功,它通过优化目标函数得到每个样本点对所有类中心的隶属度,从而决定样本点的类属以达到自动对样本数据进行分类的目的。
2.1.1 FCM算法原理
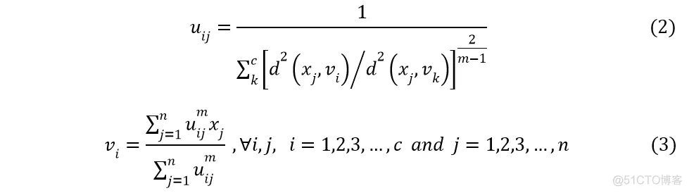
根据聚类的数目C和一组包含n个L维向量的数据xk,用FCM算法输出元素的隶属度uij,它代表着数据xj是属于第i个类的概率,可以通过求下面式子(1)目标函数的最小值得到,通常取m=2。

其中,式(1)的约束条件为:

在(1)式的约束条件下,可以求得(1)中目标函数取最小值时相应的隶属度矩阵和聚类中心。通常,该最小值用极小值代替,因此分别对各变量求偏导,并令偏导数为0,联立并解出更新后的模糊隶属度和聚类中心,如下公式(2)(3)。

2.1.2 FCM算法流程
根据FCM的基本原理,总结出该算法的步骤如下:
1) 设置目标函数的精度e,模糊指数m(m通常取2)和算法最大迭代次数;
2) 初始化隶属度矩阵
或聚类中心
;
3) 由式(2)(3)更新模糊划分矩阵
和聚类中心
;
4) 若目标函数
则迭代结束;否则,跳转执行第三步;
5) 根据所得到的隶属度矩阵,取样本隶属度最大值所对应类作为样本聚类的结果,聚类结束。
图1给出FCM的算法流程图。

2.1.3 FCM算法的优劣
FCM算法优越于传统硬C均值聚类算法在于隶属度可以连续取值于 [0,1]区间,考虑到了样本属于各个类的“亦此亦彼”性,能够对类与类之间样本有重叠的数据集进行分类,具有良好的收敛性;而且FCM算法复杂度低,易于实现。然而,FCM也存在着不足之处,如目标函数在迭代过程中容易陷入局部最小、函数收敛速度慢、对初始值、噪声比较敏感等问题。下面从分析模糊C均值聚类划分矩阵的隶属度的含义、划分趋势出发,讨论一种可以改善FCM性能的算法——IFCM算法。在此之前需要引入新的概念,即直觉模糊集。
2.2 直觉模糊聚类理论
2.2.1 直觉模糊集简介
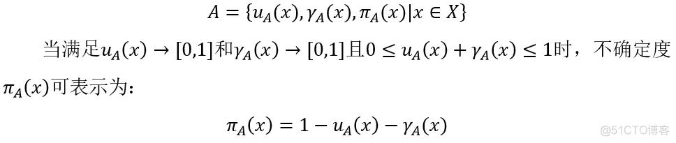
直觉模糊集(IFS)作为模糊集的重要拓展,通过增加新的属性参数——非隶属度γ和不确定度π,从而更加细腻地刻画客观世界的模糊性质,假设直觉模糊集A表示了样本x与论域X={x1,x2,…,xn }的关系,有:

特别的,当时
,直觉模糊集A变为普通的模糊集合。
有关IFS的研究目前已成为热点,其中模糊聚类分析是其重要研究领域。对于传统的模糊算法,非隶属度只是作为隶属度的补而存在,但是在IFS中,同时考虑了隶属度、非隶属度和不确定度的作用,使得非隶属度的定义和一般的模糊算法不同。直觉模糊C均值聚类算法引入了不确定度这个概念。这是因为在聚类过程中,分类方式取决于人的选择,所以分类方式带来的隶属度是不确定的,在缺乏明确定义的分类方式的时候会有不确定的因素。
2.2.2 直觉模糊熵
聚类中引入了一个新的概念:直觉模糊熵(IFE)。本来这个概念是用来度量模糊集的模糊度的,Zadeh在1969年第一次使用了这个概念[2]。后来Kaufmann用测得的距离来重新定义了这个概念[3]。Yager把它定义为到一个聚类的距离以及它的补[4]。Szmidt和Kacpryzk从非概率的角度定义了熵[5]。一般认为,直觉模糊熵给出了一个模糊集的模糊程度。
如果一个实函数IFE(x)叫做X的直觉模糊熵,那么它满足以下几个条件:
若A是普通模糊集,那么IFE(A)=0;
若:
,则IFE(A)=n;
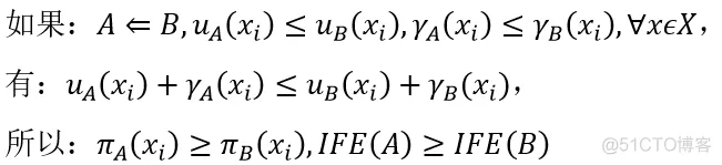
若每个元素的隶属度和非隶属度都减少,那么它们的和也减少,模糊度减少,不确定度增加,IFE增加。即:

在直觉模糊集中,
分别是论域
的隶属度,非隶属度和不确定度,那么直觉模糊熵IFE可以表示该模糊集的直觉度。它可以定义成:

可以看出,定义的IFE满足上述的三个属性,则根据Yager直觉模互补公式[6],非隶属度公式可写为:
![]()
到不确定度公式可得:
![]()
模糊集A可表示为:
![]()
公式中α的取值需要做进一步的讨论,实验结果表明当α取值在0.8~0.9之间时效果较好。
2.2.3 IFCM算法介绍
将直觉模糊隶属度运用到FCM算法中,就形成了IFCM算法。下面给出IFCM算法的计算过程:
首先更新隶属度公式:
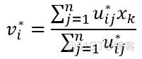
,它是第j个数据点对第i个聚类中心的直觉模糊隶属度。由上述公式可得到新的聚类中心公式:

当聚类中心更新时,隶属度矩阵也将被更新。在每次迭代过程中,聚类中心和隶属度矩阵的数值都会更新一次,直到前一次隶属度矩阵和再次更新的隶属度矩阵的差值小于一定阈值时可结束迭代,此时聚类中心达到最优。一般的,隶属度差值定义为:
![]()
另一种判断算法迭代效果的方法是计算目标函数是否达到最小值。在FCM算法中目标函数为:
![]()
而在IFCM算法中,为了使聚类中有效数据点最大化,使数据矩阵的熵最小化,引入了第二个公式。当每个聚类中的元素的不确定度都已知时,就能计算出对应的直觉模糊熵。直觉模糊熵表达了聚类中的模糊程度。目标函数的第二个公式定义为:

综上所述,IFCM的算法步骤可以归纳如下:
1) 第一步同FCM。首先定义一个准则函数,选择C个初始聚类中心或初始化一个随机的隶属度矩阵(迭代初始条件)。
2) 引入不确定度参数,将隶属度矩阵变为模糊隶属度矩阵。
3) 使用模糊隶属度矩阵计算样本到聚类中心的距离,将样本划分到各个类中。
4) 重新计算每个类的聚类中心、样本到聚类中心的距离。每次计算都使用直觉模糊隶属度矩阵代替原有的隶属度矩阵,并将样本重新划分到各个类中。
5) 重复2,3,4步,直到准则函数最小或达到指定阈值。
6) 对于图像分割,将迭代后的聚类中心映射到各种图像信息,如灰度值,从而实现图像各像素点的灰度值分类。
3.1 图像分割概述
图像分割就是把图像细分为构成它的对象或子区域,这些区域是互不相交的,每个区域都满足特定区域的一致性。分割的程度主要取决于人们想要解决的问题,当感兴趣的区域或对象已经被区分出来,分割就算完成。图像分割是图像处理中的重要问题,也是计算机视觉研究中的一个经典难题。计算机视觉中的图像理解包括目标检测、特征提取和目标识别等,都依赖于分割的质量。
目前,图像分割算法一般是围绕亮度值的两个基本特性设计的:不连续性和相似性。亮度值的不连续性的应用途径主要是基于像素点特性(如灰度值)的不连续变化分割图像,如最常用的边缘检测。而利用亮度值的相似性可以形成一套机制,即依据事先指定的准则将图像分割为相似的区域。一些实例包括门限处理、区域分离、区域生长和聚类等。而采用模糊C均值聚类及其扩展算法进行图像分割的好处是避免了阈值的设定问题,聚类的过程不需要人工干预,只需输入预想的分类数目即可实现自动化的图像分割。
3.2 模糊隶属度矩阵在图像分割的意义
在图像分割中,模糊隶属度
可用于表示一幅灰度图像中一像素点
属于一个灰度值中心
的程度,因此只需要寻找像素点对某灰度值中心的最大隶属度,即可将该像素点划分到该灰度级的区域中去。对于灰度图像分割,模糊隶属度的计算公式可写成:

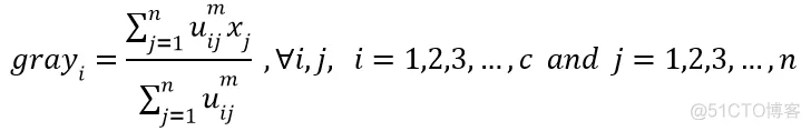
3.3 模糊聚类中心在图像分割中的作用
图像分割的效果主要取决于各中心灰度值gray的选取。根据公式(5)及IFCM算法的基本公式,得到中心灰度值的计算公式:

其中xj为各像素点的灰度值。



1339

被折叠的 条评论
为什么被折叠?



