题目链接:684. 冗余连接 - 力扣(LeetCode)
树可以看成是一个连通且 无环 的 无向 图。
给定一个图,该图从一棵 n 个节点 (节点值 1~n) 的树中添加一条边后获得。添加的边的两个不同顶点编号在 1 到 n 中间,且这条附加的边不属于树中已存在的边。图的信息记录于长度为 n 的二维数组 edges ,edges[i] = [ai, bi] 表示图中在 ai 和 bi 之间存在一条边。
请找出一条可以删去的边,删除后可使得剩余部分是一个有着 n 个节点的树。如果有多个答案,则返回数组 edges 中最后出现的那个。
示例 1:

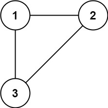
输入: edges = [[1,2], [1,3], [2,3]] 输出: [2,3]
示例 2:

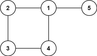
输入: edges = [[1,2], [2,3], [3,4], [1,4], [1,5]] 输出: [1,4]
提示:
-
n == edges.length -
3 <= n <= 1000 -
edges[i].length == 2 -
1 <= ai < bi <= edges.length -
ai != bi -
edges中无重复元素 -
给定的图是连通的
想要找到最后那条边,我们可以从前往后遍历edges,这个过程相当于将这些节点连接起来,以便于我们看到究竟是哪条边使图出现了环。
分析一下示例二:
1 -> 2 ✅
2 -> 3 ✅
3 -> 4 ✅
1 -> 4 ❌
所以我们要删除1 - 4这条边
抽象地说,之所以要删除1 - 4,是因为在将节点1和节点4连接起来之前,1和4就已经是可以相互到达的了,换言之,就是1和4已经在同一个集合中
这给予了我们启发:如果两个节点已经在同一个集合中,那么再将它们连接起来,就必然出现环
而并查集是判断两个节点是否在同一个集合中的常用套路,因此我们使用并查集处理此题:遍历edges,判断两个节点是否在同一集合中。如果是就找到答案,如果否就加入集合
class Solution
{
public:
int n=1005;//由提示可得n不超过1000
vector<int>father=vector<int>(n,0);
//并查集初始化
void init()
{
for(size_t i=0;i<father.size();i++)
{
father[i]=i;//每个人都没有领导与下属,自成一派
}
}
//寻根
int find(int u)
{
return u==father[u]?u:father[u]=find(father[u]);
}
//判断两个节点是否在同一个集合中
bool same(int u,int v)
{
return find(u)==find(v);
}
//加入集合
void join(int u,int v)
{
if (find(u)==find(v)) return;//已经在同一个集合中
u=find(u);
v=find(v);
father[v]=u;
}
vector<int> findRedundantConnection(vector<vector<int>>& edges)
{
init();
for(auto& e:edges)
{
if(same(e[0],e[1]))
{
return {e[0],e[1]};
}
join(e[0],e[1]);
}
return {};
}
};
并查集理解起来比较简单:可以理解成一堆人聚在一起玩一个游戏,找到自己的上司和自己的下属并手拉手连在一起
初始化:一开始大家都没有和别人拉手,相当于自己是自己的领导,自己是自己的下属
寻根:看看节点u是不是自己是自己的上司?如果是,那么它就是级别最高的领导,因为它没有上司了。如果不是,那么就往上找u的上一级领导father[u],之所以让father[u]=find(father[u]),是为了精简整个人事体系。即在寻根的过程中,让u的上一级领导father[u]直接成为u的最高级别领导,这样u和最高级别领导就可以直接建立联系了,不需要经过一层又一层的领导
加入集合:如果u和v已经在同一个部门了,就没必要再拉手了。如果不是,那么u就成为了v的领导,拉手
1110

被折叠的 条评论
为什么被折叠?



