一、樽海鞘算法
樽海鞘是一种透明的桶状生物,和水母比较相似。它通过吸水、喷水来移动的。由于它生活在寒带的深海里面,给我们的研究造成了一定的困扰。但是,这并不影响我们对它的研究。在深海里,樽海鞘是以樽海鞘链的形式存在,这就是我们感兴趣的群体行为之一。
樽海鞘群算法就是在模拟樽海鞘的聚集行为,它们组成樽海鞘链,然后进行捕食和移动。樽海鞘链由两种类型的樽海鞘组成:领导者和追随者,领导者是链的头部的樽海鞘,链上后边的都是追随者角色。
首先,我们将樽海鞘链分为两组:1、领导者;2、追随者。
领导者就是樽海鞘链前端的部分;追随者就是樽海鞘链后端的部分。
首先,领导者的位置跟新公式:
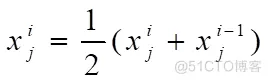
更新追随者位置
二、基于Levy飞行策略的改进樽海鞘群算法( LECUSSA)
针对樽海鞘群算法( Salp Sw armΔ lgorithm,SSΔ)在寻优过程中存在的收敛速度较慢、容易陷入局部最优的缺点,提出了一种改进的采用莱维飞行策略的条件化更新的樽海鞘群算法( Levy Flight-based Condi TIonal Upda TIng Salp Swarm algorithm, LECUSSA),并将其运用于分类算法的特征子集选择过程。首先,利用莱维飞行策略的长短跳跃特点对领导者位置进行随机更新,以增强全局最优的搜索能力;其次,増加对追随者位置的更新条件,让追随者不再盲目地跟随,从而加快收敛速度。在23个优化基准函数上对 LECUSSA算法与其他算法进行了性能比较实验;并把算法运用到支持向量机( Support vector Machine,sSVM)算法的分类特征子集选择中,采用8个UCⅠ数据集对特征选择后的分类结果进行了性能比较实验。实验结果表明, LECUSSA具有良好的全局最优搜索能力和较快的收敛速度,利用 LECUSSA算法进行特征选择后,能够找到最佳分类准确率的特征子集。
三、、运行结果
》》 喜欢可以关注我

被折叠的 条评论
为什么被折叠?



