✅作者简介:热爱科研的Matlab仿真开发者,擅长数据处理、建模仿真、程序设计、完整代码获取、论文复现及科研仿真。
🍎 往期回顾关注个人主页:Matlab科研工作室
🍊个人信条:格物致知,完整Matlab代码及仿真咨询内容私信。
🔥 内容介绍
1 研究背景与意义
1.1 研究背景
在全球能源转型的大背景下,太阳能作为一种清洁、可再生的能源,其开发与利用受到世界各国的广泛关注。太阳能光伏系统作为将太阳能转化为电能的核心载体,其性能优化与高效运行对提升能源利用效率至关重要。光伏电池的输出特性受光照强度、环境温度等多种因素影响,精准的光伏模型是分析光伏系统性能、优化系统设计与控制策略的基础。
光伏模型的核心是模型参数的精准估计,常用的光伏模型包括单二极管模型、双二极管模型以及光伏阵列模型等。这些模型中包含多个未知参数,如反向饱和电流、串联电阻、并联电阻、光生电流等,这些参数无法直接通过实验测量获得,只能通过拟合光伏电池的输出特性曲线(I-V曲线)来估计。因此,参数估计的精度直接决定了光伏模型的可靠性与实用性。
传统的参数估计方法如最小二乘法、牛顿-拉夫逊法等,存在对初始值敏感、易陷入局部最优解、收敛速度慢等缺陷,难以满足复杂工况下光伏模型参数估计的高精度要求。近年来,智能优化算法以其全局搜索能力强、鲁棒性好、无需依赖函数梯度信息等优势,被广泛应用于光伏模型参数估计领域,如粒子群优化算法(PSO)、遗传算法(GA)、鲸鱼优化算法(WOA)等。然而,现有智能优化算法仍存在收敛速度与搜索精度难以兼顾的问题,在处理光伏模型这一具有非线性、多峰值特性的优化问题时,仍有提升空间。
白鲨优化算法(White Shark Optimization, WSO)是一种新型的智能优化算法,灵感来源于白鲨在海洋中的捕食行为,通过模拟白鲨的搜索、包围、攻击等行为实现全局优化。该算法具有结构简单、收敛速度快、全局搜索能力强等特点,在多个基准测试函数和实际优化问题中均表现出优异的性能。将WSO算法应用于光伏模型参数估计,有望突破现有算法的局限,提升参数估计的精度与效率,为光伏系统的性能优化提供更可靠的模型支撑。
1.2 研究意义
本研究将WSO算法应用于太阳能光伏模型参数估计,具有重要的理论意义与实际应用价值:
从理论层面看,本研究丰富了智能优化算法在新能源领域的应用场景,验证了WSO算法在处理非线性、多峰值优化问题中的有效性,为光伏模型参数估计提供了一种新的有效方法。同时,通过与现有主流优化算法的对比分析,可进一步完善WSO算法的性能评价体系,为算法的改进与优化提供理论依据。
从实际应用层面看,精准的光伏模型参数估计是光伏系统设计、运行控制与故障诊断的基础。基于WSO算法获得的高精度光伏模型,能够更准确地预测光伏电池在不同工况下的输出特性,为光伏阵列的最优配置、最大功率点跟踪(MPPT)控制策略的优化提供可靠依据,从而提升光伏系统的发电效率,降低发电成本,推动太阳能能源的规模化应用。
2 光伏模型基础


3 白鲨优化算法(WSO)原理
3.1 算法灵感来源
WSO算法灵感来源于白鲨在海洋中的捕食行为。白鲨作为海洋中的顶级捕食者,具有极强的搜索与捕猎能力。在捕食过程中,白鲨会根据猎物的分布情况,采用不同的搜索策略:当远离猎物时,白鲨会进行大范围的全局搜索;当接近猎物时,会进行小范围的局部搜索,同时通过调整自身的运动方向和速度,实现对猎物的包围与攻击。WSO算法通过模拟白鲨的全局搜索、局部搜索、包围攻击等行为,构建相应的数学模型,实现对优化问题的求解。
3.2 算法核心步骤
WSO算法的核心步骤包括初始化种群、适应度函数计算、全局搜索、局部搜索、更新种群与终止条件判断,具体如下:

3.2.5 种群更新与终止条件判断
完成全局搜索与局部搜索后,计算每个个体的适应度函数值,更新种群中的最优个体与最优适应度值。判断是否满足终止条件,若满足,则输出最优个体对应的参数值作为最终的估计结果;若不满足,则返回全局搜索阶段,进入下一次迭代,直至满足终止条件。终止条件通常设置为达到最大迭代次数或适应度函数值小于预设的精度阈值。
4 基于WSO算法的光伏模型参数估计实现流程
基于WSO算法的光伏模型参数估计流程主要包括数据预处理、算法参数设置、种群初始化、迭代优化、结果输出与验证等步骤,具体流程如下:
-
数据预处理:收集光伏电池的I-V特性实验数据,对数据进行预处理,去除异常数据点(如因测量误差导致的离群点),确保数据的可靠性。同时,根据光伏电池的型号与规格,确定模型未知参数的物理约束范围(X, X)。
-
确定光伏模型与适应度函数:根据研究需求选择合适的光伏模型(单二极管或双二极管模型),并基于实验数据与模型输出电流的误差平方和,构建适应度函数。
-
设置WSO算法参数:确定WSO算法的关键参数,包括种群规模N、最大迭代次数T、全局搜索因子α、局部搜索因子β、扰动因子γ以及精度阈值ε等。这些参数的取值会影响算法的收敛速度与搜索精度,需要根据实际问题进行调试优化。
-
初始化种群:在参数约束范围内,随机生成N个个体组成初始种群,每个个体对应一组光伏模型参数值。
-
计算初始适应度值:将初始种群中每个个体对应的参数值代入光伏模型,计算得到模型输出电流,再根据适应度函数计算每个个体的初始适应度值,确定初始最优个体与初始最优适应度值。
-
迭代优化:
-
全局搜索:根据全局搜索阶段的位置更新公式,更新每个个体的位置;
-
局部搜索:对更新后的个体进行局部搜索优化,进一步调整个体位置;
-
边界处理:若更新后的个体参数值超出约束范围,采用边界截断法将其修正至约束范围内;
-
适应度值更新:计算迭代后每个个体的适应度值,若当前个体的适应度值优于历史最优适应度值,则更新最优个体与最优适应度值。
-
-
终止条件判断:判断当前迭代次数是否达到最大迭代次数T,或最优适应度值是否小于预设的精度阈值ε。若满足任一条件,则终止迭代;否则,返回步骤6,继续迭代。
-
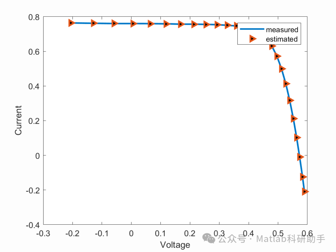
结果输出与验证:输出迭代终止后最优个体对应的参数值,即光伏模型的估计参数。为验证估计结果的有效性,将估计参数代入光伏模型,计算模型输出电流与输出功率,并与实验数据进行对比,通过计算平均绝对误差(MAE)、均方根误差(RMSE)等评价指标,评估参数估计的精度。
5 结论与展望
5.1 研究结论
本研究提出了一种基于白鲨优化算法(WSO)的太阳能光伏模型参数估计方法,通过实验验证与对比分析,得出以下结论:
-
WSO算法具有优异的全局搜索能力与局部搜索精度,将其应用于光伏模型参数估计,能够有效避免陷入局部最优解,获得更高精度的参数估计结果。与PSO、GA、WOA等主流算法相比,WSO算法估计得到的参数对应的SSE、RMSE更小,拟合效果更优。
-
WSO算法的收敛速度明显快于对比算法,能够在较少的迭代次数内达到预设的精度要求,提高了参数估计的效率,为光伏系统的实时优化控制提供了可能。
-
基于WSO算法的参数估计方法适用于光伏模型的参数求解,能够精准拟合光伏电池的I-V特性曲线,为光伏系统的性能分析、设计优化与控制策略制定提供可靠的模型支撑。
5.2 未来展望
虽然本研究取得了较好的成果,但仍有进一步完善与拓展的空间:
-
算法改进:可针对WSO算法在特定场景下的性能缺陷,如后期收敛速度放缓等问题,引入自适应参数调整机制、混合优化策略等,进一步提升算法的性能。
-
模型拓展:将WSO算法应用于更复杂的光伏模型参数估计,如双二极管模型、光伏阵列模型,或考虑阴影遮挡、温度变化等动态工况下的参数估计问题。
-
实际应用:将基于WSO算法的光伏模型参数估计方法与光伏系统的MPPT控制、故障诊断等实际应用相结合,验证其在实际工程中的有效性与实用性。
⛳️ 运行结果



🔗 参考文献
[1] 陈义军.基于智能优化算法的SOFC参数辨识技术研究[D].昆明理工大学,2023.
[2] 刘晓菲,赵栩浩.SSA-WSO算法在分布式光伏频率控制策略优化中的应用分析[J].信息记录材料, 2025, 26(6):223-225.
📣 部分代码
🎈 部分理论引用网络文献,若有侵权联系博主删除
👇 关注我领取海量matlab电子书和数学建模资料
🏆团队擅长辅导定制多种科研领域MATLAB仿真,助力科研梦:
🌈 各类智能优化算法改进及应用
生产调度、经济调度、装配线调度、充电优化、车间调度、发车优化、水库调度、三维装箱、物流选址、货位优化、公交排班优化、充电桩布局优化、车间布局优化、集装箱船配载优化、水泵组合优化、解医疗资源分配优化、设施布局优化、可视域基站和无人机选址优化、背包问题、 风电场布局、时隙分配优化、 最佳分布式发电单元分配、多阶段管道维修、 工厂-中心-需求点三级选址问题、 应急生活物质配送中心选址、 基站选址、 道路灯柱布置、 枢纽节点部署、 输电线路台风监测装置、 集装箱调度、 机组优化、 投资优化组合、云服务器组合优化、 天线线性阵列分布优化、CVRP问题、VRPPD问题、多中心VRP问题、多层网络的VRP问题、多中心多车型的VRP问题、 动态VRP问题、双层车辆路径规划(2E-VRP)、充电车辆路径规划(EVRP)、油电混合车辆路径规划、混合流水车间问题、 订单拆分调度问题、 公交车的调度排班优化问题、航班摆渡车辆调度问题、选址路径规划问题、港口调度、港口岸桥调度、停机位分配、机场航班调度、泄漏源定位
🌈 机器学习和深度学习时序、回归、分类、聚类和降维
2.1 bp时序、回归预测和分类
2.2 ENS声神经网络时序、回归预测和分类
2.3 SVM/CNN-SVM/LSSVM/RVM支持向量机系列时序、回归预测和分类
2.4 CNN|TCN|GCN卷积神经网络系列时序、回归预测和分类
2.5 ELM/KELM/RELM/DELM极限学习机系列时序、回归预测和分类
2.6 GRU/Bi-GRU/CNN-GRU/CNN-BiGRU门控神经网络时序、回归预测和分类
2.7 ELMAN递归神经网络时序、回归\预测和分类
2.8 LSTM/BiLSTM/CNN-LSTM/CNN-BiLSTM/长短记忆神经网络系列时序、回归预测和分类
2.9 RBF径向基神经网络时序、回归预测和分类
2.10 DBN深度置信网络时序、回归预测和分类
2.11 FNN模糊神经网络时序、回归预测
2.12 RF随机森林时序、回归预测和分类
2.13 BLS宽度学习时序、回归预测和分类
2.14 PNN脉冲神经网络分类
2.15 模糊小波神经网络预测和分类
2.16 时序、回归预测和分类
2.17 时序、回归预测预测和分类
2.18 XGBOOST集成学习时序、回归预测预测和分类
2.19 Transform各类组合时序、回归预测预测和分类
方向涵盖风电预测、光伏预测、电池寿命预测、辐射源识别、交通流预测、负荷预测、股价预测、PM2.5浓度预测、电池健康状态预测、用电量预测、水体光学参数反演、NLOS信号识别、地铁停车精准预测、变压器故障诊断
🌈图像处理方面
图像识别、图像分割、图像检测、图像隐藏、图像配准、图像拼接、图像融合、图像增强、图像压缩感知
🌈 路径规划方面
旅行商问题(TSP)、车辆路径问题(VRP、MVRP、CVRP、VRPTW等)、无人机三维路径规划、无人机协同、无人机编队、机器人路径规划、栅格地图路径规划、多式联运运输问题、 充电车辆路径规划(EVRP)、 双层车辆路径规划(2E-VRP)、 油电混合车辆路径规划、 船舶航迹规划、 全路径规划规划、 仓储巡逻
🌈 无人机应用方面
无人机路径规划、无人机控制、无人机编队、无人机协同、无人机任务分配、无人机安全通信轨迹在线优化、车辆协同无人机路径规划
🌈 通信方面
传感器部署优化、通信协议优化、路由优化、目标定位优化、Dv-Hop定位优化、Leach协议优化、WSN覆盖优化、组播优化、RSSI定位优化、水声通信、通信上传下载分配
🌈 信号处理方面
信号识别、信号加密、信号去噪、信号增强、雷达信号处理、信号水印嵌入提取、肌电信号、脑电信号、信号配时优化、心电信号、DOA估计、编码译码、变分模态分解、管道泄漏、滤波器、数字信号处理+传输+分析+去噪、数字信号调制、误码率、信号估计、DTMF、信号检测
🌈电力系统方面
微电网优化、无功优化、配电网重构、储能配置、有序充电、MPPT优化、家庭用电
🌈 元胞自动机方面
交通流 人群疏散 病毒扩散 晶体生长 金属腐蚀
🌈 雷达方面
卡尔曼滤波跟踪、航迹关联、航迹融合、SOC估计、阵列优化、NLOS识别
🌈 车间调度
零等待流水车间调度问题NWFSP 、 置换流水车间调度问题PFSP、 混合流水车间调度问题HFSP 、零空闲流水车间调度问题NIFSP、分布式置换流水车间调度问题 DPFSP、阻塞流水车间调度问题BFSP
👇
269

被折叠的 条评论
为什么被折叠?



