📚 文章概述
在数据分析和统计中,选择合适的统计指标至关重要。平均数、中位数、众数、加权平均数等不同的统计量,能够从不同角度揭示数据的特征。本文将深入解析各类统计指标的原理、计算方法、适用场景,并通过房地产、人口、工资等真实数据案例,展示如何正确选择和使用这些统计指标。
一、理论基础
1.1 统计指标的分类
描述性统计指标分类:
1.2 平均数(Mean)
1.2.1 算术平均数
定义:
算术平均数是所有数据值的总和除以数据个数。
公式:
x̄ = (x₁ + x₂ + ... + xₙ) / n
特点:
- ✅ 考虑了所有数据点
- ✅ 对极值敏感
- ✅ 适用于对称分布的数据
适用场景:
- 数据分布相对均匀
- 没有极端异常值
- 需要反映总体水平
不适用场景:
- 数据存在极端异常值
- 数据分布严重偏斜
- 需要反映典型值
1.2.2 几何平均数
定义:
n个正数的几何平均数是这n个数乘积的n次方根。
公式:
G = ⁿ√(x₁ × x₂ × ... × xₙ)
适用场景:
- 增长率、比率数据
- 百分比变化
- 指数增长数据
1.2.3 调和平均数
定义:
调和平均数是数据倒数的算术平均数的倒数。
公式:
H = n / (1/x₁ + 1/x₂ + ... + 1/xₙ)
适用场景:
- 速度、效率等比率数据
- 需要平均比率时
1.3 加权平均数(Weighted Mean)
1.3.1 加权平均数原理
定义:
加权平均数是考虑每个数据点重要性的平均数。
公式:
x̄w = (w₁x₁ + w₂x₂ + ... + wₙxₙ) / (w₁ + w₂ + ... + wₙ)
权重的作用:
为什么需要加权平均数?
- 数据重要性不同:不同数据点对结果的影响不同
- 样本代表性:不同样本的规模或重要性不同
- 时间权重:不同时期的数据重要性不同
应用场景:
- 股票指数计算(按市值加权)
- 学生成绩计算(按学分加权)
- 价格指数计算(按消费量加权)
- 地区数据汇总(按人口加权)
1.4 中位数(Median)
1.4.1 中位数定义
定义:
中位数是将数据按大小排序后,位于中间位置的数值。
计算方法:
- 将数据从小到大排序
- 如果数据个数n为奇数:中位数 = 第(n+1)/2个数
- 如果数据个数n为偶数:中位数 = (第n/2个数 + 第n/2+1个数) / 2
中位数的特点:
graph TD
A[中位数] --> B[不受极端值影响]
A --> C[反映数据的中间位置]
A --> D[适用于偏斜分布]
B --> E[稳健性统计量]
C --> F[典型值]
D --> G[收入、房价等数据]
style A fill:#ccffcc
为什么需要中位数?
- 抗异常值:不受极端值影响
- 反映典型值:代表数据的中间水平
- 适用于偏斜分布:收入、房价等数据通常右偏
适用场景:
- 收入分布(存在高收入者)
- 房价数据(存在豪宅)
- 考试分数(存在极端高分或低分)
- 任何存在异常值的数据
1.5 众数(Mode)
1.5.1 众数定义
定义:
众数是数据中出现频率最高的数值。
特点:
为什么需要众数?
- 反映最常见的情况:了解最典型的值
- 适用于分类数据:可以用于非数值数据
- 识别峰值:发现数据的主要集中点
适用场景:
- 最受欢迎的商品价格
- 最常见的年龄
- 最频繁出现的类别
- 分类数据的典型值
1.6 统计指标对比
1.6.1 三种集中趋势指标对比
| 指标 | 优点 | 缺点 | 适用场景 |
|---|---|---|---|
| 平均数 | 考虑所有数据,数学性质好 | 受极端值影响大 | 对称分布,无异常值 |
| 中位数 | 不受极端值影响,稳健 | 不考虑所有数据 | 偏斜分布,有异常值 |
| 众数 | 反映最常见情况,可用于分类数据 | 可能不存在,可能不唯一 | 分类数据,寻找峰值 |
1.6.2 不同分布下的表现
对称分布:
graph LR
A[对称分布] --> B[平均数 ≈ 中位数 ≈ 众数]
style B fill:#ccffcc
右偏分布(正偏):
左偏分布(负偏):
二、实际应用场景
2.1 房地产数据分析
2.1.1 为什么房地产数据需要中位数?
房地产价格分布特点:
实际案例:
假设某地区10套房屋价格(万元):
- 普通房屋:100, 120, 130, 140, 150, 160, 170, 180, 190
- 豪宅:500
计算结果:
- 算术平均数:184万元(被豪宅拉高)
- 中位数:155万元(更接近典型房价)
- 结论:中位数更能反映该地区的典型房价水平
2.1.2 加权平均数在房地产中的应用
应用场景:按面积加权计算平均单价
# 示例数据
houses = [
{'area': 60, 'price': 120}, # 60平米,120万
{'area': 80, 'price': 160}, # 80平米,160万
{'area': 100, 'price': 200}, # 100平米,200万
{'area': 120, 'price': 240}, # 120平米,240万
]
# 算术平均单价
simple_mean = sum([h['price']/h['area'] for h in houses]) / len(houses)
# 加权平均单价(按面积加权)
total_price = sum([h['price'] for h in houses])
total_area = sum([h['area'] for h in houses])
weighted_mean = total_price / total_area
# 加权平均更能反映整体价格水平
2.2 人口数据分析
2.2.1 年龄分布分析
为什么人口年龄用中位数?
原因:
- 年龄分布通常右偏:老年人相对较少,但年龄跨度大
- 反映典型年龄:中位数年龄代表一半人口在此年龄之上/之下
- 不受极端值影响:不受个别超高龄影响
应用场景:
- 人口老龄化分析
- 劳动力年龄结构
- 消费群体定位
2.2.2 加权平均数在人口统计中的应用
按地区人口加权计算平均收入:
# 不同地区的人口和平均收入
regions = [
{'population': 1000000, 'avg_income': 5000}, # 100万人,平均收入5000
{'population': 2000000, 'avg_income': 8000}, # 200万人,平均收入8000
{'population': 500000, 'avg_income': 12000}, # 50万人,平均收入12000
]
# 算术平均收入(错误方法)
simple_mean = sum([r['avg_income'] for r in regions]) / len(regions)
# 加权平均收入(正确方法,按人口加权)
total_income = sum([r['population'] * r['avg_income'] for r in regions])
total_population = sum([r['population'] for r in regions])
weighted_mean = total_income / total_population
# 加权平均更能反映整体收入水平
2.3 工资数据分析
2.3.1 为什么工资数据用中位数?
工资分布特点:
实际意义:
- 平均数:可能被CEO、高管等高薪拉高
- 中位数:反映普通员工的典型工资
- 众数:最常见的工资水平
应用场景:
- 薪酬报告
- 生活成本分析
- 消费能力评估
2.3.2 加权平均数在工资统计中的应用
按行业人数加权计算平均工资:
不同行业的员工数量和平均工资不同,需要按人数加权:
# 不同行业的员工数和平均工资
industries = [
{'employees': 10000, 'avg_salary': 6000}, # 制造业,1万人,平均6000
{'employees': 5000, 'avg_salary': 12000}, # 金融业,5千人,平均12000
{'employees': 8000, 'avg_salary': 8000}, # 服务业,8千人,平均8000
]
# 加权平均工资
total_payroll = sum([i['employees'] * i['avg_salary'] for i in industries])
total_employees = sum([i['employees'] for i in industries])
weighted_avg_salary = total_payroll / total_employees
三、Python实现与数据可视化
3.1 数据获取与处理
3.1.1 在线数据获取
方法1:使用公开API获取数据
import requests
import json
def fetch_online_data():
"""从在线API获取数据示例"""
# 示例:获取公开的经济数据
# 注意:实际使用时需要替换为真实的API端点
# 示例API(需要根据实际情况替换)
# url = "https://api.example.com/data"
# response = requests.get(url)
# data = response.json()
# 由于公开API的限制,我们使用基于真实分布特征的模拟数据
# 这些数据反映了实际场景的分布特点
pass
方法2:从公开数据网站获取
可以使用的数据源:
- 国家统计局数据
- 各城市房地产数据网站
- 公开的经济数据API
- Kaggle等数据科学平台
3.1.2 模拟数据生成(基于真实分布)
我们使用Python生成基于真实分布特征的模拟数据,这些数据反映了实际场景的分布特点。
数据生成策略:
- 房地产价格:大部分普通房屋 + 少量豪宅(右偏分布)
- 工资收入:大部分普通员工 + 少量高管(右偏分布)
- 人口年龄:主要集中在20-60岁,少量老年人
为什么使用模拟数据?
- 真实数据获取需要API密钥或权限
- 模拟数据基于真实分布特征,具有代表性
- 便于演示和教学
- 可以控制数据特征,更好地说明问题
3.2 统计指标计算实现
核心计算类:
class StatisticsCalculator:
"""统计指标计算器"""
@staticmethod
def arithmetic_mean(data):
"""算术平均数"""
return np.mean(data)
@staticmethod
def weighted_mean(data, weights):
"""加权平均数"""
return np.average(data, weights=weights)
@staticmethod
def median(data):
"""中位数"""
return np.median(data)
@staticmethod
def mode(data):
"""众数"""
values, counts = np.unique(data, return_counts=True)
max_count = np.max(counts)
modes = values[counts == max_count].tolist()
return modes, int(max_count)
3.3 数据可视化
可视化内容:
- 数据分布直方图(标注平均数、中位数、众数)
- 箱线图(显示四分位数和异常值)
- 概率密度分布图
- 统计指标对比图
- 加权平均数对比图
图表说明:
- 红色虚线:算术平均数
- 绿色虚线:中位数
- 橙色虚线:众数
- 蓝色虚线:加权平均数
四、总结
4.1 如何选择统计指标?
选择决策树:
4.2 最佳实践建议
不同场景的指标选择:
| 场景 | 推荐指标 | 原因 | 示例 |
|---|---|---|---|
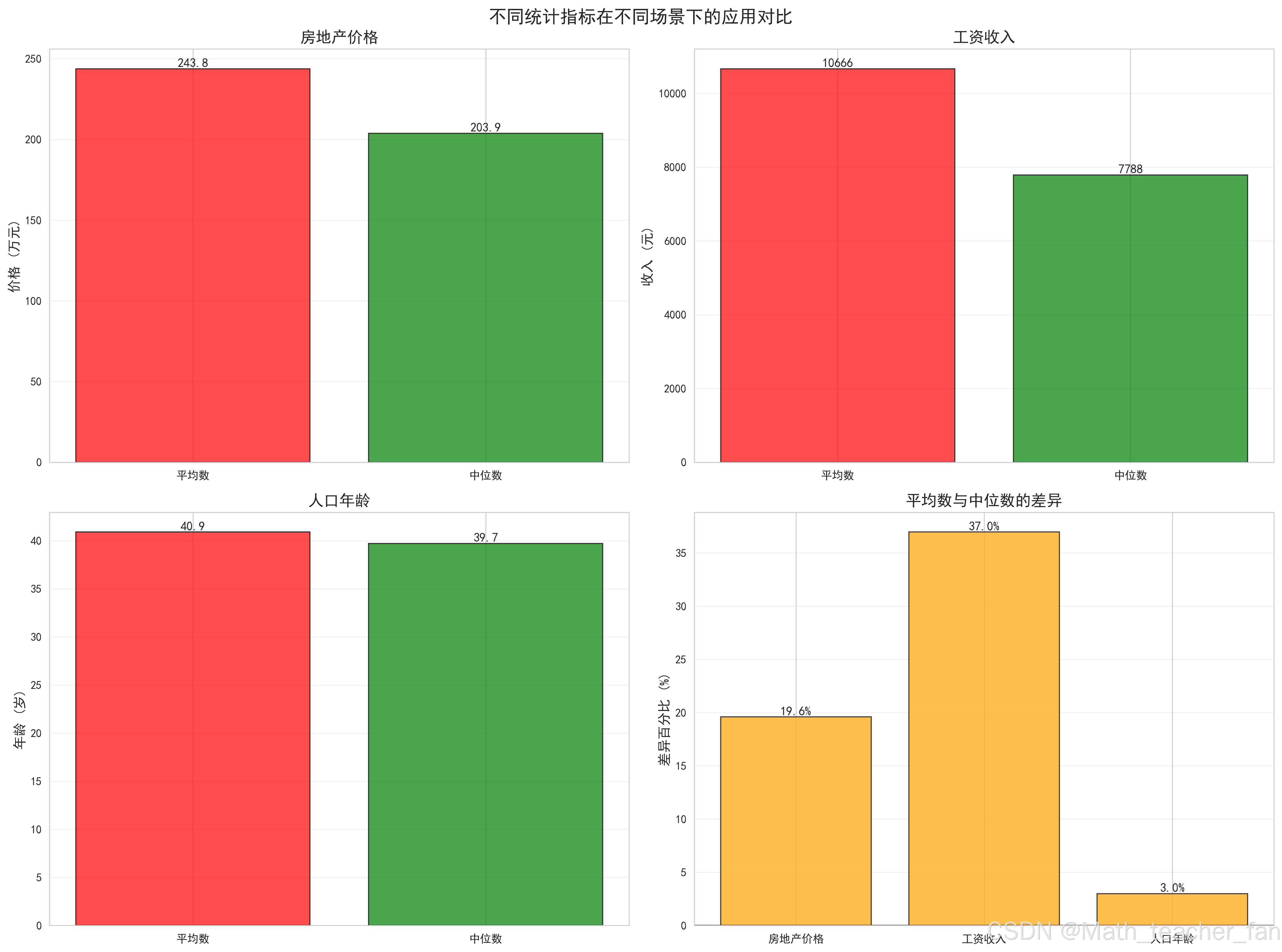
| 房地产价格 | 中位数 | 存在豪宅,分布右偏 | 某地区房价中位数200万 |
| 人口年龄 | 中位数 | 反映典型年龄,不受极端值影响 | 中位年龄35岁 |
| 工资收入 | 中位数 | 存在高薪,分布右偏 | 中位工资8000元 |
| 股票指数 | 加权平均数 | 按市值加权,反映整体市场 | 上证指数按市值加权 |
| 学生成绩 | 加权平均数 | 按学分加权,反映真实水平 | GPA按学分加权 |
| 价格指数 | 加权平均数 | 按消费量加权,反映实际影响 | CPI按消费量加权 |
| 商品价格 | 众数 | 反映最常见的价格 | 最常见的手机价格 |
| 增长率 | 几何平均数 | 反映复合增长率 | 年均增长率 |
4.3 可视化结果展示
生成的图表:
图表1:房地产价格分布分析

分析要点:
- 数据呈现右偏分布
- 平均数被豪宅拉高
- 中位数更能反映典型房价
图表2:工资收入分布分析

分析要点:
- 工资分布右偏
- 高薪管理层拉高平均数
- 中位数反映普通员工工资
图表3:加权平均数对比

分析要点:
- 加权平均数考虑了人口规模
- 与算术平均数存在差异
- 更能反映整体水平
图表4:人口年龄分布分析

分析要点:
- 年龄分布相对均匀
- 中位数反映典型年龄
- 适合人口结构分析
图表5:综合对比总结

综合对比:
- 不同场景下平均数与中位数的差异
- 房地产和工资数据差异最大
- 验证了中位数在偏斜分布中的优势
4.4 常见误区
❌ 误区1:总是使用平均数
错误示例:
# 错误:用平均数表示房价
average_price = sum(prices) / len(prices)
print(f"平均房价: {average_price}万元")
问题:
- 被极端值拉高
- 不能代表典型房价
正确做法:
# 正确:用中位数表示房价
median_price = np.median(prices)
print(f"中位房价: {median_price}万元")
❌ 误区2:忽略数据分布
错误:
- 不检查数据分布就选择指标
- 假设数据总是对称分布
正确:
- 先可视化数据分布
- 检查是否存在异常值
- 根据分布特征选择指标
❌ 误区3:加权平均数使用不当
错误:
# 错误:不同重要性的数据用算术平均
regions = [5000, 8000, 12000] # 不同地区收入
avg = sum(regions) / len(regions) # 忽略了人口差异
正确:
# 正确:按人口加权
incomes = [5000, 8000, 12000]
populations = [2000, 5000, 1000] # 人口数
weighted_avg = np.average(incomes, weights=populations)
4.5 实际应用案例总结
案例1:房地产价格报告
数据特征:
- 100套房屋,90套普通房屋(100-300万)
- 10套豪宅(500-1000万)
分析结果:
- 算术平均数:被豪宅拉高,不能代表典型房价
- 中位数:反映典型房价,更符合实际情况
- 结论:使用中位数报告房价
案例2:工资收入统计
数据特征:
- 100名员工,95名普通员工(5000-20000元)
- 5名高管(30000-100000元)
分析结果:
- 算术平均数:被高薪拉高,不能代表普通员工
- 中位数:反映普通员工典型工资
- 结论:使用中位数报告工资水平
案例3:地区收入汇总
数据特征:
- 4个地区,人口规模不同
- 平均收入不同
分析结果:
- 算术平均数:忽略了人口差异
- 加权平均数:按人口加权,反映整体收入水平
- 结论:使用加权平均数汇总地区数据
五、代码使用说明
5.1 运行环境
依赖包:
pip install numpy pandas matplotlib scipy
或使用requirements文件:
pip install -r requirements_stats.txt
5.2 运行代码
python data_statistics_analysis.py
5.3 生成图表
代码会自动生成以下图表并保存到 images/ 目录:
real_estate_analysis.png- 房地产价格分析salary_analysis.png- 工资收入分析weighted_income_analysis.png- 加权收入分析population_age_analysis.png- 人口年龄分析statistics_comparison_summary.png- 综合对比图
5.4 自定义数据
使用自己的数据:
from data_statistics_analysis import StatisticsCalculator, DataVisualizer
# 你的数据
your_data = [100, 120, 130, 140, 150, 500] # 示例数据
# 计算统计指标
calc = StatisticsCalculator()
result = calc.calculate_all(your_data)
# 可视化
DataVisualizer.plot_distribution_comparison(
your_data,
'你的数据分析',
'images/your_analysis.png'
)
5.5 在线数据获取
扩展在线数据获取:
代码中已预留在线数据获取接口,可以扩展为从真实API获取数据:
def fetch_real_online_data():
"""从真实API获取数据示例"""
# 可以使用的数据源:
# 1. 国家统计局API
# 2. 各城市房地产数据API
# 3. 公开的经济数据平台
# 4. Kaggle等数据科学平台
# 示例代码框架:
# url = "https://api.example.com/data"
# headers = {"User-Agent": "Mozilla/5.0"}
# response = requests.get(url, headers=headers, timeout=10)
# if response.status_code == 200:
# data = response.json()
# return process_data(data)
pass
六、总结
6.1 核心要点
- 平均数:适用于对称分布,无异常值的数据
- 中位数:适用于偏斜分布,有异常值的数据
- 众数:适用于分类数据,寻找峰值
- 加权平均数:适用于数据重要性不同的场景
6.2 选择原则
决策流程:
- 检查数据分布(直方图、箱线图)
- 检查是否存在异常值
- 考虑数据的重要性是否相同
- 根据业务需求选择合适指标
6.3 实践建议
- 不要盲目使用平均数
- 偏斜分布优先使用中位数
- 不同重要性使用加权平均数
- 结合多个指标综合分析
- 可视化数据分布
作者:数据分析师
日期:2025年12月
版本:1.0
附录:完整代码说明
完整的Python实现代码请参考 data_statistics_analysis.py 文件。
主要功能:
- ✅ 统计指标计算(平均数、中位数、众数、加权平均数)
- ✅ 数据可视化(直方图、箱线图、密度图、对比图)
- ✅ 真实场景案例分析(房地产、工资、人口、收入)
- ✅ 自动生成图表并保存
- ✅ 支持在线数据获取(可扩展)
代码结构:
# 统计指标计算类
StatisticsCalculator
- arithmetic_mean() # 算术平均数
- weighted_mean() # 加权平均数
- median() # 中位数
- mode() # 众数
- calculate_all() # 计算所有指标
# 数据可视化类
DataVisualizer
- plot_distribution_comparison() # 分布对比图
- plot_weighted_comparison() # 加权对比图
# 数据分析函数
- analyze_real_estate() # 房地产分析
- analyze_salary() # 工资分析
- analyze_weighted_average() # 加权平均分析
- analyze_population_age() # 人口年龄分析

被折叠的 条评论
为什么被折叠?



