文章目录
- 卡特蓝数
- 通项
- 递推
- 栈和catalan数
- 问题模型
- 使用树状图来枚举所有出栈可能
- 唯一性
- 枚举指定元素开头的出栈序列
- 判断非法出栈序列
- 不可能序列
- 根据出栈序列判断栈的最小容量
- 根据出栈序列换源入栈出栈操作序列
- 段序列的出栈可能枚举
- 综合应用
卡特蓝数
通项
递推
栈和catalan数
- 如果
个不同元素{}进栈,出栈序列的个数为
- 若
,则必须比先入栈
- 第
次入栈的元素只能是
- 然而不像入栈那么严格,虽然位序大的元素相对于位序小的元素后入栈,但是位序小的元素可以在位序大的元素入栈之前就出栈,这种条件下可以让先入栈的元素比后入栈的元素更早被弹出栈
- 简单讲,就是元素进栈后可以停留,也可以出栈,直到所有元素都出栈,求出栈的所有不同序列的数量或者枚举出具体的出栈序列
- 例如两个元素
- 操作序列:push(a1),pop(a1),push(a2),pop(a2),只要先入栈的元素在新元素入栈之前弹出,就会出现先入栈的元素比后入栈的元素更早弹出
- 这看似和栈的后进先出的特点不符,后进先出针对连续入栈和连续出栈的情况而言;
- 所以出栈的时候,位序大的元素一定比位序小的元素先出栈
- (允许栈非空的时候出栈,即使还有元素未进栈)
- 那么出栈的序列数(不同的排列数)为catalan(n)种
问题模型
- 用s表示push(入栈)
- 用x表示pop(出栈)
- 对n个元素的序列中的元素从左往右的顺序先后进栈,不要求连续入栈,栈非空时总是允许出栈,最终共执行n次入栈,n次出栈操作
- 如果设置2个操作计数器,分别统计push操作和pop操作执行的次数,那么push的数量始终大等于pop(或者说pop的次数始终不超过push的次数,否则出现空栈无元素可弹出的情况)
- 在上述条件下,找出所有的操作序列,显然序列开头是push操作,结尾是pop操作,push,pop都各有n次,序列长度为2n;
- 当序列中出现了
次push,那么剩下的只有pop操作;
- 如果pop操作出现的次数达到push次数,并且还有元素没有入栈,那么下一步只能是push
- 显然,任何入栈出栈序列的第一个操作一定是把第一个元素入栈,但是后续的操作可能就多了;这是由于出栈操作可能发生在任何非空栈的情况下
使用树状图来枚举所有出栈可能
- 在上述问题模型的讨论中,我们可以借助树状图来枚举出所有可能
- 当序列长度不是很大的情况下,这是一个有效的手算方法
- 如果序列含有
个元素的序列为,我们可以画出条分支,每条分支包含了个结点,分别对应于入栈和出栈操作
-
元素的序列对应的树有层,每层是一个入栈或者出栈操作,分别用
s,x表示 - 树的分叉时,左侧为入栈,右侧为出栈;
- 结点右边的数字表示该操作是第几次(
表示第次入栈,表示第次出栈)
- 设树中任意结点为
,则分支时要考察2个方面,
- 左分支入栈,如果入栈操作次数达到序列长度
时,则之后无法在入栈,全部是出栈;否则可以入栈,并且观察该分支路径上最后一个入栈数字是几,新分支数字加1
- 有分支出栈,出栈前考察该路径上已入栈次数和已出栈次数是否相等,如果相等,则无法出栈(此时右分支缺失);若该路径上入栈次数多于出栈次数,那么可以继续出栈,并对出栈数字加1

可以发现,各条路径的重点都是

根据树状图将出栈序列写出来:举个例子,比如路径序列:
其中由于第
所以该例子中出栈序列为
唯一性
可以发现,上述枚举方法所有路径对应的序列都是互不相同的,每条路径对应唯一的出栈序列;反之,给定一个合法的出栈序列,可以找到对应的路径
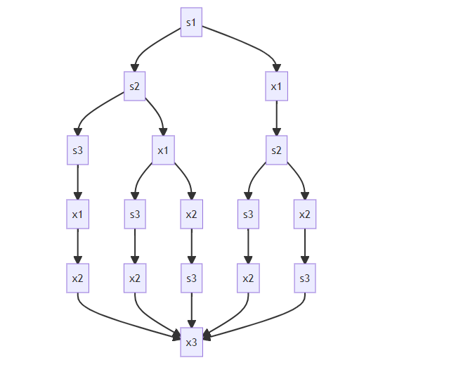
枚举指定元素开头的出栈序列
上述的树状图枚举不仅仅可以用于全部枚举,还可以针对某一路径枚举
比如入栈序列
如果我只想知道
如果是
按照这个操作序列:将树状图补全,可以得到4条路径,将他们转换为出栈序列:
- decba
- dceba
- dcbea
- dcbae
判断非法出栈序列
比起枚举出所有可能的出栈序列,判断一个给定的序列是否合法相对容易
非法(不可能出现的)出栈序列原因可能是想要将非栈顶元素出栈
例如入栈顺序
那么出栈顺序
分析:第一个出栈的是
有时给定的出栈信息不一定是整个序列完整给出,可能给出部分信息,比如第2,4个出栈元素,其余两出栈信息不给出,这种情况下直接判断不方便,考虑将出栈信息通过枚举所有可能性补全序列,然后逐个判断是否存在合法序列,如果所有序列都非法,那么原不完整序列也是不可能的;这种做法对于短序列比较有效,如果给出的序列中有较多不定数,枚举量就比较大了
不可能序列
- 弹出非栈顶元素是不可能序列的一个基本特征,但是直接拿来判断并不够方便
- 可以验证,当
比先出栈,那么和在出栈序列中一定是相邻的,否则就是非法的
- 因为
出栈后可以断定此前已经入栈;而若要在后出栈,那么只能是出栈后,立即出栈,因为之间没有别的元素可以直接出栈,也没有更大位序的元素可以入栈后出栈,如果要隔一个元素出栈,那么就得将之前的元素出栈,这些都是非栈顶元素,是非法的
- 因此,若入栈序列为
,那么出栈序列中,若3在4之后出栈,那么4,3在序列中紧邻
- 然而,若1在2之后出栈,那么2,1不一定是紧邻的,因为2,1不是最后两个入栈的元素
根据出栈序列判断栈的最小容量
- 根据出栈序列还原出入栈/出栈操作序列
- 设置一个计数器,入栈+1,出栈-1;将计数器在整个过程中出现的最大值作为栈的最小容量
- 例如入栈序列为
的某个出栈序列为,那么
- 还原出进栈(s)/出栈(x)操作序列,并且在每个操作下记录当前栈中元素数量
s | s | x | s | s | x | x | s | s | x | x | x | s | x |
1 | 2 | 1 | 2 | 3 | 2 | 1 | 2 | 3 | 2 | 1 | 0 | 1 | 0 |
可见,过程中最大最大元素数量为3,所以栈的最小容量为3
根据出栈序列换源入栈出栈操作序列
该操作也相对简单,从第一个出栈元素开始,如果是入栈序列中的第
段序列的出栈可能枚举
- 1个元素({1}),显然只有一种出栈序列
- 2个元素({1,2}),则出栈序列可能有如下2种
- 12
- 出入栈操作序列:(sxsx)
- 21
- 出入栈操作序列(ssxx)
- 3个元素({1,2,3})先后进栈(中途允许出栈),则出栈序列可能有如下5种
- 123 sxsxsx
- 132 sxssxx
- 213 ssxxsx
- 231 ssxsxx
- 321 sssxxx
- 4个元素({1,2,3,4})先后进栈(中途允许出栈),则出栈序列可能有如下14种
- 1234
- 1243
- 1324
- 1342
- 1432
- 2134
- 2143
- 2314
- 2341
- 2431
- 3214
- 3241
- 3421
- 4321
综合应用
已知第
例如,入栈序列为
这个问题不向具体序列那样直白,根据经验和栈的特点判定
若
若
而3已经被
综上
方法2:
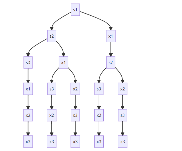
使用树状图判断(入栈为s,出栈为x)
第2个出栈元素是
s3->x2,在
s3及其上面部分
s1->s2->s3,其中有一个位置是
x1,可能是
s1->x1->s2->s3或
s1->s2->x1->x3分别对应于
最后,x2结点下开始分支,左侧可以从
x3分别对应于
综上
1500

被折叠的 条评论
为什么被折叠?



