Leetcode(206)——反转链表
题目
给你单链表的头节点 head ,请你反转链表,并返回反转后的链表。
题解
示例 1:
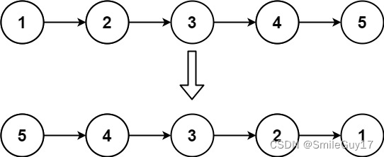
输入:head = [1,2,3,4,5]
输出:[5,4,3,2,1]
示例 2:
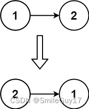
输入:head = [1,2]
输出:[2,1]
示例 3:
输入:head = []
输出:[]
提示:
- 链表中节点的数目范围是 [0, 5000]
- -5000 <= Node.val <= 5000
方法一:递归之尾插法
思路
递归版本稍微复杂一些,其关键在于反向工作。假设链表的其余部分已经被反转,现在应该如何反转它前面的部分?
假设链表为:
n1→…→nk−1→nk→nk+1→…→nm→∅n_1\rightarrow \ldots \rightarrow n_{k-1} \rightarrow n_k \rightarrow n_{k+1} \rightarrow \ldots \rightarrow n_m \rightarrow \varnothingn1→…→nk−1→nk→nk+1→…→nm→∅
若从节点 nk+1n_{k+1}nk+1 到 nmn_mnm 已经被反转,而我们正处于 nkn_knk 。
n1→…→nk−1→nk→nk+1←…←nmn_1\rightarrow \ldots \rightarrow n_{k-1} \rightarrow n_k \rightarrow n_{k+1} \leftarrow \ldots \leftarrow n_mn1→…→nk−1→nk→nk+1←…←nm
我们希望 nk+1n_{k+1}nk+1 的下一个节点指向 nkn_knk 。所以,nk.next.next=nkn_k.\textit{next}.\textit{next} = n_knk.next.next=nk。
需要注意的是 n1n_1n1 的下一个节点必须指向 ∅\varnothing∅。如果忽略了这一点,链表中可能会产生环。
算法解析:
假设初始链表为 1->2->3->4->5
第一轮出栈,head为5,head->next为空,返回5
第二轮出栈,head为4,head->next为5,执行 head->next->next=head 也就是5.next=4,
把当前节点的子节点的子节点指向当前节点
此时链表为1->2->3->4<->5,由于4与5互相指向,所以此处要断开4.next=null
此时链表为1->2->3->4<-5
返回节点5
第三轮出栈,head为3,head->next为4,执行 head->next->next=head 也就是4.next=3,
此时链表为1->2->3<->4<-5,由于3与4互相指向,所以此处要断开3.next=null
此时链表为1->2->3<-4<-5
返回节点5
第四轮出栈,head为2,head->next为3,执行 head->next->next=head 也就是3.next=2,
此时链表为1->2<->3<-4<-5,由于2与3互相指向,所以此处要断开2.next=null
此时链表为1->2<-3<-4<-5
返回节点5
第五轮出栈,head为1,head->next为2,执行 head->next->next=head 也就是2.next=1,
此时链表为1<->2<-3<-4<-5,由于1与2互相指向,所以此处要断开1.next=null
此时链表为1<-2<-3<-4<-5
返回节点5
出栈完成,最终头节点5->4->3->2->1
代码实现
class Solution {
public:
ListNode* reverseList(ListNode* head) {
// 直到当前结点的下一个结点为空时返回当前结点
if (!head || !head->next)
return head;
ListNode* newHead = reverseList(head->next);// 递归传入下一个节点,目的是为了到达最后一个节点
head->next->next = head;
head->next = nullptr;
return newHead;
}
};
复杂度分析
时间复杂度:O(N)O(N)O(N) ,其中 NNN 是链表的长度。需要对链表的每个节点进行反转操作。
空间复杂度:O(N)O(N)O(N) ,其中 NNN 是链表的长度。空间复杂度主要取决于递归调用的栈空间,最多为 NNN 层。
方法二:迭代之头插法
思路
在方法二中,我们采用头插法+头结点+迭代来实现链表的逆序。
代码实现
/**
* Definition for singly-linked list.
* struct ListNode {
* int val;
* ListNode *next;
* ListNode() : val(0), next(nullptr) {}
* ListNode(int x) : val(x), next(nullptr) {}
* ListNode(int x, ListNode *next) : val(x), next(next) {}
* };
*/
class Solution {
public:
ListNode* reverseList(ListNode* head) {
if(head == nullptr || head->next == nullptr) return head;
ListNode* newone = new ListNode(0, nullptr); // 头结点
ListNode* tmp = nullptr;
// 头插法
while(head != nullptr){
tmp = head;
head = head->next;
tmp->next = newone->next;
newone->next = tmp;
}
tmp = newone;
newone = newone->next; // 去除头结点
delete tmp;// 释放资源
return newone;
}
};
复杂度分析
时间复杂度:O(N)O(N)O(N) ,其中 NNN 是链表的长度。因为需要遍历链表一次。
空间复杂度:O(1)O(1)O(1)


767

被折叠的 条评论
为什么被折叠?



