Notes
写堆一般用数组,数组的下标可方便地实现二叉树的逻辑,并且在写堆时保证其是棵完全二叉树,也就保证高度是
O(logn)
O
(
l
o
g
n
)
的,维护的复杂度也是
O(logn)
O
(
l
o
g
n
)
。
之前数组版的堆实现:heap。删除、插入的原理和实现参照此篇。
现尝试用链式结构实现二叉堆,保持跟数组实现一样的复杂度。
小顶堆为例(其实看你怎么重载小于号),数据类型就int吧。
Structure
- 原始想法
两个结构体:
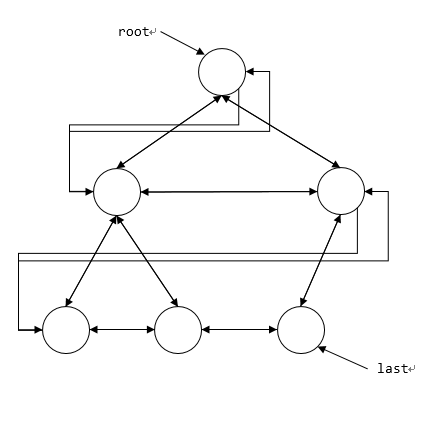
结点的结构,像写二叉树一样,两个指针指子结点。但添加元素时要自下而上调整,故加一个指向父结点的指针。
堆的结构,就维护一个树根指针root。 - 考虑树高
想有数组版的复杂度,想到让树的形态也能是完全二叉树,控制树高在 O(logn) O ( l o g n ) ,那么添加和删除物理结点都在于最后一个元素,于是堆结构多维护一个last指针指向最后一个元素。 - 考虑删除
数组版删除时,先将最后一个元素的值覆盖堆顶,再自顶向下调整元素,以维护堆的性质。
对链版,将last所指覆盖到堆顶后,要free掉原来的last,并让它指向前一个元素。
为了快速完成更新,考虑结点加一个指针lb(Left Brother)指向它的前一个结点。在插入新结点时,就可让新结点的 Left Brother 指向旧的last,然后再更新last。
Left Brother 指针实际上就通过前驱关系把结点串成一维结构,实现类似数组的线性逻辑。 - 考虑插入
插入时,要将新建的结点放在last之后,先不考虑边界(树根附近),有两种情况:
当last所指是左儿子(即*last是左儿子),只要找到*last的父节点,将新结点作为它右儿子,然后更新last;
当last所指是右儿子,找到*last的父结点 F 后,还要找到 F 的后面一个结点 F’,然后将新结点插为 F’ 的左儿子,然后更新last;
后一个结点也可能在下一层:
为快速找到 F’,考虑结点加个指针rb(Right Brother),指向结点的后一个结点。其维护类似于 Left Brother,也在插入新结点时完成。
Right Brother 与 Left Brother 类似,实现的是后继。 - 最终…
这是个什么东西噢…老老实实用数组写好不啦
Code
“Talk is cheap. Show me the code.”
“来你的哇”
heap.h
/* heap.h */
#ifndef _HEAP_H
#define _HEAP_H
#ifndef DataType
#define DataType int
/* 堆结点 */
typedef struct h_node
{
DataType v; // value
struct h_node *p, // parent
*lc, *rc, // left child, right child
*lb, *rb; // left brother, right brother
} Hnode;
/* 堆 */
typedef struct
{
Hnode *root, // 根
*last; // 最后一个元素
// 重载小于号
// if 左 < 右 : 返回真
// else : 返回假
int (*less)(const void *, const void *);
} Heap;
/* 判空 */
int empty (Heap);
/* 插入 */
Hnode* insert (Heap*, DataType value);
/* 新堆,传小于号进来 */
Heap heap (int (*less)(const void *, const void *));
/* 弹顶 */
void pop (Heap*);
/* 堆顶 */
int top (Heap);
#endif // DataType
#endif // _HEAP_H
heap.c
/* heap.c */
#include <stdlib.h>
#include "heap.h"
/* 初始化过的新结点 */
static Hnode* _heap_node()
{
Hnode *n = (Hnode*)malloc(sizeof(Hnode));
if (n)
n->p = n->lc = n->rc = n->lb = n->rb = NULL;
return n;
}
/* 交换 */
static void _swap(DataType *a, DataType *b)
{
DataType c = *a;
*a = *b;
*b = c;
}
/* 新堆 */
Heap heap(int (*f)(const void *, const void *))
{
Heap h;
h.root = h.last = NULL;
h.less = f;
return h;
}
/* 判空 */
int empty(Heap h)
{
return !h.root;
}
/* 堆顶 */
int top(Heap h)
{
return h.root->v;
}
/* 弹堆顶 */
void pop(Heap *h)
{
if (!h || empty(*h))
return;
Hnode *q;
// 只有一个元素
if (h->root == h->last)
{
free(h->root);
h->root = h->last = NULL;
return;
}
h->root->v = h->last->v; // cover the top
// 父子关系
q = h->last->p; // parent
if (q->lc == h->last) // is left child
q->lc = NULL;
else // is right child
q->rc = NULL;
// 兄弟关系
q = h->last->lb; // its left brother
q->rb = NULL;
free(h->last);
// 更新 last 指针
h->last = q;
// 维护堆性质
q = h->root;
for (Hnode *ch; ; q = ch)
{
// find smaller child
ch = q->lc;
if (!ch) break;
// right < left
if (q->rc && h->less(&q->rc->v, &ch->v))
ch = q->rc;
// parent < child
if (h->less(&q->v, &ch->v))
break;
_swap(&q->v, &ch->v);
}
}
/* 插入 */
Hnode* insert(Heap *h, int v)
{
if (!h) return NULL;
Hnode *new_guy = _heap_node(), *your_father;
if (!new_guy) return NULL;
new_guy->v = v;
// 空堆
if (empty(*h))
{
h->root = h->last = new_guy;
return new_guy;
}
// 单结点
if (h->root == h->last)
{
h->root->lc = h->root->rb = new_guy;
new_guy->p = new_guy->lb = h->root;
h->last = new_guy;
// adjustment
if (h->less(&v, &h->root->v))
{
new_guy->v = h->root->v;
h->root->v = v;
}
return new_guy;
}
// 多结点
// 兄弟关系
new_guy->lb = h->last;
h->last->rb = new_guy;
// 父子关系
your_father = h->last->p;
if (your_father->lc == h->last) // is left child
{
your_father->rc = new_guy;
new_guy->p = your_father;
}
else // is right child
{
// your father changes to
// your father's right brother
your_father = your_father->rb;
your_father->lc = new_guy;
new_guy->p = your_father;
}
// 更新 last 指针
h->last = new_guy;
// 维护堆性质
for (Hnode *now = new_guy, *fa; ; now = fa)
{
fa = now->p;
// no father || father < child
if (!fa || h->less(&fa->v, &now->v))
break;
_swap(&fa->v, &now->v);
}
return new_guy;
}
Testing
"I don't believe in you."
main.c
#include <stdio.h>
#include "heap.h"
int cmp(const void *a, const void *b)
{
return *(int*)a < *(int*)b;
}
int main()
{
Heap h = heap(cmp);
insert(&h, 3);
insert(&h, -1);
insert(&h, 10);
insert(&h, 5);
insert(&h, 100);
insert(&h, -345435);
insert(&h, 0);
while (!empty(h))
{
printf("%d\n", top(h));
pop(&h);
}
return 0;
}
3142

被折叠的 条评论
为什么被折叠?



