96. 不同的二叉搜索树
https://leetcode.cn/problems/unique-binary-search-trees/96. 不同的二叉搜索树
难度中等1887
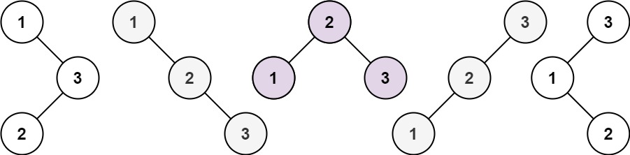
给你一个整数 n ,求恰由 n 个节点组成且节点值从 1 到 n 互不相同的 二叉搜索树 有多少种?返回满足题意的二叉搜索树的种数。
示例 1:

输入:n = 3 输出:5
示例 2:
输入:n = 1 输出:1
提示:
1 <= n <= 19
通过次数281,235提交次数398,320
请问您在哪类招聘中遇到此题?
class Solution {
public int numTrees(int n) {
int[] num = new int[n+1];
num[0] = 1;
num[1] = 1;
for(int i=2;i<=n;i++)
{
for(int j=1;j<=i;j++)
{
num[i] += num[j-1]*num[i-j];
}
}
return num[n];
}
}

1131

被折叠的 条评论
为什么被折叠?



