背景
公司的活儿需要做轨迹拟合,数据量不大,不想使用各种库啥的,毕业后似乎就没再用过高中数学,借此机会想着复习一下,过程中遇到小小问题却困扰了两周,在此记录一下。
过程
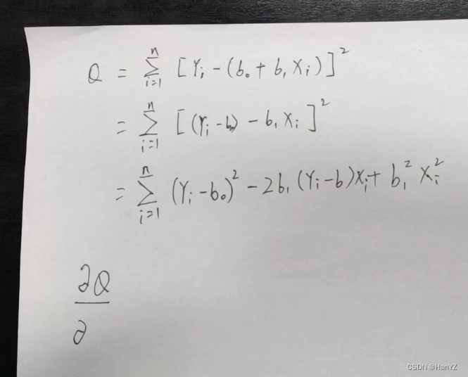
网上搜了线性拟合的文章看

这段儿似乎还好理解,虽然对
没的表示方式有点儿蒙,好在还不影响理解。紧接着,就被下段的 ∂ 当头一棒

搜索“偏导数符号”B站 www.bilibili.com/read/cv1068455 这篇文章讲解的不错,然后又断断续续的复习了导数、导函数、偏导数、偏导函数。还好现在不是写代码的主力,早已让年轻人开干,无需等自己彻底弄明白。
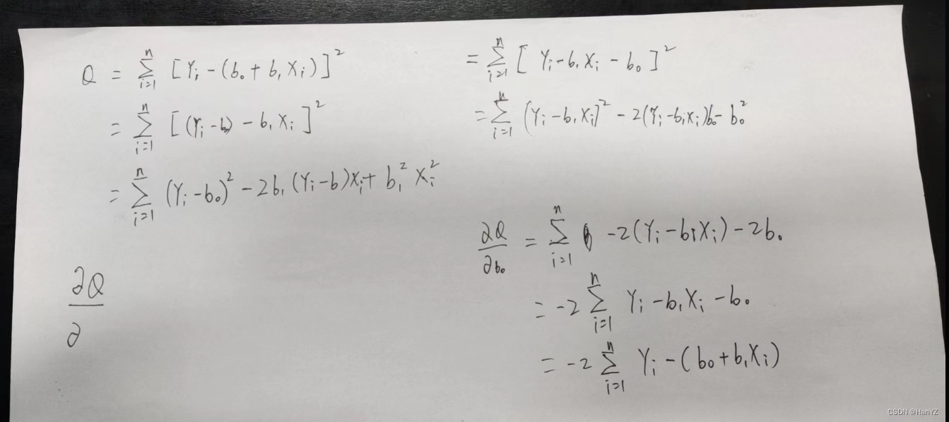
回过头再看原理,(式3)怎么都过不到(式4),郁闷之余寻友求助

看了又看,依旧困惑,直到今日,周六的办公楼,整层只有我一人,拿出纸笔

画到这儿,我终于意识到我困在自己挖的坑里了——原理里讲的是b0的偏导,我心里一直推导的是
Xi的偏导

x——天生的自变量,几乎所有讲偏导的都首先对x求偏导,所以,第一次看到这儿,就跟着潜意识对X偏导,而后每次零碎的复习几眼再回来看,都一直在坑儿里。直到今天有了闲暇,静下心来动手去写。
总结
这种坑,不写出来,只去求助别人,别人可能也被问的很晕,只会觉得(式3)到(式4)不是显而易见么,要怎么指导你 😦
学习,还是要静下心来才好 😃
作者因公司轨迹拟合工作,在不使用库的情况下复习高中数学进行线性拟合。过程中对偏导数理解遇阻,搜索文章复习相关知识,推导时陷入误区,一直对Xi求偏导而非b0的偏导。最后总结学习要静下心,自己动手才能避免困惑。
962

被折叠的 条评论
为什么被折叠?



