💥💥💥💥💥💥💥💥💞💞💞💞💞💞💞💞💞Matlab武动乾坤博客之家💞💞💞💞💞💞💞💞💞💥💥💥💥💥💥💥💥
🚀🚀🚀🚀🚀🚀🚀🚀🚀🚀🚤🚤🚤🚤🚤🚤🚤🚤🚤🚤🚤🚤🚤🚤🚤🚤🚤🚤🚤🚤🚀🚀🚀🚀🚀🚀🚀🚀🚀🚀

🔊博主简介:985研究生,Matlab领域科研开发者;
🚅座右铭:行百里者,半于九十。
🏆代码获取方式:
优快云 Matlab武动乾坤—代码获取方式
更多Matlab图像处理仿真内容点击👇
①Matlab图像处理(进阶版)
⛳️关注优快云 Matlab武动乾坤,更多资源等你来!!
⛄一、PM模型图像降噪简介
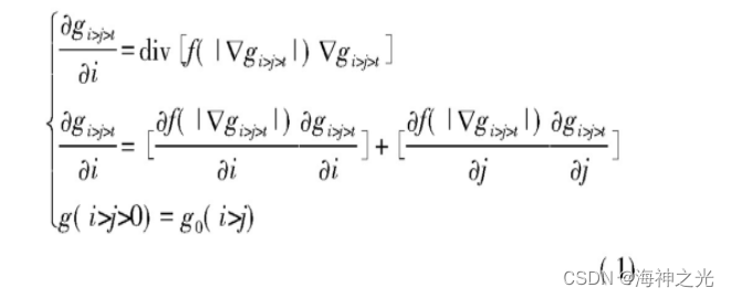
为了提高去除噪声和保留细节信息的算法的性能,Peroha等提出以热学中扩散方程式为基础的扩散算法即为PM模型。该模型主要是在经典各向异性扩散方dgi,j,t/dt=div(d∇g)上提出将其中的扩散系数d用函数控制的扩散系数替代。PM模型为

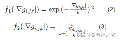
其中,f(|∇gi,j,t|)是一个扩散系数函数,∇是梯度,div是散度,g0(i,j)是一个最开始的像素点,(i,j)是图像中像素点位置,t为时间间隔。在传统的PM模型中,Perona和MAlik提出了两个满足以下条件的函数f(|∇gi,j,t|):

扩散系数函数f(|∇gi,j,t|)应具有以下特点:
(1)函数f(|∇gi,j,t|)是以|∇gi,j,t|为变量,随着变量上升而下降;
(2)当|∇gi,j,t|→0时,f(|∇gi,j,t|)=1;
(3)当|∇gi,j,t|→1时,f(|∇gi,j,t|)=0.
常量k为梯度门限,判断k与|∇gi,j,t|大小关系,主要用于判断是否对图像中某个范围进行扩散。将式(1)离散化,得

式(4)中di+1,j,t,di-1,j,t,di,j+1,t,di,j-1,t分别是北,南,西,东上的扩散系数值,且∇Ngi,j,∇Sgi,j,∇Wgi,j,∇Egi,j分别表示北,南,西,东方向上的梯度值,λ是衡量扩散速度的常量。则处理后新的像素值fi,j为

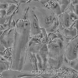
综上分析可得PM扩散模型如图1所示。

图1 传统PM扩散模型
传统PM模型仍有不足之处,对于有些边缘化的噪声点去噪效果不甚理想;在该模型中,扩散函数不利于图像的平滑,另外只选择了4个方向的扩散,易造成图像内容信息损失,出现模糊现象。
⛄二、部分源代码
clear all;
close all;
%Io=imread(‘Image/Article3.bmp’);% 读入一幅图像
%Io=imread(‘Image/GZC01.bmp’);
Io=imread(‘pepper.bmp’);
%Io=imread(‘Image/cameraman.bmp’);
I=double(rgb2gray(Io));
In=I;
% I=double(Io);
% stan_var=20;
% var=stan_var^(2);
% IN1=randn(size(I))*stan_var;
% In=I+IN1;
% save(‘In’);
% % load(‘In’);
figure(2),imshow(In,[],‘Border’,‘tight’);
figure(3),imshow(I,[],‘Border’,‘tight’);
lamda=0.2;
iter=350;
K=2.5;
[ImMAE,PSNRAll,Is]=diffusion_PM(I,In,iter,lamda,K);
figure(4),imshow(Is,[],‘Border’,‘tight’);
figure(5),imshow(Is-In,[],‘Border’,‘tight’);
[Ny,Nx]=size(Is);
x=1:Nx;
level=fix(Ny/2);
y=Is(level,:);
y1=I(level,:);
y2=In(level,:);
figure(14);
subplot(2,1,1); plot(x,y,x,y1);
title(‘SmoothImage And OriginalImage’)
subplot(2,1,2); plot(x,y,x,y1,x,y2);
title(‘NoiseImage And OriginalImage’)
figure(6);
x=1:iter;
plot(x,PSNRAll);title(‘PSNR’)
figure(7);
x=1:iter;
plot(x,ImMAE);title(‘MAE’)
⛄三、运行结果







⛄四、matlab版本及参考文献
1 matlab版本
2014a
2 参考文献
[1]晏满钰,文成玉.改进的PM模型的医学超声图像去噪算法[J].成都信息工程大学学报. 2019,34(06)
3 备注
简介此部分摘自互联网,仅供参考,若侵权,联系删除
🍅 仿真咨询
1 各类智能优化算法改进及应用
生产调度、经济调度、装配线调度、充电优化、车间调度、发车优化、水库调度、三维装箱、物流选址、货位优化、公交排班优化、充电桩布局优化、车间布局优化、集装箱船配载优化、水泵组合优化、解医疗资源分配优化、设施布局优化、可视域基站和无人机选址优化
2 机器学习和深度学习方面
卷积神经网络(CNN)、LSTM、支持向量机(SVM)、最小二乘支持向量机(LSSVM)、极限学习机(ELM)、核极限学习机(KELM)、BP、RBF、宽度学习、DBN、RF、RBF、DELM、XGBOOST、TCN实现风电预测、光伏预测、电池寿命预测、辐射源识别、交通流预测、负荷预测、股价预测、PM2.5浓度预测、电池健康状态预测、水体光学参数反演、NLOS信号识别、地铁停车精准预测、变压器故障诊断
3 图像处理方面
图像识别、图像分割、图像检测、图像隐藏、图像配准、图像拼接、图像融合、图像增强、图像压缩感知
4 路径规划方面
旅行商问题(TSP)、车辆路径问题(VRP、MVRP、CVRP、VRPTW等)、无人机三维路径规划、无人机协同、无人机编队、机器人路径规划、栅格地图路径规划、多式联运运输问题、车辆协同无人机路径规划、天线线性阵列分布优化、车间布局优化
5 无人机应用方面
无人机路径规划、无人机控制、无人机编队、无人机协同、无人机任务分配
6 无线传感器定位及布局方面
传感器部署优化、通信协议优化、路由优化、目标定位优化、Dv-Hop定位优化、Leach协议优化、WSN覆盖优化、组播优化、RSSI定位优化
7 信号处理方面
信号识别、信号加密、信号去噪、信号增强、雷达信号处理、信号水印嵌入提取、肌电信号、脑电信号、信号配时优化
8 电力系统方面
微电网优化、无功优化、配电网重构、储能配置
9 元胞自动机方面
交通流 人群疏散 病毒扩散 晶体生长
10 雷达方面
卡尔曼滤波跟踪、航迹关联、航迹融合
本文介绍了Perona-Malik(PM)模型在Matlab中的应用,用于图像降噪,强调了其基于扩散方程的原理以及存在的局限性,包括边缘噪声处理和图像平滑性。源代码展示了如何使用改进的PM模型进行图像处理并展示了运行结果。
1737

被折叠的 条评论
为什么被折叠?



