数字图像处理(Digital Image Processing)是通过计算机对图像进行去除噪声、增强、复原、分割、提取特征等处理的方法和技术。本专栏将以学习笔记形式对数字图像处理的重点基础知识进行总结整理,欢迎大家一起学习交流!
专栏链接:数字图像处理学习笔记
目录
背景知识
图像的变换域分析的数学基础:
☞将空域中的信号(图像)变换到另外一个域(频域),即使用该域中的一组单位正交基函数(相同基函数内积为1,不同基函数内积为0)的线性组合来表示任意函数。
☞使用这组基函数的线性组合得到任意函数f,每个基函数的系数就是f与该基函数的内积。
图像变换的目的:
☞使图像处理问题简化
☞有利于图像特征提取
☞有助于从概念上增强对图像信息的理解
图像变换通常是一种二维正交变换。
一般要求:
☞正交变换必须是可逆的
☞正变换和反变换的算法不能太复杂
☞正交变换的特点是在变换域中图像能量将集中分布在低频率成分上,边缘、线状信息反映在高频率成分上,有利于图像的处理。
因此正交变换广泛应用在图像增强、图像恢复、特征提取、图像压缩编码和形状分析等方面。
傅里叶变换(一种正交变换)
从纯粹的数学意义上看,傅里叶变换是将一个函数转换为一系列周期函数(正、余弦函数)来处理的;
从物理效果看,傅里叶变换是将图像从空间域转换到频率域。
在频率域研究图像的意义:
☞可以利用频率成分和图像外表之间的对应关系。一些在空间域表述困难的增强任务,在频率域中变得非常普通;
☞滤波在频率域更为直观,它可以解释空间域滤波的某些性质;
☞给出一个问题,寻找某和滤波器解决该问题,频率域处理对于实验、迅速而全面地控制滤波器参数是一个理想工具;
☞一旦找到一个特殊应用的滤波器,通常在空间域用硬件实现。
图像的频率含义:
图像的频率是表征图像中灰度变化剧烈程度的指标,是灰度在平面图像上的梯度。
其中,灰度变化缓慢的区域对应频率值较低;灰度变换剧烈的区域对应的频率值较高。
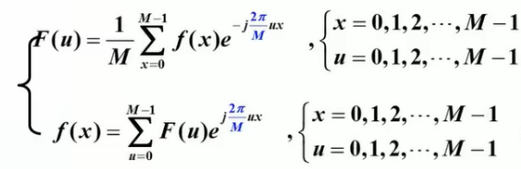
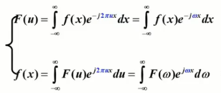
一维傅里叶变换对
一维连续函数f(x)的傅里叶变换对定义为
一维离散形式(DFT)的傅里叶变换对定义为
傅里叶变换的极坐标表示
![]()
★幅度或频率谱为![]()
★相角或相位谱为
★功率谱(谱密度)为
![]()
二维傅里叶变换对
二维离散函数f(x,y)的傅里叶变换对DFT定义为

注:u和v是图像的频率变量,x和y是图像的空域变量
当u和v都等于0时
直流分量![]()
这说明:在原点的傅里叶变换和图像的平均灰度成正比
谱的最大分量:![]()
二维离散傅里叶变换的性质
空间域抽样间隔和频域间隔之间的关系

其中,u和v是频域,△是抽样间隔,△x和△y是空域抽样间隔,M和N分别是横纵坐标拥有的点数
傅里叶变换对的平移和旋转性质
平移性


旋转性
引入极坐标
![]()
得到
![]()
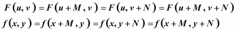
周期性
上述公式表明
☞尽管F(u,v)对无穷多个u和v的值重复出现,但只需根据在任一个周期里的N个值就可以从F(u,v)得到f(x,y)
☞只需一个周期里的变换就可将F(u,v)在频域里完全确定
☞同样的结论对f(x,y)在空域也成立
对称性
共轭对称性
如果f(x,y)是实函数,它的傅里叶变换是共轭对称(实部相等,虚部互为相反数)的,即
![]()
傅里叶变换的频率谱是关于原点偶对称的
![]()
尺度变换(缩放)及线性性
线性性:
![]()

二维傅里叶谱和相角
二维傅里叶变换的极坐标表示
![]()
幅度或频率谱为
![]()
相角或相位谱为(虚部/实部)

功率谱为
![]()
二维卷积定理
简单来讲,卷积就是空间域与频率域之间的“桥梁”。
大小为M×N的两个函数f(x,y)和h(x,y)的离散(循环)卷积
![]()
卷积定理

注:★代表“循环卷积”
上式表明,空间域的卷积等于频率域中的直接乘
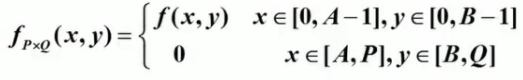
计算空间循环卷积f(x,y)★h(x,y)时,要对图像补0以使进行卷积运算的两图像尺寸相同。
设
![]()
补零:


二维相关定理
大小为M×N的两个函数f(x,y)和h(x,y)的相关系数:
注:上式中应为☆
表示
的复共轭,对实函数(图像)有:
=
相关定理


自相关理论

注:复数和它的复共轭的乘积是复数模的平方
卷积和相关性理论总结
![]()
卷积是空间域过滤和频率域过滤之间的纽带
相关的重要位置应用在于匹配:确定是否有感兴趣的物体区域
二维DFT的实现
二维DFT的可分离性


☞先通过沿输入图像的每一行计算一维变换
☞再沿中间结果的每一列计算一维变换
☞可以改变上述顺序,即先列后行
☞上述相似的过程也可以计算二维傅里叶反变换
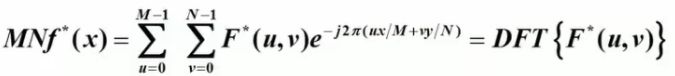
用DFT计算IDFT

![]()

图像傅里叶变换的物理意义
对图像进行二维傅里叶变换得到的频谱图F(u,v)/~(u,v),就是图像梯度的分布图
当然频谱图上的各点与图像上各点并不出存在一一对应关系
傅里叶频谱图上明暗不一的亮点,实际上是图像上某一点灰度值与领域点差异的强弱,即梯度的大小,也叫该点(u,v)的频率的大小。
一般来讲,梯度大则该点的亮度强,否则该店的亮度弱。
谱图像
就是把 |F(u,v)| 作为亮度显示出来。
D(u,v)=log(1+|F(u,v)|)
从谱图像中可看出:
①图像的能量分布。如果频谱图中暗点多,那么实际图像是比较柔和的(因为各点与领域灰度差异都不大,梯度相对较小),反之,如果频谱图中亮点多,那么实际图像一定是尖锐的,边界分明且边界两边像素差异较大的。
②图像的频谱分布。频谱移频到显示屏中心后,图像的频谱分布是以中心为圆心,对称分布的。
频谱移中的好处
对频谱移屏到显示屏中心以后,可以看出图像的频率分布是以中心为圆心,对称分布的(即可以清晰地看出图像频谱分布)。
它可以分离出有周期性规律的干扰信号,比如正弦干扰。
变换矩阵F(u,v)的特征
1、若变换矩阵F(u,v)原点设在中心(M/2,N/2),其频谱能量集中分布在变换系数短阵的中心附近;
若所用的二维傅里叶变换矩阵F(u,v)的原点设在左上角(0,0),那么图像信号能量将集中在系数矩阵的四个角上。
这是由二维傅里叶变换本身性质决定的。
同时也表明一般图像能量集中在低频区域。
2、变换之后的图像(频谱图)在原点平移之前四角是低频(最亮部分),平移之后中间部分是低频(最亮部分),亮度大说明能量大(幅值比较大)
普对图像平移是不敏感的,它随旋转图像以相同的角度旋转。
频率谱
相位谱
频率谱仅包含灰度信息,直流项占支配地位,谱图像中没有形状信息;
相位谱含有图像中的形状信息,对一幅图像的特性、内容起支配作用。
幅度谱

从幅度谱中我们可以看出明亮线反映出原始图像的灰度级变化,这正是图像的轮廓边。

从幅度谱中我们可以看出明亮线和原始图像中对应的轮廓线是垂直的。如果原始图像中有圆形区域那么幅度谱中也呈圆形分布。

图像中的颗粒状对应的幅度谱呈环状,但即使只有一颗颗粒,其幅度谱的模式还是这样的。

这些图像没有特定的结构,左上角到右下角有一条斜线,它可能是由帽子和头发之间的边线产生的
两个图像都存在一些小边界
欢迎留言,一起学习交流~~~
感谢阅读
本文深入讲解数字图像处理的基础知识,包括数字图像处理的概念、傅里叶变换原理及其在图像处理中的应用,如图像增强、恢复、特征提取和压缩编码。详细解析了一维和二维傅里叶变换对、离散傅里叶变换的性质、卷积和相关定理等内容。
1873

被折叠的 条评论
为什么被折叠?



