**
周期序列傅里叶级数的Matlab实现
**
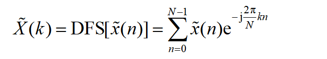
周期序列离散傅里叶级数正变换:

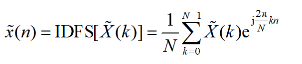
周期序列离散傅里叶级数反变换:

MATLAB实现:
DFS式的矩阵形式:
周期序列的DFS定义,0≤n≤N-1,0≤k≤N-1

因此只需计算WN因子:

代码:
function [Xk] = DFS(xn)
% 计算周期序列的离散傅里叶级数
% 输入:
% xn 待变换的周期序列
N = length(xn);
n = 0:1:N-1;
k = 0:1:N-1; % 设定n和k
WN = exp(-j*2*pi/N); % 设定Wn因子
nk = n'*k;
WNnk = WN.^nk; % 计算W矩阵
Xk= xn*WNnk; % 计算DFS的系数Xk
%disp(xn);disp(Xk); % 显示计算结果(系数)
end
本文介绍如何使用Matlab实现周期序列的离散傅里叶级数(DFS)正反变换。通过定义DFS公式及WN因子,利用矩阵运算快速计算DFS系数。
497

被折叠的 条评论
为什么被折叠?



