222. 完全二叉树的节点个数
https://leetcode.cn/problems/count-complete-tree-nodes/
难度中等746
给你一棵 完全二叉树 的根节点 root ,求出该树的节点个数。
完全二叉树 的定义如下:在完全二叉树中,除了最底层节点可能没填满外,其余每层节点数都达到最大值,并且最下面一层的节点都集中在该层最左边的若干位置。若最底层为第 h 层,则该层包含 1~ 2h 个节点。
示例 1:

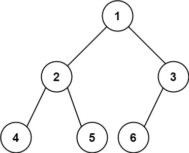
输入:root = [1,2,3,4,5,6] 输出:6
示例 2:
输入:root = [] 输出:0
示例 3:
输入:root = [1] 输出:1
提示:
- 树中节点的数目范围是
[0, 5 * 104] 0 <= Node.val <= 5 * 104- 题目数据保证输入的树是 完全二叉树
进阶:遍历树来统计节点是一种时间复杂度为 O(n) 的简单解决方案。你可以设计一个更快的算法吗?
/**
* Definition for a binary tree node.
* public class TreeNode {
* int val;
* TreeNode left;
* TreeNode right;
* TreeNode() {}
* TreeNode(int val) { this.val = val; }
* TreeNode(int val, TreeNode left, TreeNode right) {
* this.val = val;
* this.left = left;
* this.right = right;
* }
* }
*/
class Solution {
int ans =0;
public int countNodes(TreeNode root) {
//递归求解
if(root==null) return 0;
ans++;
countNodes(root.left);
countNodes(root.right);
return ans;
}
}

本文介绍如何使用递归方法解决LeetCode问题:在给定完全二叉树的根节点下,计算其所有节点的数量。挑战在于设计高效的算法,避免简单遍历。
418

被折叠的 条评论
为什么被折叠?



