94. 二叉树的中序遍历
https://leetcode-cn.com/problems/binary-tree-inorder-traversal/
难度简单1167
给定一个二叉树的根节点 root ,返回它的 中序 遍历。
示例 1:

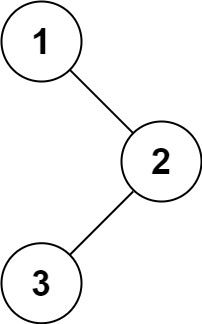
输入:root = [1,null,2,3] 输出:[1,3,2]
示例 2:
输入:root = [] 输出:[]
示例 3:
输入:root = [1] 输出:[1]
示例 4:

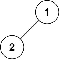
输入:root = [1,2] 输出:[2,1]
示例 5:

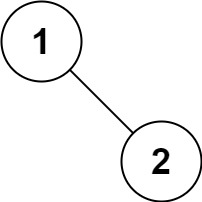
输入:root = [1,null,2] 输出:[1,2]
提示:
- 树中节点数目在范围
[0, 100]内 -100 <= Node.val <= 100
进阶: 递归算法很简单,你可以通过迭代算法完成吗?
/**
* Definition for a binary tree node.
* public class TreeNode {
* int val;
* TreeNode left;
* TreeNode right;
* TreeNode() {}
* TreeNode(int val) { this.val = val; }
* TreeNode(int val, TreeNode left, TreeNode right) {
* this.val = val;
* this.left = left;
* this.right = right;
* }
* }
*/
class Solution {
List<Integer> ans = new ArrayList<Integer>();
public List<Integer> inorderTraversal(TreeNode root) {
preTree(root);
return ans;
}
void preTree(TreeNode node)
{
if(node == null) return;
preTree(node.left);
ans.add(node.val);
preTree(node.right);
}
}

1199

被折叠的 条评论
为什么被折叠?



