有意向获取代码,请转文末观看代码获取方式~
1 【MATLAB】EMD 信号分解算法
EMD 是一种信号分解方法,它将一个信号分解成有限个本质模态函数 (EMD) 的和,每个 EMD 都是具有局部特征的振动模式。EMD 分解的主要步骤如下:
-
将信号的局部极大值和极小值连接起来,形成一些局部极值包络线。
-
对于每个局部极值包络线,通过线性插值得到一条平滑的包络线。然后将原信号减去该包络线,得到一条局部振荡的残差信号。
-
对于该残差信号,重复步骤1和2,直到无法再分解出新的局部振荡模式为止。
-
将所有的局部振荡模式相加,得到原始信号的EMD分解。 EMD分解的优点是能够很好地处理非线性和非平稳信号,并且不需要预先设定基函数。因此,EMD分解在信号处理、图像处理和模式识别等领域得到了广泛的应用。
原始数据分解各分量示意图

2【MATLAB】EEMD信号分解算法
EEMD是对EMD的改进,可以克服EMD的一些缺点。EEMD的主要思想是通过对原始数据集进行多次噪声扰动,获得多个EMD分解的集合,然后将这些EMD集合求平均,得到最终的EEMD分解结果。EEMD的主要步骤如下:
-
对原始信号进行若干次随机噪声扰动,得到多个噪声扰动数据集。
-
对每个噪声扰动数据集进行EMD分解,得到多个EMD分解集合。
-
将每个 EMD 分解集合的对应分量进行平均,得到最终的 EEMD 分解结果。 EEMD 分解的优点是能够克服 EMD 的局限性,如基函数的选择和模态重叠等问题。同时,EEMD 还可以提供更好的信噪比和更高的分解精度。因此,EEMD 在信号处理、图像处理和模式识别等领域也得到了广泛的应用。
原始数据分解各分量示意图

原始数据分解各分量的箱型图

3【MATLAB】CEEMD信号分解算法
CEEMD是对EEMD的改进,它在EEMD的基础上引入了一个自适应的扩展方法,可以更好地解决EMD/EEMD中存在的模态混叠问题。CEEMD的主要步骤如下:
-
对原始信号进行若干次随机噪声扰动,得到多个噪声扰动数据集。
-
对每个噪声扰动数据集进行EMD分解,得到多个EMD分解集合。
-
对于每个EMD分解集合,通过一个自适应的扩展方法,将每个局部模态函数分配到它所属的固有模态函数上,消除模态混叠的影响。
-
将每个扩展后的 EMD 分解集合的对应分量进行平均,得到最终的 CEEMD 分解结果。 CEEMD 分解具有良好的局部性和自适应性,能够更准确地分解信号,同时避免了 EEMD 中的模态混叠问题。因此,CEEMD 在信号处理、图像处理和模式识别等领域也得到了广泛的应用。
原始数据分解各分量示意图

4【MATLAB】CEEMDAN信号分解算法
CEEMDAN是对CEEMD的进一步改进,它引入了一种自适应噪声辅助方法,可以更好地处理信号中的高频噪声。CEEMDAN的主要步骤如下:
-
对原始信号进行若干次随机噪声扰动,得到多个噪声扰动数据集。
-
对每个噪声扰动数据集进行CEEMD分解,得到多个CEEMD分解集合。
-
对于每个CEEMD分解集合,引入自适应噪声辅助方法,通过将噪声信号添加到每个局部模态函数中,增强信号的边缘和高频部分。
-
将每个自适应噪声辅助后的 CEEMD 分解集合的对应分量进行平均,得到最终的 CEEMDAN 分解结果。 CEEMDAN 分解具有更好的对高频噪声的适应性,能够更准确地分解信号。因此,CEEMDAN 在信号处理、图像处理和模式识别等领域也得到了广泛的应用。
原始数据分解各分量示意图

原始数据分解各分量的箱型图

5【MATLAB】ICEEMDAN信号分解算法
ICEEMDAN (Improved Complete Ensemble EMD with Adaptive Noise) 是一种基于经验模态分解(Empirical Mode Decomposition, EMD)的信号分解方法。与传统的 EMD 方法不同,ICEEMDAN 引入了自适应噪声和完整集成策略,以提高分解的稳定性和准确性。在 ICEEMDAN 方法中,首先采用 EMD 将原始信号分解成多个固有模态函数(Intrinsic Mode Functions, IMF),然后通过自适应噪声算法去除每个 IMF 中的噪声,最后将去噪后的 IMFs 进行完整集成,得到分解后的信号。相比于传统的 EMD 方法,ICEEMDAN 采用自适应噪声算法去除噪声,可以减少分解过程中的模态混叠问题。此外,完整集成策略可以保证分解后的信号保留了原始信号的全部信息,提高了分解的准确性。 ICEEMDAN 分解方法在信号处理、图像处理、语音处理等领域得到了广泛应用,具有较高的分解效果和可靠性。
原始数据分解各分量示意图

6【MATLAB】小波分解信号分解算法
小波分解算法是一种数学方法,用于将信号分解为不同频率的小波成分。这种算法基于小波函数,可以用于信号处理、图像压缩和数据压缩等领域。小波分解算法的基本思想是将一个信号分解成多个小波子带,每个小波子带代表了一个不同频率的小波成分。这些小波子带可以分别进行处理,例如滤波、降采样等操作,然后再进行重构,得到原始信号。小波分解算法的优点是可以提供更好的时频分辨率,对于瞬态信号和非平稳信号的处理效果更好。同时,小波分解算法也可以用于图像压缩和数据压缩,因为小波分解后的子带可以选择性地保留或舍弃,从而实现数据压缩。总之,小波分解算法是一种强大的信号处理技术,被广泛应用于信号处理、图像压缩和数据压缩等领域。
原始数据分解各分量示意图

7【MATLAB】VMD信号分解算法
VMD是一种新型的信号分解方法,它是通过使用变分推断方法将信号分解为一组局部振动模式,每个模式包含多个频率组件。VMD的主要步骤如下:
-
将原始信号进行多次低通滤波,得到多个频带信号。
-
对每个频带信号进行变分推断,得到该频带信号的局部振动模式。
-
将所有频带信号对应的局部振动模式相加,得到原始信号的 VMD 分解。 VMD 分解具有以下优点:能够自动提取信号的局部特征,避免了传统分解方法中需要手动选择基函数的问题;能够处理非线性和非平稳信号,并且不会产生模态重叠的问题。因此,VMD 在信号处理、图像处理和模式识别等领域也得到了广泛的应用。
原始数据分解各分量示意图

8【MATLAB】LMD信号分解算法
LMD (Local Mean Decomposition) 分解算法是一种信号分解算法,它可以将一个信号分解成多个局部平滑的成分,并且可以将高频噪声和低频信号有效地分离出来。LMD 分解算法是一种自适应的分解方法,可以根据信号的局部特征来进行分解,从而提高了分解的精度和效果。 LMD 分解算法的基本思想是,在原始信号中选取局部的极大值点和极小值点,然后通过这些极值点之间的平均值来计算一个局部平滑的成分。这个过程可以迭代进行,直到得到所有的局部平滑的成分。最后,将这些局部平滑的成分加起来,即可得到原始信号的分解结果。 LMD 分解算法具有以下优点:
-
自适应性强:LMD 分解算法可以根据信号的局部特征来进行分解,从而提高了分解的精度和效果。
-
分解精度高:LMD 分解算法可以将高频噪声和低频信号有效地分离出来,从而提高了分解的精度。
-
计算效率高:LMD 分解算法的计算量较小,可以快速地进行信号分解。总之,LMD 分解算法是一种高效、精确、自适应的信号分解算法,被广泛应用于信号处理、图像处理、语音处理等领域。
原始数据分解各分量示意图

9【MATLAB】RLMD信号分解算法
RLMD(Robust Local Mode Decomposition)是一种鲁棒的局部模态分解方法。它是通过在局部区间内对信号进行多项式拟合,提取局部特征,进而分解信号为多个局部模态函数的和。RLMD的主要步骤如下:
-
将原始信号分段,对每个局部区间内的信号进行多项式拟合,得到该局部区间的局部趋势。
-
将原始信号减去该局部区间的局部趋势,得到该局部区间内的局部振动模式。
-
对每个局部振动模式,重复步骤1和2,直到该局部振动模式变为平稳信号,得到该局部区间内的局部模态函数。
-
将所有局部区间内的局部模态函数相加,得到原始信号的 RLMD 分解。 RLMD 分解具有对噪声和异常值的鲁棒性,能够更准确地分解信号。同时,RLMD 还能够处理非平稳信号,具有较好的局部性和自适应性。因此,RLMD 在信号处理、图像处理和模式识别等领域也得到了广泛的应用。
原始数据分解各分量示意图

10【MATLAB】EWT 信号分解算法
EWT (Empirical Wavelet Transform) 分解算法是一种用于信号分解的方法,它可以将信号分解成多个局部频率的小波成分,从而实现对信号的高效处理和分析。EWT 分解算法基于小波分析和自适应滤波器,可以适应不同类型的信号,并且能够处理非平稳信号和非线性信号。 EWT 分解算法的基本思想是,首先将信号分解成多个局部频率的小波成分,然后通过自适应滤波器对每个小波成分进行去噪和平滑处理,最后将处理后的小波成分合并起来得到原始信号的分解结果。 EWT 分解算法具有以下优点:
-
适应性强:EWT 分解算法可以适应不同类型的信号,并且能够处理非平稳信号和非线性信号。
-
分解精度高:EWT 分解算法可以将信号分解成多个局部频率的小波成分,从而提高了分解的精度。
-
计算效率高:EWT 分解算法的计算量较小,可以快速地进行信号分解。总之,EWT 分解算法是一种高效、精确、适应性强的信号分解算法,被广泛应用于信号处理、图像处理、语音处理等领域。
原始数据分解各分量示意图

11【MATLAB】MLPTDenoise信号分解算法
MLPTDenoise(Multi-Level and Multi-Scale Principal Trend Denoising)是一种多级、多尺度主导趋势去噪方法。它是通过将信号分解为多个层次和尺度的主导趋势,进而去除噪声和冗余信息。MLPTDenoise的主要步骤如下:
-
对原始信号进行小波变换,得到多个尺度的小波系数。
-
对每个小波系数进行主导趋势分解,得到该尺度上的主导趋势和细节信号。
-
将每个尺度的主导趋势相加,得到该层次的主导趋势。
-
将该层次的主导趋势作为信号的一部分,将细节信号作为噪声,对噪声进行滤波去除。
-
将去除噪声后的信号进行重构,得到该层次的去噪信号。
-
重复步骤 2~5,直到所有层次的信号都被分解和去噪,得到原始信号的 MLPTDenoise 分解。 MLPTDenoise 分解具有对噪声和冗余信息的较好抑制效果,同时能够保留信号的主导趋势信息,避免了传统方法中的信号失真问题。因此,MLPTDenoise 在信号处理、图像处理和模式识别等领域也得到了广泛的应用。
原始数据分解各分量示意图

12【MATLAB】MODWT信号分解算法
MODWT(Maximal Overlap Discrete Wavelet Transform)是一种最大重叠离散小波变换方法,它是通过多级小波分解,将信号分解为不同尺度和频率的小波系数。MODWT的主要步骤如下:
-
对原始信号进行多级小波分解,得到多个尺度和频率的小波系数。
-
对每个尺度的小波系数进行重构,得到重构系数。
-
对每个尺度的重构系数进行小波变换,得到该尺度的小波系数。
-
将所有尺度的小波系数相加,得到原始信号的 MODWT 分解。 MODWT 分解具有对信号的多尺度分析能力,能够提供不同尺度和频率的信号信息。同时,MODWT 还能够避免传统小波变换中的信号失真问题,具有比较好的重构能力。因此,MODWT 在信号处理、图像处理和模式识别等领域也得到了广泛的应用。
原始数据分解各分量示意图

13【MATLAB】辛几何模态分解信号分解算法
辛几何模态分解(Symplectic Modal Analysis,SMA)是一种用于辛结构系统(如机械系统、光学系统等)振动分析的方法。它基于辛几何理论和模态分析方法,能够在保持系统辛结构的前提下,分解系统振动模态,并得到相应的振动频率和阻尼比。具体来说,辛几何模态分解首先将辛结构系统的运动方程转化为哈密尔顿形式,并通过辛几何积分方法求解系统的运动轨迹。然后,通过对系统轨迹进行奇异值分解(SVD),可以得到系统的振动模态及其阻尼比和振动频率。相比于传统的有限元方法,辛几何模态分解能够更准确地描述系统的振动行为,并且可以避免传统方法中出现的不物理的振动模态。辛几何模态分解在机械系统、光学系统、天体力学等领域有着广泛的应用,例如用于光学望远镜的振动分析、用于机械系统的结构优化等。
原始数据分解各分量示意图

14【MATLAB】 SSA奇异谱分析信号分解算法
SSA奇异谱分析(Singular Spectrum Analysis)是一种处理非线性时间序列数据的方法,可以对时间序列进行分析和预测。
它基于构造在时间序列上的特定矩阵的奇异值分解(SVD),可以从一个时间序列中分解出趋势、振荡分量和噪声。
具体流程如下:
-
根据原始时间序列构建轨迹矩阵X XX。
-
对矩阵X进行奇异值分解:X = ∑ i = 1 r σ i U i V i T X=\sum_{i=1}^{r} \sigma_i U_i V_{i}^TX=∑i=1rσiUiViT 。
-
按奇异值生成r rr个子矩阵:X i = σ i U i V i T X_i = \sigma_i U_i V_{i}^TXi=σiUiViT 。
-
根据某一分组原则将子矩阵X i X_iXi分为m mm个组。
-
对子矩阵X i X_iXi进行对角均值化处理得到子序列。
-
对m mm个组中的子序列相加得到分组子序列。
以上就是SSA奇异谱分析信号分解算法的基本步骤。
Toeplitz 法计算的协方差矩阵 C

trajectory法计算的协方差矩阵C

特征值和特征向量示意图

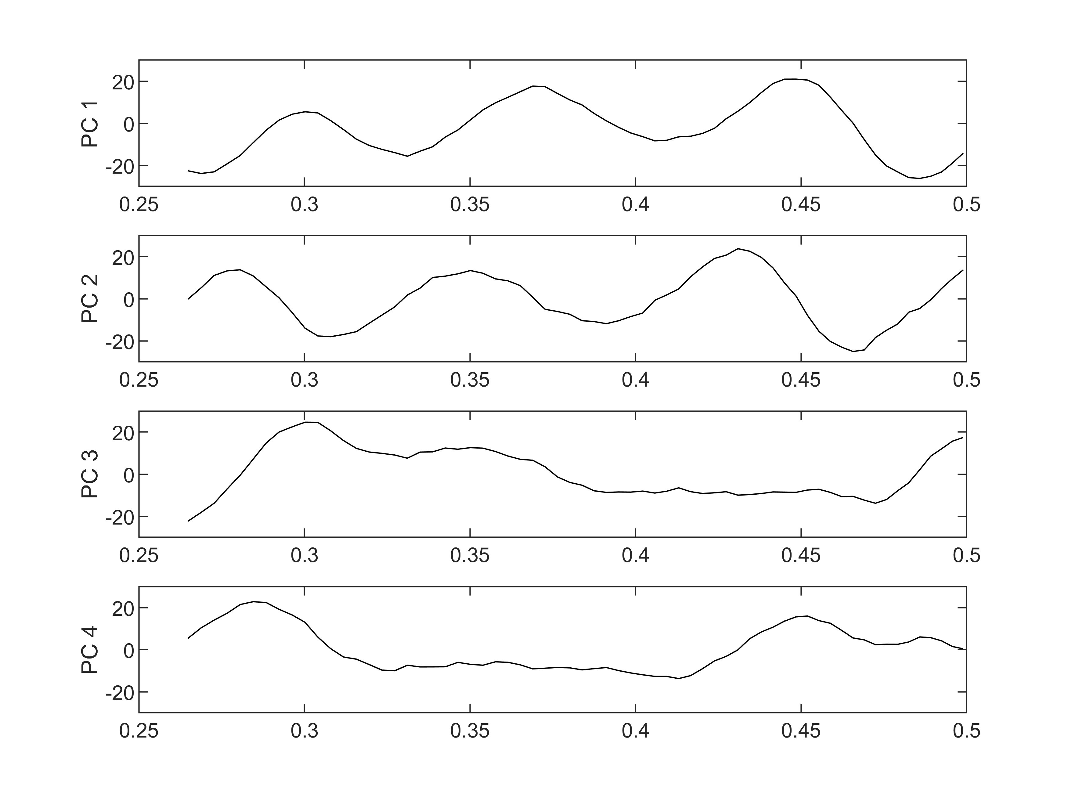
前四大主成分

前四大重构成分

重建和原始时间序列对比

15【MATLAB】 多元变分模态分解MVMD信号分解算法
多元变分模态分解(MVMD)是一种信号分解方法,可以自适应地实现信号的频域剖分及各分量的有效分离。
MVMD算法的具体步骤如下:
-
假设原始信号S被分解为K个分量μ,保证分解序列为具有中心频率的有限带宽的模态分量,同时各模态的估计带宽之和最小,构造变分问题。
-
引入惩罚参数α、Lagrange乘法算子λ,将约束变分问题转变为非约束变分问题,得到增广Lagrange表达式。
-
初始化参数μ1 、ω2 、λ1 和n,n初值设为0。
-
设置循环过程,令n=n+1,μk 、ωk、λt依据下式更新值。
-
当分量满足式(6)时,求解完毕。
以上是多元变分模态分解(MVMD)信号分解算法的基本介绍。
原始数据分解各分量示意图

【MATLAB】 多元变分模态分解MVMD信号分解算法
https://mbd.pub/o/bread/ZJ6bkphr
16【MATLAB】逐次变分模态分解SVMD信号分解算法
逐次变分模态分解(Sequential Variational Mode Decomposition,简称SVMD)是一种用于信号处理和数据分析的方法。它可以将复杂的信号分解为一系列模态函数,每个模态函数代表了信号中的一个特定频率成分。
SVMD的主要目标是提取信号中的不同频率成分,并将其重构为原始信号。它的基本原理是通过变分模态分解的方式将信号分解为多个模态函数。在每个迭代步骤中,SVMD通过最小化信号与模态函数之间的差异来更新模态函数,这个过程会不断重复,直到收敛为止。最终得到的模态函数可以用于重构原始信号。
SVMD的另一个关键特点是逐次分解。在每个迭代步骤中,SVMD会从信号中提取出一个主要的频率成分,并将其从信号中剔除。这样,每个迭代步骤都会提取出信号中的一个频率成分,直到所有的频率成分都被提取完毕。这种逐次分解的方式可以更好地捕捉到信号中的不同频率成分。
总的来说,SVMD是一种有效的信号分解方法,它可以自适应地实现信号的频域剖分及各分量的有效分离。
原始数据分解各分量示意图

17【MATLAB】 TVFEMD信号分解算法
TVFEMD (Time-Variant Filtered Empirical Mode Decomposition) 是一种信号分解算法,它是基于 EMD (Empirical Mode Decomposition) 方法发展而来的。
EMD是一种自适应的数据分析方法,可以有效地将复杂的信号分解为一系列固有模式函数(Intrinsic Mode Function,简称IMF)。然而,EMD在处理非平稳信号时,存在一些问题,如间歇性和模态混淆。为了解决这些问题,TVFEMD 方法在 EMD 的基础上引入了时变滤波器。
TVFEMD 方法的核心是采用时变滤波技术完成筛选过程,通过充分促进瞬幅和频率信息,自适应地设计了局部截止频率。这种方法可以根据信号的特性自适应地调整滤波器的频率响应,从而更好地提取出信号中的不同频率成分。
为了解决间歇性问题,TVFEMD 引入了一种截止频率调整算法。这种算法可以根据信号的局部特性调整滤波器的截止频率,从而更好地捕捉到信号中的高频成分。
为了提高低采样率下的性能,TVFEMD 提出了一种固有模式函数的带宽标准。这种方法可以根据信号的特性自适应地调整固有模式函数的带宽,从而更好地提取出信号中的低频成分。
总的来说,TVFEMD 是一种完全自适应的信号分解方法,适合于线性和非平稳信号的分析。与 EMD 相比,TVFEMD 可以提高频率分离性能和低采样率下的稳定性,并具有抗噪声干扰的鲁棒性。
原始数据分解各分量示意图

18【MATLAB】 稳健的经验模式分解REMD信号分解算法
稳健的经验模式分解(Robust Empirical Mode Decomposition,简称REMD)是一种改进的经验模式分解方法,它能够应对一些EMD无法应对的问题,例如数据过于嘈杂,或者数据存在不规则的离群值等。
REMD是通过采用自适应筛分停止标准(SSSC)来实现的。SSSC是一种软筛选停止标准,它通过从混合信号中提取出一组单分量信号(称为固有模式函数IMF),来自动停止EMD的筛分过程。REMD方法在实现过程中,先使用几个工具箱中的函数,然后编写自己的代码,以实现整个算法。
REMD算法的步骤具体包括以下几个方面:
-
数据预处理:由于实际信号中可能存在噪声或异常值,需要对原始信号进行预处理。REMD方法采用稳健性统计方法,如中位数滤波器,对原始信号进行去噪和异常值处理。
-
经验模式分解:将预处理后的信号进行经验模式分解(EMD),得到一系列固有模式函数(IMF)。在EMD过程中,采用自适应筛分停止标准(SSSC)来控制分解的停止,以避免过度分解和噪声干扰。
-
信号重构:将分解得到的IMF进行叠加,得到原始信号的近似表示。在叠加过程中,可以采用加权平均或选用代表性的IMF进行重构。
-
稳健性检验:为了检验重构信号的稳健性,REMD方法采用多种稳健性统计检验方法,如Jackknife重抽样、bootstrap重抽样等,以评估重构信号的精度和稳定性。
-
结果输出:将重构信号和稳健性检验结果输出,并进行分析和解释。
REMD算法的优势在于其稳健性和自适应性。它能够适应各种复杂信号的特性,有效避免噪声干扰和离群值的影响,得到更为准确和可靠的重构信号。REMD方法在各个领域都有广泛的应用,如工程、生物医学、金融等,用于信号处理、特征提取、时间序列分析等方面。
以上是REMD信号分解算法的基础介绍,如需了解更多信息,可以查阅相关文献或咨询专业人士。
原始数据分解各分量示意图

19 Go_emd信号分解算法
Go_emd信号分解算法是一种基于经验模式分解(EMD)的信号分解算法。EMD是一种基于信号分解的算法,可以将一个信号分解成多个本征模态函数(EMD)的和,从而实现对信号的分析和处理。
EMD分解算法的基本思想是将一个信号分解成多个EMD,然后对每个EMD进行处理,最后将它们合并成原始信号。这种分解方法可以有效地提取信号的局部特征,从而实现对信号的分析和处理。
Go_emd信号分解算法的具体步骤如下:
-
寻找信号的全部极值点,通过三次样条曲线将局部极大值点连成上包络线,将局部极小值点连成下包络线。上、下包络线包含所有的数据点。
-
由上包络和下包络线的平均值m1(t),得出h1(t)=x(t)-m1(t)。若h1(t)满足IMF的条件,则可认为h1(t)是x(t)的第一个IMF分量。
-
用原始信号减IMF1,作为新的原始信号,再通过上述的筛选分析,可以得到IMF2,以此类推,完成EMD分解。
总之,Go_emd信号分解算法是一种有效的信号分解方法,可以用于处理和分析各种不同类型的信号。
附出图效果如下:




20 极点对称模态ESMD信号分解算法
ESMD(Extreme-Point Symmetric Mode Decomposition)信号分解算法是一种创新性的数学技术,其基本思想是通过寻找数据序列中的极大值点和极小值点,并以此为基础进行信号分解。该方法在观测数据的趋势分离、异常诊断和时-频分析方面具有独特优势,并已广泛应用于大气和海洋科学、信息科学、数学、生命科学、经济学、生态学、地震学和机械工程等领域。
ESMD方法与目前盛行的小波变换方法存在很大不同,各有侧重。小波变换的有基分解模式在信号的编码、储存和压缩等数据处理问题中具有明显优势,而ESMD方法数据自适应的无基分解模式更适用于科学探索。
ESMD方法的基本步骤包括筛选过程和模态分解过程。筛选过程是通过数据的特征时间尺度来获得本征波动模式,然后分解数据。具体来说,首先找出原数据序列X(t)所有的极大值点并用三次样条插值函数拟合形成原数据的上包络线,然后找出所有的极小值点,并将所有的极小值点通过三次样条插值函数拟合形成数据的下包络线。上包络线和下包络线的均值记作ml,将原数据序列X(t)减去该平均包络ml,得到一个新的数据序列hl:X(t)-ml=hl。由原数据减去包络平均后的新数据,若还存在负的局部极大值和正的局部极小值,说明这还不是一个本征模函数,需要继续进行“筛选”。
模态分解过程则是将筛选得到的数据序列进行极点对称模态分解。首先,将筛选得到的数据序列进行自相关分析,确定其自相关函数的极值点;然后,根据自相关函数的极值点确定该数据序列的各个本征模态函数(IMF),并将数据序列表示为这些本征模态函数的线性组合。
总的来说,ESMD是一种非常有效的信号分解算法,它通过对数据进行特征时间尺度的分析和筛选,能够准确地提取出数据中的本征波动模式,并将其分解为一系列的本征模态函数。这种算法不仅具有很高的计算效率,而且能够适应各种复杂的数据结构和分析需求,因此在科学研究和工程应用中具有广泛的应用前景。
附出图效果如下:

21 ALO蚁狮算法优化的VMD信号分解算法
ALOVMD信号分解算法是一种基于VMD的优化算法,通过引入蚁狮优化算法对VMD进行优化。该算法的原理是将信号分解成多个小尺度的自适应信号,称为内模态函数(IMF),通过在每个IMF中找到正交模态,尽可能多地解决模态耗尽和信号重叠问题。
VMD的分解方法通过在每个IMF中找到正交模态,尽可能多地解决了模态耗尽和信号重叠问题。VMD算法的关键在于对信号进行调节。通过将信号转换为频率域,每个频率都只有一个模态,这个模态在整个频带内都是正交的。然后将分解后的信号重新映射回时间域,生成一组正交且不重叠的信号模态。整个过程可以用以下方程表示:
S(t) = ∑k=1K Uk(t)
其中Uk(t)为K个基于傅里叶变换的正交信号模态,它们满足以下约束条件:
∣∣U k ∣∣2 = 1, ∣U^k(f)∣2 − λ ≤ 0, ∑ k = 1 K λ k = 1
其中∣∣Uk∣∣2为模态Uk的能量,U^k(f)为Uk(t)的Fourier变换,λ为平衡系数。这些模态通过以下迭代过程求解:
min{u^k(f)} ∑i=1N ∣s^(f i) − ∑ k = 1 K u^k(f i) a^k ∣2 + λ ∑ k = 1 K (||u^k(f)||2 − 1)2
其中 s (t) 为原始信号,s^(f) 为它的 Fourier 变换,u^k (f) 为频率域的正交模态。
在ALOVMD信号分解算法中,蚁狮优化算法被用来优化VMD的模态分解。蚁狮优化算法是一种启发式优化算法,它模拟了自然界中蚁狮搜寻食物的行为。这种算法通过在搜索空间中随机选择一些位置作为初始解,然后根据这些解的优劣进行迭代优化,直到找到最优解或满足一定精度要求为止。
在ALOVMD算法中,蚁狮优化算法被用来优化VMD的模态中心频率。具体来说,每个模态的中心频率被视为一个解,通过蚁狮优化算法来寻找最优的模态中心频率组合,以使得VMD的分解效果最好。在每次迭代过程中,一些“蚂蚁”(即模态中心频率的候选解)会被随机选择出来,然后根据它们的优劣进行更新。最终,最优的模态中心频率组合会被选为VMD的输入参数,进行信号的分解。
通过引入蚁狮优化算法,ALOVMD 信号分解算法可以在一定程度上解决 VMD 算法中的模态重叠和模态耗尽问题,提高信号分解的效果。同时,蚁狮优化算法的并行性和快速性也提高了整个信号分解过程的效率。
除了解决模态重叠和模态耗尽问题,ALOVMD信号分解算法还可以应用于其他领域。例如,可以应用于机械故障诊断中,对机器的振动信号进行分解和分析,以检测和识别机器的故障。还可以应用于语音信号处理中,对语音信号进行分解和分析,以实现语音识别、语音合成等任务。此外,ALOVMD信号分解算法还可以应用于图像处理中,对图像进行分解和分析,以实现图像分割、图像压缩等任务。
总之,ALOVMD信号分解算法是一种有效的信号分析和处理方法,可以应用于许多领域。通过引入蚁狮优化算法对VMD进行优化,可以提高信号分解的效果和效率。
蚁狮优化VMD信号分解算法的优化效果可以通过以下方法进行评估:
-
对比实验:将蚁狮优化VMD算法与其他传统的VMD算法进行比较,评估它们的分解效果和性能。可以选取不同的信号进行测试,以便得到更全面的评估结果。
-
评价指标:针对信号分解的效果,可以选取一些评价指标进行评估,如模态函数的中心频率、带宽、峰值等。通过比较蚁狮优化VMD算法与其他算法在这些指标上的表现,可以评估它们的分解效果。
-
实际应用场景:蚁狮优化VMD算法在实际应用场景中的表现也是评估其优化效果的重要手段。可以将算法应用于实际的信号处理任务中,如机械故障诊断、生物医学信号处理等,观察其在这些场景中的表现和效果。
总之,通过对比实验、评价指标和实际应用场景的评估,可以全面地评估蚁狮优化VMD信号分解算法的优化效果。
附出图效果如下:


22 GA遗传算法优化的VMD信号分解算法
遗传算法(GA)是一种智能优化算法,可以用于优化变分模态分解(VMD)的参数。VMD是一种有效的信号分解方法,可以将信号分解成一系列具有不同频率和振幅的模态分量。在VMD中,存在一些参数需要根据具体问题进行选择。选择合适的参数组合是利用VMD算法进行信号分解的关键。
利用遗传算法求解优化问题时,主要需要经过6个步骤:编码、初始群体生成、适应度值评价检测、选择、交叉、变异,使得种群进化为新一代更好适应性的种群。在优化VMD参数时,通过引入遗传算法,借助于适应度函数对目标函数在解空间进行全局并行随机搜索,快速准确地获取优化参数。
需要注意的是,遗传算法是一种启发式优化算法,它并不保证找到全局最优解,而是以概率的方式在解空间中搜索最优解。因此,在某些情况下,可能会陷入局部优化的僵局。为了避免这种情况的发生,可以尝试使用多种不同的初始群体,或者调整遗传算法的参数设置,以获得更好的优化效果。
总之,遗传算法优化VMD参数可以获得较好的信号分解效果,但在实际应用中需要注意参数的选择和算法的调整,以避免陷入局部优化的僵局。
GAVMD(Genetic Algorithm-based VMD)是一种基于遗传算法的变分模态分解(VMD)优化方法。它将遗传算法和VMD相结合,通过优化VMD的参数,提高信号分解的效率和准确性。
具体来说,GAVMD首先使用遗传算法对VMD的参数进行编码,然后根据适应度函数评价每个个体的适应度值。适应度函数通常是根据信号分解的效果来设计的,以最大化分解信号的准确性和可靠性。接着,算法进行选择、交叉和变异等操作,以逐步逼近最优解。最终,算法输出最优的VMD参数,用于信号分解。
GAVMD具有全局搜索能力强、鲁棒性好的优点,可以有效地解决VMD参数选择困难的问题,并提高信号分解的准确性和效率。同时,GAVMD也具有遗传算法的一些缺点,如计算量大、运行时间长等。因此,在应用GAVMD时,需要根据具体问题选择合适的参数和方法,以获得更好的优化效果。
附出图效果如下:


23 GWO灰狼算法优化的VMD信号分解算法
GWO灰狼算法优化的VMD信号分解算法是一种先进的信号分解技术,它结合了灰狼优化算法(GWO)和变分模态分解(VMD)算法的优点。这种算法可以有效地将信号分解成不同的模态,从而更好地分析和理解信号的特性。
VMD是一种基于变分方程的信号分解技术,它将信号分析过程转化为求解变分方程的过程。在进行信号分析时,VMD算法可以将一段时序信号分解成不同频段的几个子信号,其分解效果的好坏由分解层数K和二次惩罚系数α两个参数决定。因此,为了得到最佳的分解效果,需要确定这两个参数的值。
GWO是一种受自然界灰狼领导层级和狩猎机制启发的优化算法。在GWO中,α为最优解,β和δ为次优解,ω负责寻找猎物。GWO算法通过模拟灰狼的狩猎行为来寻找问题的最优解,具有结构简单、运行速度快、无需调整参数等优点。
将GWO算法与VMD算法结合,可以有效地优化VMD的两个关键参数——惩罚因子α和模态分解数K。GWO算法通过最小化包络熵或最小样本熵作为适应度函数,来寻找最佳的α和K值。通过这种方式,GWO-VMD算法可以更加准确地分解信号,得到更优的分解效果。
总之,GWO 灰狼算法优化的 VMD 信号分解算法是一种先进的信号处理技术,它可以有效地将信号分解成不同的模态,并得到更优的分解效果。通过结合 GWO 和 VMD 算法的优点,该算法可以在信号处理领域中发挥重要的作用。
GWO-VMD算法的具体实现过程如下:
-
初始化GWO算法的参数,包括狼群数量、迭代次数、α和ω等。
-
将VMD的惩罚因子α和模态分解数K作为优化变量,将最小化包络熵或最小样本熵作为适应度函数,使用GWO算法进行优化。
-
根据GWO算法的更新规则,更新每个狼的位置和速度,并计算每个狼的适应度值。
-
根据适应度值,更新最优解、次优解和一般解。
-
判断是否达到终止条件,如果未达到,则返回步骤3;如果达到,则输出最优解和次优解对应的惩罚因子α和模态分解数K。
-
根据最优解和次优解对应的惩罚因子α和模态分解数K,使用VMD算法对信号进行分解。
-
分析得到的各个模态,对信号进行进一步处理或分析。
需要注意的是,在实现GWO-VMD算法时,需要根据具体问题选择合适的适应度函数和终止条件。此外,为了提高算法的效率和准确性,可以尝试不同的GWO算法参数设置和不同的VMD参数设置,以找到最佳的参数组合。
总之,GWO-VMD算法是一种有效的信号分解技术,它可以准确地将信号分解成不同的模态,并得到更优的分解效果。通过结合GWO和VMD算法的优点,该算法在信号处理领域中具有广泛的应用前景。
除了上述提到的应用前景,GWO-VMD算法还可以应用于其他领域,例如机械故障诊断、电力系统分析、图像处理等。在这些领域中,信号通常包含多个模态或频率成分,而GWO-VMD算法可以准确地分解这些模态或频率成分,从而帮助人们更好地理解和分析信号的特性。
此外,GWO-VMD算法还可以与其他算法进行结合,以进一步提高信号分解的效果。例如,可以将GWO-VMD算法与小波变换、傅里叶变换等算法进行结合,以得到更全面的信号分解结果。
总之,GWO-VMD算法是一种具有广泛应用前景的信号分解技术,它可以准确地分解信号并得到更优的分解效果。通过结合GWO和VMD算法的优点,该算法在信号处理领域中具有重要的应用价值。
附出图效果如下:


24 MPA海洋捕食者算法优化的VMD信号分解算法
MPA(Marine Predators Algorithm)是一种基于海洋捕食者行为的进化算法,用于解决优化问题。该算法受到海洋生态系统中捕食者和被捕食者之间相互作用的启发,以模拟这些行为的方式来搜索解空间中的最优解。
MPA 算法包括以下关键概念:
-
个体:在 MPA 中,个体表示问题的潜在解决方案。每个个体都有一个状态,通常表示为一组参数或变量。
-
海洋区域:问题的解空间被视为一个海洋区域,个体在其中搜索最佳解。
-
捕食者:捕食者代表搜索过程中的个体。它们试图找到问题的最优解,就像捕食者寻找食物一样。
-
猎物:猎物是个体的候选解,可能包括潜在的最佳解。捕食者试图追逐猎物来改善自己的位置。
-
觅食行为:MPA 算法的关键思想之一是觅食行为。捕食者通过模拟捕食的行为来搜索解空间。这包括选择目标(猎物)、追逐、抓取(评估解的质量)和可能的逃逸。
MPA 算法的一般步骤如下:
-
初始化种群:创建一群捕食者个体,每个个体代表一个潜在解。
-
迭代搜索:在每次迭代中,每个捕食者根据觅食行为选择目标猎物,然后评估其质量。如果猎物比当前位置更好,捕食者会移动到该位置。
-
更新个体位置:在每轮迭代后,更新每个捕食者的位置。这模拟了捕食者在搜索中的移动。
-
结束条件:根据特定的结束条件(例如达到最大迭代次数或找到满意的解)停止搜索。
MPA 算法可以用于解决各种优化问题,包括函数优化、参数调整、机器学习模型训练等。它的灵感来源于自然界中捕食者和被捕食者的互动,帮助优化问题的求解,尤其在需要全局搜索或避免陷入局部最优解的情况下表现出色。
VMD(Variational Mode Decomposition)是一种用于信号处理的先进方法,它可以用于信号的频域分解和去噪。VMD算法基于变分模态分解理论,通过优化信号的模态函数来提取信号中的不同成分。
VMD 算法的优点包括:
-
适用于非线性和非平稳信号的处理。
-
可以处理多模态信号,如同时存在多个频率成分的信号。
-
通过优化模态函数,能够更好地提取信号中的成分。
-
可以用于信号去噪和重建。
MPA 算法和 VMD 算法的结合,可以实现优势互补。MPA 算法的全局搜索能力可以辅助 VMD 算法更好地找到最优解,而 VMD 算法的局部搜索能力则可以细化 MPA 算法的搜索结果。这种结合可以进一步提高信号处理的效率和准确性。
具体来说,MPA-VMD 的实现步骤如下:
-
使用 MPA 算法初始化 VMD 的模态函数。
-
利用 VMD 算法对信号进行分解,将信号分解为多个模态函数之和。
-
对每个模态函数进行去噪处理,例如可以使用小波变换等方法。
-
将去噪后的模态函数重新组合成信号。
-
重复步骤 2-4 直到达到停止条件。
这种结合算法的优点在于,它可以利用 MPA 算法的全局搜索能力找到较好的初始解,然后利用 VMD 算法的局部搜索能力进行精细调整,从而得到更好的信号处理结果。同时,这种结合算法还可以处理多模态信号,并能够实现信号的去噪和重建。
除了上述提到的优点,MPA-VMD算法还有一些其他的优点。
首先,MPA-VMD算法能够更好地处理非线性和非平稳信号。这是因为MPA算法使用捕食者觅食行为来搜索最优解,这种行为可以在更大范围内寻找解,而不是局限于局部搜索。同时,VMD算法的模态函数优化也可以更好地提取信号中的非线性成分。
其次,MPA-VMD算法可以提高信号处理的稳定性和鲁棒性。由于MPA算法的全局搜索能力可以找到较好的初始解,VMD算法的局部搜索能力可以进一步优化解,因此可以有效避免陷入局部最优解的情况,提高解的质量和稳定性。
此外,MPA-VMD算法还可以与其他信号处理方法进行结合,以实现更多的功能和应用。例如,可以将MPA-VMD与机器学习、神经网络等算法结合,用于自动化分类、识别和预测等问题;也可以将MPA-VMD与优化算法结合,用于解决更复杂的优化问题。
总之,MPA-VMD算法是一种先进的信号处理方法,它可以实现信号的频域分解和去噪,处理多模态信号,提高信号处理的稳定性和鲁棒性,并且可以与其他算法结合实现更多的功能和应用。这种算法在信号处理领域具有广泛的应用前景和发展潜力。
附出图效果如下:


25 WOA鲸鱼算法优化的VMD信号分解算法
WOA-VMD是一种将信号分解成一系列模态函数的方法,它结合了启发式优化算法鲸鱼优化算法(WOA)和变分模态分解(VMD)算法。
VMD是一种基于变分原理的数据分解方法,能够将信号分解成一系列的模态函数。每个模态函数代表了信号的一个特定频率范围的成分,这些成分可以被认为是信号的不同模态。通过对这些模态函数进行重构,可以实现信号的去噪和分析。
WOA是一种启发式优化算法,灵感来源于鲸鱼的迁徙行为。它通过模拟鲸鱼的搜索和迁徙过程来寻找最优解。WOA具有全局收敛性和较强的搜索能力,适用于各种优化问题。
在WOA-VMD中,首先输入待去噪的信号,然后初始化VMD的参数,包括迭代次数、鲸鱼算法的参数等。使用鲸鱼算法优化VMD的参数,得到最优的模态函数。对得到的模态函数进行重构,得到去噪后的信号。
VMD算法的基本原理可以表示为一个约束变分问题的求解,构造的约束变分问题表示为:uK为VMD分解后的第K个IMF分量;ωK为第K个IMF分量的瞬时频率;δ(t)为狄拉克函数;∗为卷积符号; 引入二次惩罚因子α和拉格朗日乘子λ使变分问题不受约束,构造的增广拉格朗日函数如下:采用乘子交替方向算法交替更新得到K个IMF及其对应的中心频率。
K和α影响着VMD的分解性能。若设置的K较小,则信号的多个分量可能同时包含在1个模态中;若K较大,则会导致1个分量包含在多个模态中,迭代得到的中心频率也会重叠。对α而言,若α很大,则带宽限制就会很窄,从而导致有用的频率成分被消除;反之,冗余频率成分将会被保留下来。
因此,本文提出使用鲸鱼优化算法来优化确定最佳参数组合 (K,α),以达到更好的去噪效果。
WOA-VMD算法的具体步骤如下:
-
初始化:给定待去噪的信号x(t),设定VMD的参数,包括迭代次数K、惩罚因子α、拉格朗日乘子λ以及鲸鱼算法的参数,如种群大小、搜索次数等。
-
构建目标函数:根据原始信号和VMD的参数,构建一个目标函数,该函数用于评估去噪效果的好坏。目标函数可以包括重构误差、信号峰值等指标。
-
初始化模态函数:根据原始信号和VMD的参数,初始化模态函数集合{u1(t), u2(t), ..., uk(t)}。每个模态函数代表了信号的一个特定频率范围的成分。
-
优化参数:使用鲸鱼算法,根据目标函数,对VMD的参数进行优化。鲸鱼算法通过模拟鲸鱼的搜索和迁徙过程来寻找最优解。在每次迭代中,根据鲸鱼的搜索经验更新最优解,并判断是否满足停止条件,如达到最大迭代次数或目标函数值小于设定的阈值。
-
更新模态函数:根据优化后的VMD参数,更新模态函数集合{u1(t), u2(t), ..., uk(t)}。
-
重构信号:根据更新后的模态函数集合,重构去噪后的信号y(t)。
-
判断停止条件:判断是否满足停止条件,如达到最大迭代次数或目标函数值小于设定的阈值。如果满足停止条件,则输出去噪后的信号y(t);否则,返回步骤4继续迭代优化。
通过以上步骤,WOA-VMD算法可以在全局范围内寻找最优的模态函数和VMD参数,从而得到更好的去噪效果。相比传统的VMD算法,WOA-VMD算法具有更强的全局搜索能力和更好的鲁棒性,可以更好地处理复杂的信号去噪问题。
除了上述提到的步骤,WOA-VMD算法还有一些关键点需要注意:
-
初始化VMD参数:VMD的参数包括迭代次数K、惩罚因子α、拉格朗日乘子λ以及模态函数的中心频率。这些参数的初始化对去噪效果有很大的影响。在WOA-VMD算法中,可以使用鲸鱼算法来优化这些参数,以达到更好的去噪效果。
-
构建目标函数:目标函数是评估去噪效果好坏的指标。在WOA-VMD算法中,可以根据重构误差、信号峰值等指标来构建目标函数。通过优化目标函数,可以使得WOA-VMD算法在全局范围内寻找最优的模态函数和VMD参数。
-
更新模态函数:在每次迭代中,使用优化后的VMD参数更新模态函数集合{u1(t), u2(t), ..., uk(t)}。更新模态函数的过程包括中心频率的更新和模态函数的更新。中心频率的更新可以根据鲸鱼算法的搜索经验进行,模态函数的更新可以根据变分原理进行。
-
重构信号:根据更新后的模态函数集合重构去噪后的信号y(t)。重构信号的过程可以通过卷积和积分操作实现。
-
判断停止条件:判断是否满足停止条件,如达到最大迭代次数或目标函数值小于设定的阈值。如果满足停止条件,则输出去噪后的信号y(t);否则,返回步骤4继续迭代优化。
通过以上步骤和关键点,WOA-VMD算法可以在全局范围内寻找最优的模态函数和VMD参数,从而得到更好的去噪效果。相比传统的VMD算法,WOA-VMD算法具有更强的全局搜索能力和更好的鲁棒性,可以更好地处理复杂的信号去噪问题。
附出图效果如下:


本文介绍了多种基于MATLAB的信号分解算法,如EMD、EEMD、CEEMD等,阐述了各算法的步骤、优点及应用领域。还介绍了用GA、GWO、MPA、WOA等算法优化VMD信号分解算法,结合不同算法优势,提高信号处理效率、准确性和稳定性,在多领域有广泛应用前景。
1065

被折叠的 条评论
为什么被折叠?



