✅作者简介:热爱科研的Matlab仿真开发者,擅长数据处理、建模仿真、程序设计、完整代码获取、论文复现及科研仿真。
🍎 往期回顾关注个人主页:Matlab科研工作室
🍊个人信条:格物致知,完整Matlab代码及仿真咨询内容私信。
🔥 内容介绍
本研究针对共享单车租赁量预测中复杂非线性与动态变化的难题,构建基于 CNN-LSTM-Attention 的混合模型。通过对共享单车租赁历史数据、气象数据等多源信息进行清洗、特征提取等预处理,将处理后的数据输入模型训练。实验结果表明,该模型在预测精度上显著优于传统模型与单一神经网络模型,能够有效捕捉租赁数据特征,为共享单车企业优化资源调配、提升运营效率提供科学依据。
关键词
共享单车租赁预测;CNN;LSTM;Attention 机制;混合模型
一、引言
随着城市交通拥堵问题日益严重以及人们环保意识的增强,共享单车凭借便捷、低碳的特点,成为城市短途出行的重要选择。然而,共享单车运营过程中面临车辆供需不平衡的问题,部分区域车辆积压,而另一些区域却供不应求。准确预测共享单车租赁量,有助于企业合理规划车辆投放与调度,降低运营成本,提升用户体验。传统预测方法如时间序列分析、回归分析等,在处理共享单车租赁数据的复杂非线性关系和动态变化特征时存在局限性。深度学习模型在时间序列预测领域展现出强大潜力,其中 CNN 擅长提取数据局部特征,LSTM 能够处理时间序列的长期依赖关系,Attention 机制可增强模型对关键信息的关注。将三者结合构建的 CNN-LSTM-Attention 模型,有望为共享单车租赁预测提供更优解决方案。
二、相关研究
(一)传统共享单车租赁预测方法
传统的共享单车租赁预测方法主要包括统计模型和机器学习模型。统计模型如 ARIMA,基于数据的自相关性和差分平稳性进行预测,但共享单车租赁数据受天气、节假日、出行习惯等多种因素影响,具有较强的非平稳性和非线性,导致 ARIMA 模型预测精度有限。机器学习模型如支持向量机(SVM)、随机森林(RF)等,虽然能处理非线性问题,但在特征提取方面依赖人工设计,难以充分挖掘数据的潜在特征,且泛化能力不足,在复杂多变的租赁场景下预测效果不理想。
(二)深度学习在共享单车租赁预测中的应用
深度学习模型在共享单车租赁预测中逐渐得到广泛应用。循环神经网络(RNN)及其变体 LSTM、GRU 等,通过记忆单元能够学习时间序列数据的长期依赖关系,在一定程度上解决了传统方法的不足。然而,RNN 存在梯度消失和梯度爆炸问题,LSTM 虽然缓解了这些问题,但结构相对复杂,训练时间较长。CNN 具有强大的特征提取能力,能够自动提取数据的局部特征模式,将其应用于共享单车租赁数据可有效提取空间和时间上的局部特征。部分研究尝试将 CNN 与 LSTM 结合,发挥两者优势,但在处理关键信息筛选时仍存在不足。Attention 机制的引入,能够使模型更加关注对预测结果重要的信息,提高模型的预测精度,在时间序列预测领域取得了良好效果 。
三、数据预处理
(一)数据获取
本研究收集某城市共享单车的历史租赁数据,包括租赁时间、租赁站点 ID、归还时间、租赁时长等信息。同时,获取该城市同期的气象数据(如温度、湿度、风速、天气状况)、节假日数据以及交通流量数据,多源数据的结合能够更全面地反映影响共享单车租赁量的因素。
(二)数据清洗
原始数据中存在缺失值和异常值。对于缺失值,采用不同的处理方法:对于连续型数据(如温度、租赁时长)的缺失值,使用线性插值法进行填充;对于分类数据(如天气状况)的缺失值,根据相邻时间点的天气情况进行填充。对于异常值,通过箱线图等方法进行识别,剔除明显不合理的数据,如租赁时长极短或极长的记录。
(三)特征工程
- 时间特征提取:从租赁时间中提取年、月、日、小时、星期、是否工作日等时间特征。这些时间特征能够反映出共享单车租赁量在不同时间尺度上的变化规律,例如工作日早晚高峰租赁量较高,周末的租赁模式与工作日存在差异。
- 编码处理:对天气状况、节假日等分类变量进行独热编码,将其转换为数值型向量,便于模型处理。
- 归一化处理:采用最小 - 最大归一化方法,将数值型特征(如温度、租赁时长、交通流量等)归一化到 [0, 1] 区间,消除量纲差异对模型训练的影响,加快模型收敛速度。
四、CNN-LSTM-Attention 模型构建
(一)CNN 层
在模型中构建多个卷积层,每个卷积层采用不同大小的卷积核(如 3×3、5×5)。较小的卷积核可以捕捉数据的局部细节特征,例如短时间内某一租赁站点的租赁量变化趋势;较大的卷积核则用于提取更宏观的特征,如多个租赁站点在一段时间内的租赁量整体变化模式。卷积层后连接池化层,采用最大池化方法,降低数据维度,减少计算量,同时保留重要的特征信息。
(二)LSTM 层
将 CNN 层提取的特征输入到 LSTM 层。LSTM 通过遗忘门、输入门和输出门的控制,能够选择性地记忆和遗忘信息,有效处理时间序列数据中的长期依赖关系。在共享单车租赁预测中,LSTM 可以学习到不同时间点的租赁量之间的长期关联,例如季节变化对租赁量的长期影响。设置多个 LSTM 层,以进一步增强模型对复杂时间序列特征的学习能力。
(三)Attention 机制
将 LSTM 层的输出作为 Attention 机制的输入。在共享单车租赁数据中,不同的时间点和特征对租赁量预测的重要程度不同。通过 Attention 机制计算每个时间步的注意力权重,使模型更加关注对租赁量预测起关键作用的信息。例如,在恶劣天气时,与天气相关的特征应赋予更高的权重,从而使模型更准确地预测租赁量的变化。
(四)全连接层和输出层
经过 Attention 机制处理后的特征输入到全连接层,全连接层将所有特征进行融合,提取出综合的特征表示。输出层根据预测目标,设置一个神经元,输出预测的共享单车租赁量数值。
五、结论与展望
(一)结论
本研究成功构建了基于 CNN-LSTM-Attention 的共享单车租赁预测模型,通过对多源数据的有效预处理和模型的合理构建与训练,在实验中取得了优于传统方法和单一神经网络模型的预测效果,为共享单车租赁预测提供了一种有效的方法和思路。
(二)展望
未来研究可以进一步探索更多与共享单车租赁相关的影响因素,如城市人口流动数据、用户出行偏好数据等,丰富数据特征,提升模型的预测能力。同时,可以尝试改进 Attention 机制,或者将其他先进的深度学习技术与本模型结合,进一步优化模型结构。此外,开展模型在实际运营场景中的应用研究,验证其在复杂多变环境下的实用性和稳定性,为共享单车企业提供更可靠的决策支持。
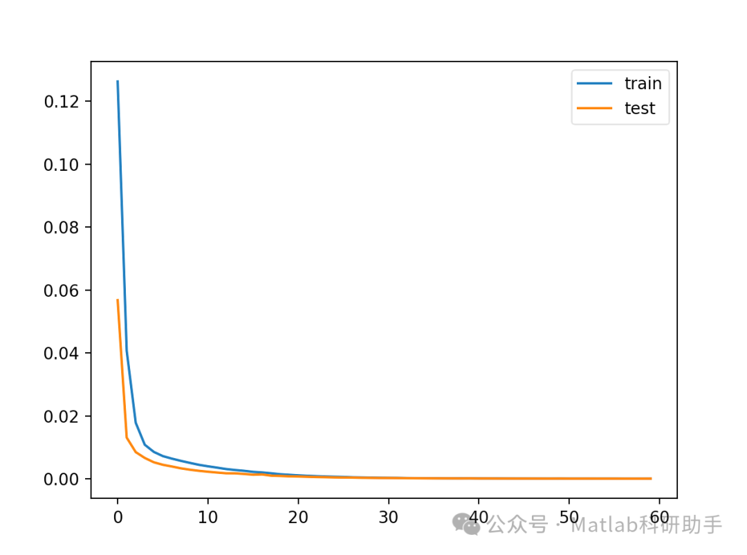
⛳️ 运行结果


🔗 参考文献
[1] 乔少杰,韩楠,岳昆,等.基于数据场聚类的共享单车需求预测模型[J].软件学报, 2022, 33(4):1451-1476.DOI:10.13328/j.cnki.jos.006461.
[2] 王炜航,李丽红,江航,等.基于深度域适应的共享单车需求预测[J].公路工程, 2024, 49(6):158-168.
[3] 宋歌.基于改进GRU模型的共享单车需求量预测研究[D].北方民族大学,2024.
📣 部分代码
🎈 部分理论引用网络文献,若有侵权联系博主删除
👇 关注我领取海量matlab电子书和数学建模资料
🏆团队擅长辅导定制多种科研领域MATLAB仿真,助力科研梦:
🌈 各类智能优化算法改进及应用
生产调度、经济调度、装配线调度、充电优化、车间调度、发车优化、水库调度、三维装箱、物流选址、货位优化、公交排班优化、充电桩布局优化、车间布局优化、集装箱船配载优化、水泵组合优化、解医疗资源分配优化、设施布局优化、可视域基站和无人机选址优化、背包问题、 风电场布局、时隙分配优化、 最佳分布式发电单元分配、多阶段管道维修、 工厂-中心-需求点三级选址问题、 应急生活物质配送中心选址、 基站选址、 道路灯柱布置、 枢纽节点部署、 输电线路台风监测装置、 集装箱调度、 机组优化、 投资优化组合、云服务器组合优化、 天线线性阵列分布优化、CVRP问题、VRPPD问题、多中心VRP问题、多层网络的VRP问题、多中心多车型的VRP问题、 动态VRP问题、双层车辆路径规划(2E-VRP)、充电车辆路径规划(EVRP)、油电混合车辆路径规划、混合流水车间问题、 订单拆分调度问题、 公交车的调度排班优化问题、航班摆渡车辆调度问题、选址路径规划问题、港口调度、港口岸桥调度、停机位分配、机场航班调度、泄漏源定位
🌈 机器学习和深度学习时序、回归、分类、聚类和降维
2.1 bp时序、回归预测和分类
2.2 ENS声神经网络时序、回归预测和分类
2.3 SVM/CNN-SVM/LSSVM/RVM支持向量机系列时序、回归预测和分类
2.4 CNN|TCN|GCN卷积神经网络系列时序、回归预测和分类
2.5 ELM/KELM/RELM/DELM极限学习机系列时序、回归预测和分类
2.6 GRU/Bi-GRU/CNN-GRU/CNN-BiGRU门控神经网络时序、回归预测和分类
2.7 ELMAN递归神经网络时序、回归\预测和分类
2.8 LSTM/BiLSTM/CNN-LSTM/CNN-BiLSTM/长短记忆神经网络系列时序、回归预测和分类
2.9 RBF径向基神经网络时序、回归预测和分类
2.10 DBN深度置信网络时序、回归预测和分类
2.11 FNN模糊神经网络时序、回归预测
2.12 RF随机森林时序、回归预测和分类
2.13 BLS宽度学习时序、回归预测和分类
2.14 PNN脉冲神经网络分类
2.15 模糊小波神经网络预测和分类
2.16 时序、回归预测和分类
2.17 时序、回归预测预测和分类
2.18 XGBOOST集成学习时序、回归预测预测和分类
2.19 Transform各类组合时序、回归预测预测和分类
方向涵盖风电预测、光伏预测、电池寿命预测、辐射源识别、交通流预测、负荷预测、股价预测、PM2.5浓度预测、电池健康状态预测、用电量预测、水体光学参数反演、NLOS信号识别、地铁停车精准预测、变压器故障诊断
🌈图像处理方面
图像识别、图像分割、图像检测、图像隐藏、图像配准、图像拼接、图像融合、图像增强、图像压缩感知
🌈 路径规划方面
旅行商问题(TSP)、车辆路径问题(VRP、MVRP、CVRP、VRPTW等)、无人机三维路径规划、无人机协同、无人机编队、机器人路径规划、栅格地图路径规划、多式联运运输问题、 充电车辆路径规划(EVRP)、 双层车辆路径规划(2E-VRP)、 油电混合车辆路径规划、 船舶航迹规划、 全路径规划规划、 仓储巡逻
🌈 无人机应用方面
无人机路径规划、无人机控制、无人机编队、无人机协同、无人机任务分配、无人机安全通信轨迹在线优化、车辆协同无人机路径规划
🌈 通信方面
传感器部署优化、通信协议优化、路由优化、目标定位优化、Dv-Hop定位优化、Leach协议优化、WSN覆盖优化、组播优化、RSSI定位优化、水声通信、通信上传下载分配
🌈 信号处理方面
信号识别、信号加密、信号去噪、信号增强、雷达信号处理、信号水印嵌入提取、肌电信号、脑电信号、信号配时优化、心电信号、DOA估计、编码译码、变分模态分解、管道泄漏、滤波器、数字信号处理+传输+分析+去噪、数字信号调制、误码率、信号估计、DTMF、信号检测
🌈电力系统方面
微电网优化、无功优化、配电网重构、储能配置、有序充电、MPPT优化、家庭用电
🌈 元胞自动机方面
交通流 人群疏散 病毒扩散 晶体生长 金属腐蚀
🌈 雷达方面
卡尔曼滤波跟踪、航迹关联、航迹融合、SOC估计、阵列优化、NLOS识别
🌈 车间调度
零等待流水车间调度问题NWFSP 、 置换流水车间调度问题PFSP、 混合流水车间调度问题HFSP 、零空闲流水车间调度问题NIFSP、分布式置换流水车间调度问题 DPFSP、阻塞流水车间调度问题BFSP
👇
2万+

被折叠的 条评论
为什么被折叠?



