文章目录
1. 前言
本系列笔记基于 清华大学出版社的《数据结构:用面向对象方法与C++语言描述》第二版进行学习。
2. 概念
线性表是一个有序序列,意味着每个表项是相继排列的,且每两个相邻表项之间都有直接前驱和直接后继的关系。线性表的第一个表项成为表头,第二个表项成为表尾。
3. 分类及父类实现
线性表的存储表示:顺序存储和链表存储方式。
线性表的类定义
template<class T> // 模板类
class LinearList {
public:
LinearList();
~LinearList();
virtual int Size() const = 0; // 获取表能存储的最大长度
virtual int Length() const = 0; // 获取表当前长度
virtual int Search(T& x)const = 0; // 搜索给定值X,返回表项
virtual int Locate(int i)const = 0; // 搜索第i个元素的位置,返回表项序号
virtual bool getData(int x, T& x)const = 0; // 获取第i的表项的值,存储在数据x中
virtual void setData(int i, T& x) = 0; // 设置第i个表项的值x
virtual bool Insert(int i, T& x) = 0; // 在第i个表项后插入x
virtual bool Remove(int i, T& x) = 0; // 删除第i个表项
virtual bool IsEmpty() const = 0; // 判断表为空
virtual bool IsFull() const = 0; // 判断表是否已满
virtual void Sort() = 0; // 排序
virtual void input() = 0; // 输入
virtual void output() = 0; // 输出
virtual LinearList<T> operator=(LinearList<T>& linearList) = 0; // 复制
};
template 是模板类,一但声明了模板(template < typename T> ),就可以将类型参数用于类的成员函数和成员变量了。换句话说,原来使用 int、float、char 等内置类型的地方,都可以用类型参数来代替。
virtual int Locate(int i)const = 0;
virtual 是虚构函数,是面向对象属性的多态之一,简单来说就是在父类中声明该函数,在子类中进行实现。
const 和 = 0,参考
3.1 顺序表及其实现
顺序表是线性表基于数组的存储表示。
3.1.1 定义和特点
定义:把线性表中所有的表项按照其逻辑顺序依次存储到从计算机存储中指定存储位置开始的一块连续存储空间中。
特点:①表项的逻辑顺序和物理顺序一致,即第i个表项存储在第i个物理位置。②可以进行顺序访问,也可进行随机访问(即可以从第一个表项开始逐个访问,也可以按照表项的序号直接访问)。

顺序表的静态存储
#define maxSize 100
typedef int T;
typedef struct {
T data[maxSize];
int n;
}SeqList;
顺序表的动态存储
typedef int T;
typedef struct {
T* data;
int maxSize, n;
}SeqList;
3.1.2 顺序表实现
#include <iostream>
using namespace std;
/*
template<class T> // 模板类
class LinearList {
public:
LinearList();
~LinearList();
virtual int Size() const = 0; // 获取表能存储的最大长度
virtual int Length() const = 0; // 获取表当前长度
virtual int Search(T& x)const = 0; // 搜索给定值X,返回表项
virtual int Locate(int i)const = 0; // 搜索第i个元素的位置,返回表项序号
virtual bool getData(int i, T& x)const = 0; // 获取第i的表项的值,存储在数据x中
virtual void setData(int i, T& x) = 0; // 设置第i个表项的值x
virtual bool Insert(int i, T& x) = 0; // 在第i个表项后插入x
virtual bool Remove(int i, T& x) = 0; // 删除第i个表项
virtual bool IsEmpty() const = 0; // 判断表为空
virtual bool IsFull() const = 0; // 判断表是否已满
virtual void Sort() = 0; // 排序
virtual void input() = 0; // 输入
virtual void output() = 0; // 输出
virtual LinearList<T> operator=(LinearList<T>& linearList) = 0; // 复制
};
*/
const int defaultSize = 100;
template<class T>
class SeqList {
protected:
T* data; // 存放数组
int maxSize; // 最大可容纳表的项数
int last; // 当前已存表项的最后位置
public:
SeqList(int sz = defaultSize); // 构造函数
SeqList(SeqList<T>& L); // 复制构造函数
~SeqList() { delete[] data; } // 析构函数
int Size()const { return maxSize; } // 表最大可容纳表项个数
void reSize(int newSize); // 改变data数组空间大小
int Length()const { return last + 1; } // 表长度
int Search(T& x)const; // 搜索x的位置,并返回表项
int Locate(int i)const; // 定位第i个表项,返回表项序号
bool getData(int i,T& x)const
{ if (i > 0 && i <= last + 1) { x = data[i - 1]; return true; } else return false; } // 取第i个表项的值
void setData(int i, T& x)
{ if (i > 0 && i < last + 1) x = data[i - 1]; } // 设置第i个表项的值
bool Insert(int i, T& x); // 在第i个表项后插入x
bool Remove(int i, T& x); // 删除第i个表项,并把删除的值存储到x中
bool IsEmpty()
{ return (last == -1) ? true : false; } // 判断表是否为空
bool IsFull()
{ return (last == maxSize - 1) ? true : false; } //判断表是否已满
void input();
void output();
SeqList<T> operator = (SeqList<T> &L); // 重载=
};
template<class T>
SeqList<T>::SeqList(int sz) {
if (sz > 0) {
maxSize = sz;
last = -1;
data = new T[maxSize];
if (data == NULL)
{
cout << "内存分配错误!" << endl;
exit(1);
}
}
}
template<class T>
SeqList<T>::SeqList(SeqList<T> &L) {
maxSize = L.Size;
last = L.Length - 1;
T value;
data = new T[maxSize];
if (data == NULL)
{
cout << "内存分配错误!" << endl;
}
for (int i = 1; i <= last + 1; i++)
{
L.getData(i, value); // 获取第i个数据的值,
data[i - 1] = value; // 存放在物理位置
}
}
template<class T>
void SeqList<T>::reSize(int newSize) {
if (newSize < 0) {
cout << "无效的数组长度" << endl;
return;
}
if (newSize != maxSize) {
T* newArray = new T[newSize];
if (newArray == NULL) {
cout << "内存分配错误!" << endl; exit(1);
}
int n = last + 1;
T* scrPtr = data; // 指向原有数据
T* destPrt = newArray; // 指向新内存空间
while (n--) *destPrt++ = *scrPtr++; // 赋值,将新指针指向原有指针的内存空间
delete []data; // 删除老指针
data = newArray;
maxSize = newSize;
}
}
template<class T>
int SeqList<T>::Search(T& x)const {
for (int i = 0; i <= last; i++) {
if (data[i] == x)return i + 1; // 顺序搜索
}
return 0; // 搜索失败
}
template<class T>
int SeqList<T>::Locate(int i)const {
if (i > 0 && i <= last + 1) return i; // 定位第i个表项的位置,这里的位置指物理位置
else return 0;
}
template<class T>
bool SeqList<T>::Insert(int i, T& x) { // 插入第i个表项后
if (last == maxSize - 1) {
cout << "表满,不能插入" << endl;
return false;
}
if (i < 0 || i > last + 1) {
cout << "插入位置不合理,不能插入" << endl;
return false;
}
for (int j = last; j >= i; j--) {
data[j + 1] = data[j]; // 将数据依次后移一位
}
data[i] = x;
last++;
return true;
}
template<class T>
bool SeqList<T>::Remove(int i, T& x) {
if (last == -1) return false; // 表空,不能删除
if (i < 1 || i > last + 1) return false; // 参数i不合理
x = data[i - 1];
for (int j = i; j <= last; j++) {
data[j - 1] == data[j]; // 将数据依次前移一位
}
last--;
return true;
}
template<class T>
void SeqList<T>::input() {
cout << "input data number:";
while (1) {
cin >> last;
if (last <= maxSize - 1) break;
cout << "input error, please input equal or less than" << maxSize - 1 << ":";
}
for (int i = 0; i <= last; i++) {
cin >> data[i]; cout << "input the "<<i + 1<<" data" << endl;
}
}
template<class T>
void SeqList<T>::output() {
cout << "the last index:" << last << endl;
for (int i = 0; i <= last; i++) {
cout << "#" << i + 1 << ":" << data[i] << endl;
}
}
template<class T>
SeqList<T> SeqList<T>::operator =(SeqList<T>& L) {
maxSize = L.Size;
last = L.Length - 1;
T value;
data = new T[maxSize];
if (data == NULL)
{
cout << "内存分配错误!" << endl;
}
for (int i = 1; i <= last + 1; i++)
{
L.getData(i, value); // 获取第i个数据的值,
data[i - 1] = value; // 存放在物理位置
}
}
int main()
{
SeqList<int> seq(5);
seq.input();
seq.output();
seq.reSize(6);
int testInsertA = 50;
seq.Insert(1, testInsertA);
seq.output();
int testRemoveA;
seq.Remove(2, testRemoveA);
cout << testRemoveA << endl;
seq.output();
cout << seq.Search(testInsertA) << endl;
return 0;
}
测试用的数据输入 是
4
10 20 30 40 50
输出结果

3.1.3 顺序表的性能分析
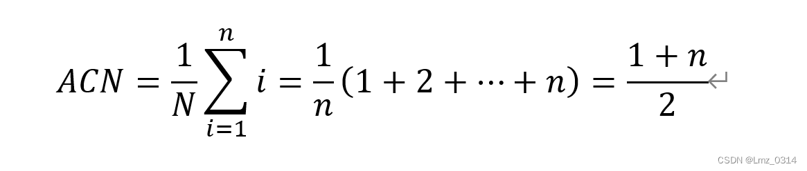
顺序表操作实现中,最复杂、最耗时的就是搜索、插入和删除运算。
ACN(average comparing number) 平均比较次数

Pi指各个表项的搜索概率
Ci指找到该表项的比较次数
对于顺序表,搜索每个项的可能性都相同,即
P1=P2=…=PN= 1/N
搜索第1个表项的次数为1,第2个表项的次数是2,第n个表项的次数是n

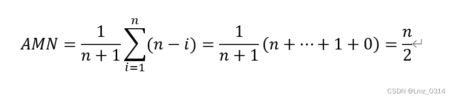
AMN(average moving number)平均移动次数
将新表项插入第i个表项,必须从后向前循环,并逐个相后移动n-i个表项。最好的情况是在第n个表项后追加新表项,移动表项个数为0,最坏的情况是在第1个表项后追加新表项,移动项数为n个。
插入概率相等的情况下,

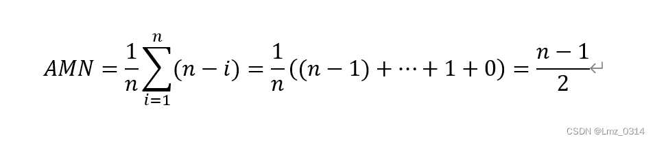
删除第i个表项时,必须从前往后循环,逐个移动n-i个项。最好的情形时删除最后的第n个表项,最差的情况时删除第1个表项,移动表项个数为n-1。删除概率相等时

3.2 单链表及其实现
3.2.1 定义和特点
定义:单链表用来表示线性表时,用指针表示节点间的逻辑关系。因此一个存储节点包含两部分,数据域和指针域。

data部分称为数据域,用于存储线性表的一个数据元素,link部分称为指针域或链域,用于存放指针,该指针指向链表中下一个节点的开始存储地址。

特点:长度可以方便的进行扩充。链表中数据元素的顺序与链表表示中节点的物理顺序可能不一致,一般通过单链表的指针将各个元素按照逻辑顺序连接起来。

(1)复合类
class List;
class LinkNode {
friend class List;
private:
int data;
LinkNode* link;
};
class List {
public:
//... 链表操作
private:
LinkNode* first;
};
(2) 嵌套类
class List {
public:
// 链表操作
private:
class LinkNode {
public:
int data; // 数据域
LinkNode *link; // 指针域
};
LinkNode* first; // 指针头
};
(3)基类和派生类
class LinkNode {
protected:
int data;
LinkNode* link;
};
class List :public LinkNode {
private:
LinkNode* first;
public:
// 链表操作
};
(4)用结构体struct定义LinkNode类
struct LinkNode {
int data;
LinkNode* link;
};
class List {
private:
LinkNode* first;
public:
// 链表操作
};
3.2.2 单链表的插入
(1)插入第一个节点前,则需要修改first指针。
newNode->link = first;
first = newNode;

(2)插入中间节点ai之后,首先让一个检测指针指向ai,再将新节点插入ai节点之后
newNode->link = current->link;
current->link= newNode;

(3)插入最后一个结点时,新节点追加到表尾。
newNode ->link = current->link;
current->link = newNode;

单链表的插入算法
bool List::Insert(int i, int& x) {
if (first == NULL || i == 0)
{
// insert to first node
LinkNode* newNode = new LinkNode(x);
if (newNode == NULL)
{
cout << "error when allocate memory" << endl;
exit(1);
}
newNode->link = first;
first = newNode;
}
else
{
LinkNode* current = first; // search for node
for (int k = 1; k < i; k++)
{
if (current == NULL)
{
cout << "error insert index" << endl;
break;
}
else current = current->link; // link to next node
}
if (current == NULL)
{
cout << "error insert index" << endl;
return false;
}
else
{
LinkNode* newNode = new LinkNode(x);
if (newNode == NULL)
{
cout << "error when allocate memory" << endl;
exit(1);
}
newNode->link = current->link;
current->link = newNode;
}
}
return true;
}
3.2.3 单链表的删除
(1)在首结点处删除,使用指针del保存首结点,再将first指向下一个结点,最后删除原来的首结点。
del = first;
first = first ->link;
delete del;

(2)在链表中间或尾部删除,用del存储第i个节点的地址,将i-1的结点指向i+1的结点的地址。再删去del。
del = current -> link;
current -> link = del -> link;
delete del;

单链表的删除算法
bool List::Remove(int i, int& x)
{
LinkNode* del;
LinkNode* current;
if (i <= 1)
{
del = first;
first = first->link;
}
else
{
current = first;
for (int k = 1; k < i - 1; k++)
{
// loop for looking for Node which index is (i-1)
if (current->link == NULL) break;
else current = current->link;
}
if (current == NULL || current->link == NULL) {
cout << "error delete index!" << endl;
return false;
}
del = current->link;
current->link = del->link;
}
x = del->data;
delete del;
return true;
}
可以使用带表头的单链表,则单链表的插入和删除在多种情况上操作都相同。
即插入:
newNode -> link = current -> link;
current -> link = newNode;
删除:
del = current->link;
current->link = del->link;
delete del;
3.2.4 单链表的实现
前插法是指每次输入新节点总是在表的前端进行,这样插入的逻辑顺序与输入数据的顺序正好相反。
后插法是指每次输入新节点总是插入到链表的尾端,数据中的逻辑顺序和输入顺序完全一致。
复制构造函数的思路(一次循环为例)

代码实现
#include <iostream>
using namespace std;
// 使用带表头的单链表实现
template<class T>
struct LinkNode {
T data;
LinkNode* link;
LinkNode(LinkNode<T>* ptr = NULL) { link = ptr; } // 仅初始化指针成员的函数
LinkNode(const T& item, LinkNode<T>* ptr = NULL) { data = item; link = ptr; } // 初始化数据与指针成员函数
};
template<class T>
class List { // 实现单链表
public:
List() { first = new LinkNode<T>; } // 构造函数,使初始指针指向表头结点
List(const T& x) { first = new LinkNode<T>(x); } // 构造函数,使初始数据为x
List(List<T>& L); // 复制构造函数
~List() { makeEmpty(); } // 析构函数,释放所有内存
void makeEmpty(); // 释放内存
int Length()const; // 计算链表长度
LinkNode<T>* getHead()const { return first; } // 获得附加头结点的地址
LinkNode<T>* Search(T x); // 搜索含数据x的元素
LinkNode<T>* Locate(int i); // 搜索第i个元素的地址
bool getData(int i, T& x)const; // 获得第i个元素的指,存储到x中
void setData(int i, T& x); // 设置第i个元素的指
bool Insert(int i, T& x); // 在第i个元素后面插入x
bool Remove(int i, T& x); // 删除第i个元素后的值,并将值返回到x
bool IsEmpty()const { return first->link = NULL ? true : false; } // 判断表是否为空
bool IsFull()const { return false; } // 因为插入是申请新内存空间,所以表不会满(内存超了除外)
void Sort(); // 排序
void inputFront(T endTag); // 前插输入
void inputRear(T endTag); // 后插输入
void output(); // 输出
List<T>& operator=(List<T>& L); // 重载函数
protected:
LinkNode<T>* first; // 表的头指针
};
template<class T>
List<T>::List(List<T>& L) {
T value;
LinkNode<T>* srcptr = L.getHead(); // 获得头指针
first = new LinkNode<T>;
LinkNode<T>* destptr = first;
while (srcptr->link != NULL) {
value = srcptr->data;
destptr->link = new LinkNode<T>(value);
destptr = destptr->link;
srcptr = srcptr->link;
}
destptr->link = NULL;
};
template<class T>
void List<T>::makeEmpty() {
// 将列表置位空
LinkNode<T>* q;
while (first->link != NULL) {
q = first->link;
first->link = q->link;
delete q;
}
};
template<class T>
int List<T>::Length()const { // 返回链表长度
LinkNode<T>* p = first->link;
int count = 0;
while (p!= NULL) {
p = p->link;
count++;
}
return count;
};
template<class T>
LinkNode<T>* List<T>::Search(T x) { // 返回匹配结点的地址,如果没有则返回null
LinkNode<T>* current = first->link;
while (current != NULL)
if (current->data = x) break;
else current = current->link;
return current;
};
template<class T>
LinkNode<T>* List<T>::Locate(int i) {
if (i < 0) return NULL; // 返回第i个结点的地址,如果非法则返回null
LinkNode<T>* current = first;
int k = 0;
while (current->link != NULL && k < i) {
current = current->link;
k++;
}
return current;
};
template<class T>
bool List<T>::getData(int i, T& x)const {
if (i <= 0) return NULL; // 取第i个结点的值
LinkNode<T>* current = Locate(i);
if (current == NULL) return false;
else { x = current->data; return true; }
};
template<class T>
void List<T>::setData(int i, T& x) {
if (i <= 0) return;
LinkNode<T>* current = Locate(i);
if (current == NULL) return;
else current->data = x;
};
template<class T>
bool List<T>::Insert(int i, T& x) { // 将结点插入到第i个结点之后
LinkNode<T>* current = Locate(i);
if (current == NULL) return false;
LinkNode<T>* newNode = new LinkNode<T>(x);
if (newNode == NULL) { cout << "error when allocate memory"; exit(1); }
newNode->link = current->link;
current->link = newNode;
return true;
};
template<class T>
bool List<T>::Remove(int i, T& x) { // 删除第i个结点
LinkNode<T>* current = Locate(i - 1); // 找到第i个结点的前一个
if (current == NULL || current->link == NULL) return false;
LinkNode<T>* del = current->link; // 找到要删除的结点
x = del->data;
current->link = del->link;
delete del;
return true;
};
template<class T>
void List<T>::output() { // 输出链表
LinkNode<T>* current = first->link;
int count = 0;
while (current != NULL) {
cout << "[" << count+1 << "]: " << current->data << endl;
current = current->link;
count++;
}
};
template<class T>
void List<T>::inputFront(T endTag) {
// endTag 是输入结束的标识符,如果输入规定的endTag,则结束输入
LinkNode<T>* newNode;
T val;
makeEmpty();
while (val != endTag) {
newNode = new LinkNode<T>(val);
if (newNode == NULL) { cout << "error when allocate memory!" << endl; exit(1); }
newNode->link = first->link; // 插入队伍的最前端
first->link = newNode; // 首指针指向新节点
cin >> val;
}
};
template<class T>
void List<T>::inputRear(T endTag) {
LinkNode<T>* newNode;
LinkNode<T>* last;
T val;
makeEmpty();
cin >> val;
last = first;
while (val != endTag) {
newNode = new LinkNode<T>(val);
if (newNode == NULL) { cout << "error when allocate memory!" << endl; exit(1); }
last->link = newNode; // 当前的表尾指向新节点
last = newNode; // 表尾变成新节点
cin >> val;
}
last->link = NULL;
};
int main()
{
List<int> *testListFront = new List<int>();
testListFront->inputRear(0);
testListFront->output();
int x1 = 5;
testListFront->Insert(4, x1);
testListFront->output();
int a1 = 0;
testListFront->Remove(1, a1);
testListFront->output();
List<int> *testListRear = new List<int>();
testListRear->inputRear(0);
testListRear->output();
int x2 = 5;
testListRear->Insert(4, x2);
testListRear->output();
int a2= 0;
testListRear->Remove(1, a2);
testListRear->output();
}
3.3 循环链表定义和特点
循环链表与单链表的区别在链表中表尾结点的link域不是NULL,而是存放了指向开始的指针。这样只需要知道一个结点的位置,就能遍历表中其他任一结点。

循环链表与链表基本类似,主要在判断current是否到达链表的表尾时,不是判断current->link = NULL,而是判断current->link = first。
3.3.1 循环链表的类定义
struct CircLinkNode {
int data;
CircLinkNode* link;
CircLinkNode(CircLinkNode* next = NULL) :link(next) {}
CircLinkNode(int d, CircLinkNode* next = NULL) :data(d), link(next) {}
};
class CircList {
public:
CircList() { first = new CircLinkNode; last = first; }
CircList(const int& x) { first = new CircLinkNode(x); } // 构造函数
CircList(CircList& L); // 复制构造函数
~CircList(); // 析构函数
int Length()const; // 计算链表长度
bool IsEmpty() { return first->link == first ? true : false; } // 判断表空
CircLinkNode* getHead()const { return first; };
void setHead(CircLinkNode* p); // 设置表头地址
CircLinkNode* Search(int* x); // 搜索x在表中位置
CircLinkNode* Locate(int i); // 定位第i个元素的地址
int* getData(int i); // 获得第i个元素的值
void setData(int i); // 用x修改第i个元素的值
bool Insert(int i, int& x); // 在第i个元素后插入x
bool Remove(int i, int& x); // 删除第i个元素,存储该元素值到x
private:
CircLinkNode* first; // 头指针
CircLinkNode* last; // 尾指针
};
3.3.2 循环链表的实现
实现函数遵循:主要在判断current是否到达链表的表尾时,不是判断current->link = NULL,而是判断current->link = first,并且注意last指针要指向表头。其余操作与单链表基本无差异。
3.4 双向链表定义和特点
双向链表又称双链表。双向链表中每个结点都有两个链指针,一个指向直接前驱,一个指向直接后驱。

3.4.1 双向链表的类定义
struct DblNode {
int data;
DblNode* lLink;
DblNode* rLink;
DblNode(DblNode *left = NULL, DblNode* right = NULL):lLink(left),rLink(right){} // 构造函数
DblNode(int value, DblNode* left = NULL, DblNode* right = NULL) :data(value), lLink(left), rLink(right) {}
};
class DblList {
public:
DblList(int uniqueVal); //构造函数:建立附加头结点
~DblList(); //析构函数:释放所用内存
int Length()const; // 返回链表长度
bool IsEmpty() { return first->rLink == first; } // 判断表是否为空
DblNode* getHead()const { return first; } // 获得表头
void setHead(DblNode* ptr) { first = ptr; } // 设置表头地址
DblNode* search(const int& x); // 搜索x的地址
DblNode* Locate(int i, int d); // 搜索第i个结点地址的值,d=1则按前驱搜索,d!=1 按后驱搜索
bool Insert(int i, const int& x, int d); // 在第i个结点地址后面插入x,d=1则按前驱搜索,d!=1 按后驱搜索
bool Remove(int i, int& x, int d); // 删除第i个结点,d=1则按前驱搜索,d!=1 按后驱搜索
private:
DblNode* first;
};
3.4.2 双向循环链表插入

bool DblList::Insert(int i, const int& x, int d) {
DblNode* current = Locate(i, d); // 寻找到第i个结点
if (current == NULL) return false; // 插入结点不合理
DblNode* newNode = new DblNode(x);
if (newNode == NULL) { cout << "error when allocate memory"; exit(1); }
if (d == 0) // 前驱插入
{
newNode->lLink = current->lLink;
current->lLink = newNode;
newNode->lLink->rLink = newNode;
newNode->rLink = current;
}
else
{
newNode->rLink = current->rLink;
current->rLink = newNode;
newNode->rLink->lLink = newNode;
newNode->lLink = current;
}
return true;
};
3.4.2 双向循环链表删除

bool DblList::Remove(int i, int &x, int d) {
DblNode* current = Locate(i, d);
if (current == NULL) return false;
current->rLink->lLink = current->lLink;
current->lLink->rLink = current->rLink;
x = current->data;
delete current;
return true;
};
3.4.3 单链表的实现
#include <iostream>
using namespace std;
struct DblNode {
int data;
DblNode* lLink;
DblNode* rLink;
DblNode(DblNode *left = NULL, DblNode* right = NULL):lLink(left),rLink(right){} // 构造函数
DblNode(int value, DblNode* left = NULL, DblNode* right = NULL) :data(value), lLink(left), rLink(right) {}
};
class DblList {
public:
DblList(int uniqueVal); //构造函数:建立附加头结点
~DblList(); //析构函数:释放所用内存
int Length()const; // 返回链表长度
bool IsEmpty() { return first->rLink == first; } // 判断表是否为空
DblNode* getHead()const { return first; } // 获得表头
void setHead(DblNode* ptr) { first = ptr; } // 设置表头地址
DblNode* Search(const int& x); // 搜索x的地址
DblNode* Locate(int i, int d); // 搜索第i个结点地址的值,d=0则按前驱搜索,d=1 按后驱搜索
bool Insert(int i, const int& x, int d); // 在第i个结点地址后面插入x,d=0则按前驱搜索,d=1 按后驱搜索
bool Remove(int i, int& x, int d); // 删除第i个结点,d=0则按前驱搜索,d=1 按后驱搜索
private:
DblNode* first;
};
DblList::~DblList() {
}
DblList::DblList(int uniqueVal) {
// 构造函数:建立双向循环链表的附加头结点,包含一个特定情况的值
first = new DblNode(uniqueVal);
if (first == NULL) { cout << "error when allocate memory!"; }
first->lLink = first->rLink = first; // 初始化左右指针域地址
};
int DblList::Length()const { // 返回链表长度
DblNode* current = first->rLink;
int count = 0;
while (current != first) { current = current->rLink; count++; }
return count;
};
DblNode* DblList::Search(const int& x) {
DblNode* current = first->rLink; // 获得首结点
while (current != first && current->data != x) {
current = current->rLink;
}
if (current != first) return current;
else return NULL;
};
DblNode* DblList::Locate(int i, int d) {
//搜索第i个结点地址的值,d = 0则按前驱搜索,d = 1 按后驱搜索
if (first->rLink == first || i == 0) return first;
DblNode* current = NULL;
if (d == 0) {
current = first->lLink;
for (int j = 1; j < i; j++) {
if (current == first) break;
current = current->lLink;
}
}
if (d == 1) {
current = first->rLink;
for (int j = 1; j < i; j++) {
if (current == first) break;
current = current->rLink;
}
}
if (current != first || current != NULL) return current;
else return NULL;
};
bool DblList::Insert(int i, const int& x, int d) {
DblNode* current = Locate(i, d); // 寻找到第i个结点
if (current == NULL) return false; // 插入结点不合理
DblNode* newNode = new DblNode(x);
if (newNode == NULL) { cout << "error when allocate memory"; exit(1); }
if (d == 0) // 前驱插入
{
newNode->lLink = current->lLink;
current->lLink = newNode;
newNode->lLink->rLink = newNode;
newNode->rLink = current;
}
else
{
newNode->rLink = current->rLink;
current->rLink = newNode;
newNode->rLink->lLink = newNode;
newNode->lLink = current;
}
return true;
};
bool DblList::Remove(int i, int &x, int d) {
DblNode* current = Locate(i, d);
if (current == NULL) return false;
current->rLink->lLink = current->lLink;
current->lLink->rLink = current->rLink;
x = current->data;
delete current;
return true;
};
int main()
{
}
3.5 静态链表定义和特点
使用结点(数据和链表)数组存放数据,但存储位置是随机的。 数组中数据关系通过一个整型变量存储。

如 a[1]存储了数据1,指针存储了地址3,所以a[3]就是下一个存储的数据2,指针存储了地址5,所以a[5]就是下一个存储的数据3,存储了指针地址0,一般0不存储数据,所以链表结束。
此处使用地址-1作为链表结束的标识符。
3.5.1 静态链表的实现
#include <iostream>
struct SLinkNode {
int data; // 存储数据
int link; // 存储链接指针
};
const int maxSize = 10;
class StaticList {
SLinkNode elem[10]; // 静态链表数组
int avil; // 当前分配空间的首地址
public:
void InitList(); // 初始化函数
int Length(); // 计算链表长度
int Search(int x); // 查找某个值
int Locate(int i); // 查找第i个结点
bool Append(int x); // 在表尾追加一个值
bool Insert(int i, int x); // 在第i个结点后插入x
bool Remove(int i); // 释放第i个结点的
bool IsEmpty(); // 判断链表是否为空
};
void StaticList::InitList() {
elem->link = -1;
avil = 1; // 当前可分配空间从1开始建立带表头结点的空链表
for (int i = 1; i < maxSize - 1; i++)
{
elem[i].link = i + 1; // 构建空闲链接表
}
elem[maxSize - 1].link = -1; // 链表收尾
};
int StaticList::Length() {
int p = elem[0].link;
int i = 0;
while (p != -1) {
p = elem[p].link;
i++;
}
return i;
};
bool StaticList::IsEmpty() {
// 判断表是否为空
if (elem[0].link == -1) return true; // 表头存储的下一个节点的下标是-1
else return false;
};
int StaticList::Search(int x)
{
int p = elem[0].link;
while (p != -1) {
if (elem[p].data == x) {
break;
return p;
}
else p = elem[p].link;
}
return 0;
};
int StaticList::Locate(int i) {
if (i < 0) return -1;
if (i == 0) return 0;
int j = 1;
int p = elem[0].link;
while (p != -1 && j < i) {
p = elem[p].link;
j++;
}
return p;
};
bool StaticList::Append(int x) {
if (avil == -1) return false; // 无可使用的存储位置
int q = avil;
avil = elem[avil].link;
elem[q].data = x;
elem[q].link = -1;
int p = 0;
while (elem[p].link != -1) // 寻找之前的表尾
p = elem[p].link;
elem[p].link = q; // 把新节点设成新表尾
return true;
};
bool StaticList::Insert(int i, int x) {
int p = Locate(i);
if (p == -1) return false;
int q = avil;
avil = elem[avil].link;
elem[q].data = x;
elem[q].link = elem[p].link;
elem[p].link = q;
return true;
};
bool StaticList::Remove(int i) {
int p = Locate(i - 1);
if (p == -1) return false;
int q = elem[p].link;
elem[p].link = elem[q].link;
elem[q].link = avil;
avil = q;
return true;
};
int main()
{
}
697

被折叠的 条评论
为什么被折叠?



